為配合國內稠油、超稠油的開采,提高原油采出率,部分油田開始使用蒸汽輔助重力泄油技術(SAGD),由此產 生的稠油污水乳狀液成為困擾油田回注水質達標的一項難題。稠油污水乳狀液成分復雜、油水密度差小、黏度大、 乳化狀態嚴重,導致其處理流程長,投資大、運行成本高[1]。目前用于稠油污水乳狀液的破乳劑主要有環氧氯丙烷-二甲胺系列高分子陽離子聚合物、二甲基二烯丙基氯化銨系列高分子陽離子聚合物、PAMAM及復配劑等[2]。使用過程中破乳劑易在廢水中殘留,這些殘留物存在毒性,不僅對后續工藝特別是生化處理產生不利影響,由此引發 的環境問題也令人擔憂。
針對這種現狀并結合SAGD稠油污水乳狀液自身的一些特點,開發并合成了一種高分子絡合物型綠色破乳劑,通過絡 合反應破壞稠油污水乳狀液的表面結構和性質,最終實現油水分離。該破乳劑能夠高效破除油水穩定狀態,使乳狀 液脫穩并絮凝,最終使水質澄清,同時該破乳劑采用天然高分子制成,無毒害、易生化降解,不會對環境造成威脅 。
1 破乳劑的合成及表征
殼聚糖是一種對人體無害的天然高分子絮凝劑,一般用于食品、醫藥等領域。以殼聚糖為主要原料,分兩步合成破乳劑。首先在冰醋酸的催化作用下將水楊醛結合到殼聚糖的高分子鏈上,生成席夫堿CCS;之后將合成的席夫堿與 金屬離子Fe3+絡合,得到最終破乳劑產品CCS-Fe3+。
1.1 殼聚糖水楊醛席夫堿CCS的合成
稱取3.224 g殼聚糖(0.02 mol,脫乙酰度>90%)置于四口燒瓶,依次加入100 mL無水乙醇、10 mL冰醋酸,連接反應裝置(見圖1),開啟攪拌器(100~150 r/min),加入0.42 mL(0.004 mol)水楊醛,通直流冷卻水,85 ℃恒溫水浴加熱,見明顯回流,反應持續8 h。反應結束后抽濾,并用無水乙醇洗滌直至濾液無色,將得到的黃色晶 體烘干,稱量,最終得到3.634 g殼聚糖水楊醛席夫堿(CCS),產品收率97.84%,水楊醛接枝率為98.46%,此時已 接枝的殼聚糖單體占初始殼聚糖單體總數的19.7%,接近理論比例1∶5。

圖1 反應裝置
1.2 殼聚糖水楊醛席夫堿金屬配合物 CCS-Fe3+的合成
稱取2.00 g合成的CCS置于四口燒瓶,反應裝置與1.1相同,加入100 mL FeCl3/乙醇溶液(0.01 mol/L),開啟攪 拌器,控制攪拌速度為100~150 r/min,同時通直流冷卻水,85 ℃恒溫水浴加熱,可見明顯回流。裝置中的反應物 逐漸由黃色變為紅褐色,持續反應7 h,抽濾并用無水乙醇洗滌紅褐色固體,直至濾液無色。烘干后稱量,得到 1.883 5 g CCS-Fe3+產品(0.5 mmol/g)。
1.3 破乳劑的結構表征
1.3.1 殼聚糖及其席夫堿的IR表征
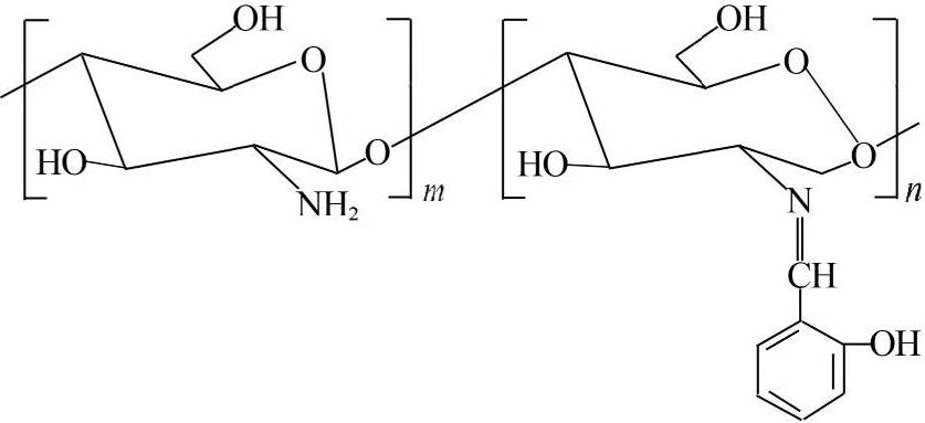
對殼聚糖(CS)和殼聚糖希夫堿(CCS)進行傅立葉紅外光譜表征。CCS的紅外譜圖中1 633.2 cm-1處出現了亞胺基(C=N)的伸縮振動吸收峰,說明殼聚糖與水楊醛已經反應生成席夫堿。同時在1 278.4 cm-1處出現酚(C—O)的特征吸收峰,以及761 cm-1處出現苯環間位取代特征吸收峰,也說明水楊醛已經接枝到殼聚糖高分子鏈上。推斷CCS的結構如圖2所示,其中m ∶ n約為4 ∶1。

圖2 CCS結構
1.3.2 殼聚糖席夫堿鐵配合物的IR表征
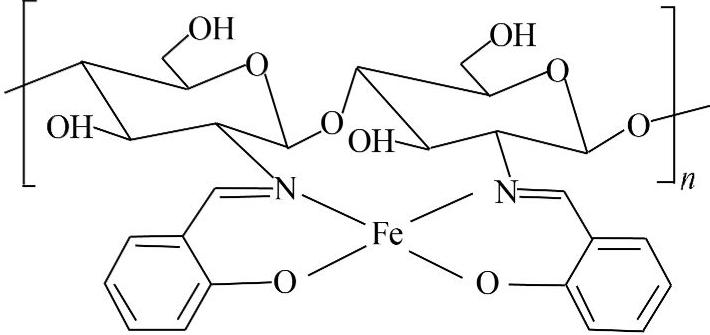
對破乳劑殼聚糖希夫堿鐵配合物(CCS-Fe3+)進行傅立葉紅外光譜表征。與殼聚糖希夫堿CCS的紅外光譜比較后發 現,其鐵離子配合物的紅外譜圖中亞胺基(C=N)的伸縮振動吸收峰由1 633.2 cm-1移至1 631.3 cm-1,胺基(N— H)和羥基(O—H)的伸縮振動吸收峰由3 420.0 cm-1移至3 418.5 cm-1,都向低波數方向移動,這表明金屬離子 與殼聚糖希夫堿中的N、O原子間發生一定配位關系,推斷其可能的結構如圖3所示。

圖3 CCS-Fe3+可能的結構
2 SAGD乳狀液的性狀分析
2.1 水質受污染程度分析
實驗所用水樣來自新疆油田的SAGD稠油污水乳狀液,參照《水和廢水監測分析方法》測定SS、濁度、pH、電導率、COD、油含量(總油),分析水質受污染程度。
SAGD稠油污水乳狀液表觀呈褐色半透明狀,色度較大;SS為208 mg/L、濁度為503 NTU,體系中的懸浮粒子相對較 高;pH為8.76,呈弱堿性;油和COD分別為109.3、1 454.8 mg/L,普遍偏高;電導率為5.28 μS/cm,無機鹽離子 相對較低。測定結果表明SAGD稠油污水乳狀液受污染程度嚴重。
2.2 乳狀液的穩定性分析
乳狀液穩定性分析主要測定乳化油滴的粒度及Zeta電位。粒度特征從微觀上確定乳狀液分散相的組成特點,影響乳 狀液的穩定性[3];Zeta電位的數值直接反映分散體系的表面特性,Zeta電位絕對值越大,分散體系的穩定程度越 高[4]。
采用納米激光粒度及Zeta電位分析儀測定SAGD乳化油滴粒徑,統計平均值為703.9 nm,Zeta電位為-27.2 mV。具有 完全一樣大小分布的乳狀液比具有較寬粒子分布但平均粒子大小與前述相同的乳狀液要穩定得多[5]。測定結果顯 示SAGD乳狀液粒度分布在較為集中的范圍內,同時Zeta電位數值較高,因此該乳狀液具有相當強的穩定性,在實際 破乳過程中破乳難度較大。
2.3 穩定性因素分析
稠油污水乳狀液多以O/W 形式存在,由于稠油污水乳狀液成分復雜,其乳化性質受多方面因素影響。稠油污水含有 瀝青質、膠質、石蠟、石油酸皂及微量的黏土顆粒,它們作為天然乳化劑吸附在油水界面,形成具有一定強度的黏 彈性膜,給液滴聚并形成動力學障礙[6]。同時環烷酸鹽特別是環烷酸鈉是高親水化合物,容易導致形成水包油型 乳化液[7]。此外乳液的穩定性、破乳的有效性與芳烴含量也有很強的相關性[8]。
瀝青質對原油乳狀液的穩定作用是最重要的。瀝青質除充當天然乳化劑外,還可以把水潤濕性微粒轉變成油潤濕性 微粒[9]。如果改變瀝青質在乳狀液表面的特定結構,也就破壞了稠油污水乳狀液的穩定性,而瀝青質中通常含有 卟啉等易與金屬離子穩定絡合的成分,絡合型破乳劑就是利用這種特性使乳狀液脫穩。
3 應用效果評價
3.1 破乳劑對SAGD稠油污水乳狀液的破乳效果
1)投加量對破乳效果的影響。為了評價破乳劑CCS-Fe3+的破乳效果,分別取50 mL SAGD乳狀液于8只試瓶,置于 50 ℃恒溫水浴槽,30 min后按不同投加量梯度投加破乳劑,各震蕩100次,靜置并觀察,1 h后測定水相油含量。 實驗中CCS-Fe3+提前用體積分數為1%的醋酸配成溶液,配制質量濃度為 1 g/L。根據各投加量下破乳劑分散在污水中所得質量濃度及破乳后水相含油數據,考察破乳劑CCS-Fe3+投加質量 濃度對破乳效果的影響,結果如圖4所示。

圖4 破乳劑投加質量濃度與破乳后水相含油的關系
實驗發現當破乳劑投加量為14 mg/L時開始出現絮體,隨投加量的增大,絮體逐漸增多。當破乳劑投加量達到22 mg/L時水相中的油已降至32.327 mg/L,水質明顯變得澄清,繼續加大投加量,破乳效果趨近平緩,破乳劑CCS- Fe3+ 在50 ℃下的最適投加質量濃度為22 mg/L。
2)溫度對破乳效果的影響。選取破乳劑CCS-Fe3+ 投加質量濃度為22 mg/L,在25~70 ℃之間設置溫度梯度,投 加破乳劑后各震蕩100次并在設定溫度下靜置1 h,評價溫度對破乳劑破乳效果的影響,結果發現25~70 ℃時溫度對 破乳劑CCS-Fe3+ 的破乳效果影響不大,水相中含油在32.5 mg/L左右。
3.2 破乳劑的微生物降解性能
取耗氧活性污泥在含有破乳劑的底物溶液中培養,依據培養過程中的COD變化,評價破乳劑CCS-Fe3+ 的微生物降解 性能。由于破乳劑對SAGD乳狀液的最適投加質量濃度為22 mg/L,現假設水相中破乳劑最高殘留量為20 mg/L,設計 實驗評價20 mg/L的CCS-Fe3+ 在耗氧污泥作用下的降解情況。
取MLSS為15 g/L的耗氧污泥180 mL于1 L量筒中,加入去離子水至900 mL,轉移到大燒杯中開始曝氣,加入適量 K2HPO4,此時MLSS為3 000 mg/L。曝氣一段時間后取水樣20 mL,過濾,測定空白時COD為32.7 mg/L。然后向系統 中加入已配好的1 g/L CCS-Fe3+ 醋酸溶液18 mL(投加質量濃度20 mg/L),繼續曝氣,每隔一定時間取水樣,測 其COD,直至COD降至30 mg/L以下。已測得20 mg/L破乳劑的COD為195.5 mg/L,初始COD為空白COD與20 mg/L破乳劑 的COD之和。1 h內體系中的COD隨時間變化情況見圖5。

圖5 1 h內體系中COD隨時間變化曲線
如圖5所示,投加破乳劑的1 min內活性污泥體系發生絮凝,COD急劇下降,之后30 min內COD逐漸釋放,達到最高值 ,然后逐步下降。
24 h內體系中 的COD隨時間變化情況見圖6。

圖6 24 h 內體系中COD 變化曲線
如圖6所示,1 h后體系中的COD持續下降,24 h后COD降到25.2 mg/L,低于空白值(32.7 mg/L),體系中的COD已 基本降解完畢。
綜上可以斷定,合成的破乳劑CCS-Fe3+不僅能高效破除稠油污水的乳化狀態,而且生化降解性能良好,是一種綠色 破乳劑。具體參見http://www.dongaorq.cn更多相關技術文檔。
4 結論
(1)SAGD稠油污水乳狀液成分復雜、乳化嚴重,穩定性極強,研究其乳化機理發現,膠質瀝青質等為乳化液滴保 持高度穩定的關鍵因素,要使乳狀液脫穩,必須破壞膠質瀝青質在乳化液滴表面形成的穩定結構。
(2)評價了破乳劑CCS-Fe3+對SAGD稠油污水乳狀液的破乳效果,得出CCS-Fe3+能有效破除SAGD稠油污水的乳化狀 態,在50 ℃下最適投加質量濃度為22 mg/L,同時溫度對破乳效果影響不大。
(3)以CCS-Fe3+為底物,用活性污泥法進行微生物降解性能評價,發現底物在室溫曝氣條件下24 h基本降解完畢 ,說明CCS-Fe3+易生化降解,是一種環境友好型綠色破乳劑。


