本文主要講真空膜蒸餾技術鹽水淡化中的影響因素、機理以及存在的問題,并指出真空膜蒸餾技術在鹽水淡化中的應用前景。
膜蒸餾是膜技術與蒸餾過程相結合的分離過程,膜的一側與熱的待處理溶液直接接觸(稱為熱側) ,另一側直接或間接地與冷的水溶液接觸(稱為冷側) ,熱側溶液中易揮發的組分在膜面處汽化通過膜進入冷側并被冷凝成液相,其他組分則被疏水膜阻擋在熱側,從而實現混合物分離或提純的目的。膜蒸餾技術的優點包括: 能在常溫低壓下操作、設備簡單、操作方便、容易放大、并可利用低品位熱源,如廢熱、低壓預熱等。膜蒸餾理論上對離子、大分子、膠體、細胞和其他非揮發性物質有100%的截留率; 對膜的機械性能要求低,適于各種物質分離; 而且還可以在較高的濃度條件下運行,并可獲得純度很高的透過液和濃縮至過飽和狀態的濃縮液。
1 膜蒸餾分類
根據膜下游側冷凝方式的不同。膜蒸餾可分為4 種形式:直接接觸式膜蒸餾(DCMD) 、氣隙式膜蒸餾(AGMD) 、吹掃氣膜蒸餾(SGMD) 和真空膜蒸餾或減壓膜蒸餾(VMD) 。
1.1 直接接觸式膜蒸餾
直接接觸式膜蒸餾(DCMD) 進料液和餾出液與膜保持接觸并維持在不同溫度。兩液相間的這種溫度差產生了跨膜蒸汽壓差,從而引起揮發性物質的傳遞。可以在任何膜組件形式(平板式、螺旋卷式、管式、毛細管式、中空纖維式) 中進行操作,這是膜蒸餾形式的突出優勢。
1.2 氣隙式膜蒸餾
在氣隙式膜蒸餾(AGMD) 中,冷凝面和膜表面之間設有空氣縫隙以便增加傳導傳熱阻力,從而降低穿過膜的傳導傳熱損失。AGMD 一般比DCMD 更通用: 蒸汽在靠近冷凝表面冷卻而不是直接在透過液中冷卻。AGMD 一大缺陷是空氣縫隙所產生的額外阻力會降低傳質速率,因此其通量低于其他膜蒸餾形式的膜通量。另一個缺陷是由于冷卻面得存在,膜組件的設計和制作變得相當的復雜,其應用實際上是局限于板框式和卷式膜組件。
1.3 吹掃氣膜蒸餾
吹掃氣膜蒸餾(SGMD) 的結構能獲得較低的傳質阻力和相對較小的傳熱損失。SGMD 包括四個連續階段: 熱側進料液易揮發物質的蒸發; 蒸氣穿過膜孔的傳質; 使用惰性低溫吹掃氣體收集透過液; 膜組件出口透過液的冷凝(外部冷凝器) 。這種技術方案的效率通常較低,因為僅有少量的透過液能夠從大量的吹掃氣體中冷凝出來。
1.4 真空式膜蒸餾
真空式膜蒸餾(VMD) 中,在膜冷側下游端采用低壓,在膜組件的外側進行透過液的濃縮。VMD 雖然起步晚于其他三種膜蒸餾技術,但VMD 在料液濃度較高時仍能保持較高滲透通量,且截留率基本達到100%。因此,VMD 過程可望應用于高濃度鹽水的處理中應用的更為廣泛。
2 真空膜蒸餾過程的機理
VMD 過程同時伴有質量傳遞和熱量傳遞,其具體過程分三步完成。(1) 水以及熱量從料液主體通過邊界層傳遞到膜表面;(2) 水在膜表面汽化并吸熱; (3) 水蒸氣攜帶蒸汽潛熱,通過膜孔從料液側進入真空側,進而被真空象抽出膜組件; 與此同時,有一部分熱量以熱傳導的形式從料液側傳遞到真空側。
2.1 質量傳遞
VMD 中透過膜通量NV為:
NV = Km·△P
式中: Km——跨膜傳質系數
ΔP——跨膜壓差
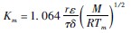
在VMD 中,Km一般用Knudsen 擴散模型來描述。
![]()
式中: ε——膜孔隙率
τ——膜孔彎曲因子
δ——膜的厚度,mm
Tm——膜內的平均溫度,K跨膜壓差ΔP 為:
![]()
對于鹽溶液可以簡化為:
![]()
2.2 熱量傳遞
VMD 傳熱與傳質是同時進行且相互影響的兩個過程。蒸汽分子攜帶熱量透過膜是跨膜傳熱的關鍵步驟。在真空膜蒸餾中,由于透過側為真空,所以忽略熱傳導的影響,則有:
過程總傳熱量Q = 通過熱料液邊界層熱量Qf= 跨膜傳熱總量Qm
Qf = hf(Tf-Tfm)
式中: Qf——料液主體向膜表面熱量傳遞速率,W/m2
hf——料液的熱傳導系數,W/m2·K
Tf——料液主體的溫度,K
Tfm——料液側膜表面的溫度,K
3 真空膜蒸餾過程的影響因素
3.1 溫度極化和濃度極化
真空膜蒸餾過程是一個熱量傳遞和質量傳遞的過程,影響膜蒸餾過程熱量傳遞和質量傳遞的兩個重要因素足溫差極化和濃差極化。溫度極化主要是由溫度邊界層引起,從而導致蒸汽壓下降,進而影響膜的滲透通量。溫度極化系數(TPC) 反映了傳質過程對總溫差推動力的有效利用程度,TPC = 0.4 ~ 0.7。發生濃度極化現象時,膜表面的濃度要高于熱側料液的主體濃度,也就是說熱側料液主體濃度越高,膜表面濃度也就越高,水蒸汽分壓也就越低,傳質推動力也就越低。濃度極化系數(CPC) 越小,說明濃度極化對膜蒸餾過程的影響程度越小,CPC≥1,當CPC = 1 時,濃度極化不對膜蒸餾產生影響。具體參見http://www.dongaorq.cn更多相關技術文檔。
3.2 操作條件的影響
溫度是影響滲透通量的最主要因素,滲透通量會隨著進口溫度的升高而增大。但對真空膜蒸餾過程并不是進口溫度越高越好,應從膜材料、能量利用、滲透通量等因素綜合考慮來控制料液溫度,料液溫度一般選擇在50~70℃為宜。料液濃度對非揮發性溶質水溶液和揮發性水溶液有不同的影響,隨著料液濃度的增加,非揮發性溶質水溶液的滲透通量降低而揮發性溶質的水溶液的滲透通量增加,且濃鹽水溶液的真空膜蒸餾過程比稀溶液復雜,對滲透通量影響更大。在層流狀態下,流速的增大對滲透通量的影響效果隨著流速的增加而減弱。在稀的鹽溶液中,滲透通量隨著冷側真空度的增加而增大,并呈現較好的限行關系,而在較高濃度下,真空度和滲透通量之間偏離直線關系。
4 真空膜蒸餾的發展趨勢及存在問題
真空膜蒸餾過程由于操作溫度相對其它膜蒸餾過程可以更低,滲透通量大,可以很方便地利用太陽能、地熱及廢熱等廉價熱源,因此將VMD 過程和這些廉價能源的結合將會為真空膜蒸餾在濃鹽溶液的處理上帶來更大的優勢。但從目前真空膜蒸餾用于鹽水淡化產業的應用看,使膜蒸餾及其集成技術大規模應用于鹽水淡化產業,仍有很多問題有待解決。
(1) 研制分離性能好價格低廉耐腐蝕的膜材料
目前可利用膜材料成本很高,易被污染,因此要在我國實現膜蒸餾的工業化應用迫切需要研制出分離性能好價格低廉耐腐蝕的膜材料。
(2) 完善膜蒸餾機理模型
目前模擬VMD 過程濃縮濃鹽溶液的理論模型較少,但在其它操作方式的膜蒸餾過程濃縮濃鹽溶液已有報道,并得到了較好的論證,因此通用的VMD 模型建立尚需完善。
(3) 實現膜蒸餾的工業化
膜蒸餾的熱效率大小是決定膜蒸餾是否有競爭力的一個重要因素,目前膜蒸餾的熱效率較低(30%左右) ,這是阻礙該技術大規模工業應用的關鍵問題之一。


