人類社會的快速發展帶來了一系列的環境問題, 水環境污染則是目前最為亟待解決的問題。傳統污水處理方法能夠有效的去除水體中的碳類污染物, 但對氮磷的去除效果并不理想; 且物理化學方法處理污水成本較高, 易造成二次污染[1]。
微藻生長過程中對氮磷等營養元素具有較高的需求, 在污水的氮磷等營養元素的處理方面具有一定的優勢。隨著各國學者研究的不斷深入, 利用微藻處理污水的可行性也得到了證實。目前的研究主要集中在綠藻門的小球藻(Chlorella)和柵藻(Scenedesmus)以及藍細菌上, 其中研究最為廣泛的則是小球藻。一系列的研究表明, 小球藻在不同的初始濃度下都能有效的去除氮磷, 去除率為8%—100%[2]。Wang等[3]的研究還表明小球藻對氨氮具有一定的耐受能力。此外, 柵藻在污水中氮磷處理方面的能力也受到了廣泛的關注, González等[4]的研究表明, 柵藻對污水中氮磷的處理能力與小球藻相似, 且其對氨氮的去除率要高于小球藻。其他屬的綠藻也能有效地去除污水中的氮磷, 在氮磷比為1.0時Chlamydomonas reinhardtii能去除污水中42%—55%的氨氮, 使用光生物反應器培養時其去除率更高[5]。雖然小球藻、柵藻等微藻對污水中氮磷處理能力較高, 但由于其藻體較小, 收集相對困難, 且在室外條件下易受捕食性的浮游動物的污染。
絲狀藻藻絲體較大, 細胞壁較厚, 收集相對容易, 抗原生動物等污染性較強, 能在一定程度上提高生物量及污水氮磷的去除效率。研究表明水綿 (Spirogyra sp.)、水網藻(Hydrodictyon reticulatum)、剛毛藻(Cladophora oligoclona)等大型絲狀綠藻在人工合成污水中均能正常生長, 且對水體中氮磷的去除能力較強[6]。
早在1976年就有學者對毛枝藻(Stigeocloniumsp.)的鋅耐受能力進行了研究, 他們野外采集34株毛枝藻, 在實驗室條件下探索鋅對毛枝藻的生長抑制臨界值和致死臨界值, 結果表明絕大部分毛枝藻對鋅具有較強的耐受能力, 其最大生長抑制臨界值達到8.66 mg/L[7]。在Pawlik-Skowrońska[8]的研究中, 毛枝藻在含有鉛、鉻、鋅三種金屬離子的人工污水中均有絡合物產生, 表明毛枝藻對鉛、鉻、鋅均具有一定的去除能力。此外, Liu等[9]以毛枝藻和克里藻(Klebsormidium sp.)為研究對象, 就其對污水中氮磷的去除能力進行了研究。結果表明, 兩株毛 枝藻S-1和S-2在氮起始濃度為47.2 mg/L, 磷起始濃度為11.6 mg/L的人工污水中氮的去除率分別為79%和>99%, 磷的去除速率均相對較低, 分別為36%和54%, 但在自然污水中其磷去除率則分別為88%和93%, 與以小球藻和柵藻為主要群落組成部分的原生污水藻群落的氮磷去除能力相似, 表明其在污水氮磷處理方面具有較大的前景。
微藻在不同氮磷比條件下其生長及對污水中氮磷去除率不盡相同[10—12], 且不同微藻對氨氮的去除能力不同[ 3 — 5 , 13 , 14 ] , 故本研究以兩株毛枝藻HB1617和SHY-370為研究對象, 探索其在不同的氮磷比條件下, 對人工污水中氮磷的去除能力, 以及在不同的氨氮初始濃度下對氨氮的耐受能力。
1 材料與方法
1.1 毛枝藻SHY-370與HB1617藻種來源及分離純化
本實驗所用藻株HB1617采集自湖北宜昌污水口, SHY-370采集自湖北咸寧通ft溪流中。野外采集的藻株經無菌水沖洗后在解剖鏡下挑取單根藻絲, 用刀片切取頂端藻絲, 接種于BBM固體培養基中, 20d后部分接種于裝有100 mL無菌BBM液體培養基的250 mL柱狀生物反應器中進行擴大培養, 另一部分用解剖針接種于固體培養基中進行保種。
10d后將柱狀生物反應器中的藻液轉接至直徑5 cm的1100 mL柱狀生物反應器中進行進一步的擴大培養。所有操作均在無菌條件下進行。
1.1 實驗設置
人工污水配方參考況琪軍等[6]和Xin等[10]的配方以BBM培養基為基礎(NO{ -N 41 mg/L), 配制無磷培養基, 再通過添加KH2PO4使其氮磷比分別為2、5、10、20和40。
前期預實驗發現SHY-370與HB1617的最大氨氮耐受濃度為10 mg/L, 故將氨氮濃度設為1、3、5和10 mg/L四個濃度梯度, 在此范圍內探究其對水體中氮磷的吸收能力, 并設置正常BBM培養基(N/P為0.82)培養組為對照。氨氮耐受實驗所使用人工污水同樣以BBM培養基為基礎(P O3{ -P 50 mg/L),配置成無氮培養基, 通過加入NH4Cl使其NH+-N含量分別為1、3、5和10 mg/L。
藻種試驗前在直徑5 cm的柱狀光反應器中擴大培養12d, GF/C膜過濾, 無菌水沖洗5遍洗去原培養基中的營養物質(由于毛枝藻在干燥條件下易死亡, 故抽濾時每次剩余少量液體), 在無菌水中饑餓培養24h后以0.2 g/L的干重濃度接種至人工污水中每組設置3個重復。
培養光照由日光燈組提供, 光照強度為50— 60 μmol photons/(m2·s), 光暗比為14h﹕10h; 培養溫度為25℃; 反應器中只通入空氣, 實驗過程中各條件保持不變。
1.3 Th長測定
實驗期間, 從第0天起, 每2天取樣1次測定藻的干重, 繪制生長曲線。干重測定方法為: 將濾膜在105℃烘干8h, 放在干燥器中冷卻至室溫稱重, 后取5 mL藻液, 用AP-OIP真空泵及MFS微型過濾系統過濾, 再次105℃烘干8h稱重。
生物量濃度公式為:

在公式(1)中, DW0為濾膜干重(g); DW1為抽濾過后藻加濾膜的干重(g); V為抽濾的藻液的體積,L。在公式(2)中DWt0為第0天抽濾的藻的干重(g);
DWt為第t天抽濾的藻的干重(g); V為抽濾的藻液體積(L); t為培養時間(d)。在公式(3)中Bt為培養t時間后的生物量濃度(g/L); B0為初始生物量濃度(g/L);
t為培養時間(d)。
1.4 人工污水指標測定
NO{ -N (硝態氮)采用紫外分光光度法(HJ/T346-2007)測定[15], TP(總磷)的測定采用鉬酸銨分光光度法(GB11893-89)[16],NH+-N(氨氮)的測定采用水楊酸分光光度法(HJ536-2009)[17]。
1.5 數據分析
使用origin 9.1作圖, SPSS 18.0進行單因素方差分析。
1 結果與討論
2.1 藻類Th長狀況
如圖 1所示, HB1617與SHY-370植物體均為一列細胞組成的分枝絲狀體, 主軸與側枝無明顯分化,寬度相等。HB1617植物體鮮綠色, 分枝豐富, 通氣狀態下藻絲相對較短, 常纏繞成團。SHY-370植物體淡綠色, 分枝較HB1617少, 藻絲體較長。毛枝藻的形態學特性使得其在收集及抗污染方面優于單細胞微藻。

接種時為減小平行樣品間誤差, 使用玻璃勻漿器將長藻絲片段化, 因此接種初期藻絲較短。隨著培養時間延長, 藻絲不斷延長并產生新的分枝。大多數藻體在污水處理后期生長代謝仍然旺盛,HB1617藻體色澤鮮綠、SHY-370藻體淡綠、藻體自然伸展, 新生藻絲清晰可見, 培養液內幾乎無污染; 當氨氮含量為10 mg/L時, HB1617生長受到抑制, 培養第4天開始細胞內色素體減少、藻體色澤逐漸變淺, 培養末期藻體幾乎全部死亡, 培養液中有白色絮狀物生成, 可能因培養系統中細菌和其他微型生物大量增殖所致。
2.1 在不同初始氨氮濃度條件下兩株毛枝藻的Th長及其脫氮除磷能力

在不同初始氨氮濃度條件下兩株毛枝藻的Th長狀況 如表 1所示, 在不同初始氨氮濃度條件下, SHY-370在初始氨氮濃度為1、3和5 mg/L時, 比生長速率無顯著性差異(P>0.05), 且與正常培養基培養(氨氮初始濃度為0)條件下無明顯差異, 10 mg/L時其比生長速率略小于以上3個初始氨氮濃度條件下, 表明10 mg/L的初始氨氮濃度對SHY-370的生長有一定的抑制作用; HB1617與SHY-370生長狀況相似, 在1、3和5 mg/L三個初始濃度條件下比生長速率無顯著性差異(P>0.05), 且與正常培養基培養條件下無明顯差異, 初始氨氮濃度為10 mg/L時其比生長速率僅為0.01, 表明在此條件下HB1617的生長受到抑制。
初始氨氮濃度為1、3和5 mg/L時HB1617的比生長速率顯著大于SHY-370, 表明在此條件下HB1617比SHY-370具有更好的生長狀態; 而初始氨氮濃度為10 mg/L時, HB1617的比生長速率顯著小于SHY-370, 表明在此條件下氨氮對HB1617的抑制作用要大于SHY-370 (圖 2)。
高濃度氨氮對藻的生長產生抑制的原因可能是, 以氨氮為氮源時, 水體中的氨氮釋放H+, 使水體pH下降, 進而抑制藻的生長。Xin等[18]的研究結果也表明在氨氮、硝氮、尿素3種不同氮源培養條件下, 以氨氮為氮源的柵藻細胞密度要小于另外2種氮源條件下的細胞密度; 此外, 他們的pH梯度實驗結果表明, pH<6時, 其細胞密度明顯小于pH>6時,且其細胞密度隨pH的降低而減小。
在不同初始氨氮濃度條件下人工污水中總磷含量變化 如圖 3所示, 氨氮濃度在10 mg/L以下時HB1617對水體中總磷的去除能力明顯高于SHY-370。氨氮濃度為10 mg/L時, 總磷含量基本不變。造成這種現象的原因可能有2個; 一是氨氮濃度為 10 mg/L時, 高濃度的氨氮抑制了藻的生長, 使其生物量明顯偏低, 且HB1617在培養第四天以后逐漸死亡; 二是高濃度的氨氮抑制了藻對水體中總磷的吸收利用。Xin等[18]的研究結果也表明在氨氮、硝氮、尿素3種不同氮源條件下培養柵藻, 以硝氮和尿素為氮源時水體中總磷的去除率均達到99%以上,而以氨氮為氮源時水體中總磷的去除率僅為76.4%。

氨氮濃度為1—5 mg/L時, 總磷的去除率隨氨氮含量的升高而增大(圖 4), 在SHY-370與HB1617中總磷的最大去除率分別為6.38% 和20.48%,HB1617的總磷去除能力明顯高于SHY-370, 但其去除率也較低, 可能的原因是氮磷比(1﹕10)影響了磷的吸收。 Redfield定律認為, 組成藻類細胞的氮磷原子比率為N﹕P=16﹕1, 氮磷比大于16﹕1時,磷被認為是限制性因素; 氮磷比小于 10﹕1時, 氮則被考慮為限制性因素[19], 本實驗中N﹕P小于10﹕1, 所以氮的含量低可能影響了磷的吸收。
在不同初始氨氮濃度條件下人工污水中氨氮含量變化 如圖 5所示, 氨氮濃度為1—5 mg/L時, 水體中氨氮均在48h內減低至0.5 mg/L以下, 去除率均達到95%以上, HB1617與SHY-370兩株藻之間的氨氮去除效果并無明顯的差異(P>0.05)。
氨氮濃度為10 mg/L時, 培養前2天氨氮含量迅速下降, HB1617對水體中氨氮去除速率可達3.98 mg/ (L·d), SHY-370略低, 為3.42 mg/(L·d); 培養第4天,HB1617的培養水體中的氨氮含量降至0.5 mg/L以下, 去除率達到99%以上, 而SHY-370的培養水體中氨氮含量降至0.61 mg/L, 去除率為94%。梁晶晶等[20]利用固定化微綠球藻處理人工污水中氮磷, 氨氮含量為17 mg/L時, 不同的藻球投放質量條件下細胞密度均有一定的增大, 氨氮最大去除率為75.08%,在充氣培養條件下氨氮去除率則達到85.93%。與梁晶晶等研究的微綠球藻相比本實驗2株毛枝藻對氨氮的耐受能力較弱, 最大可耐受氨氮濃度僅為 10 mg/L, 但在氨氮濃度低于10 mg/L時其去除率能達到94%以上。因此, SHY-370和HB1617兩株毛枝藻在氨氮濃度低于10 mg/L的污水的處理方面具有一定的應用前景。
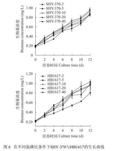
2.1 在不同氮磷比培養條件下毛枝藻的Th長及其脫氮除磷能力
在不同氮磷比條件下兩株毛枝藻的Th長狀況如表 2所示, SHY-370在2、5、10、20和40五種氮磷比條件下, 比生長速率無明顯差異(P>0.05);HB1617在2、5、10和20四種氮磷比條件下比生長速率無明顯差異(P>0.05), 而氮磷比為40時其比生長速率明顯小于氮磷比為2—20 時。氮磷比為2—20時, SHY-370的比生長速率略小于HB1617。在不同氮磷比條件下2株毛枝藻的生物量及生物量生產率如圖 6、圖 7所示, 與比生長速率相同,在5種氮磷比條件下SHY-370的生物量與生物量生產速率均無明顯差異(P>0.05), HB1617在氮磷比為2—20時生物量和生物量生產速率均無明顯差異(P>0.05), 而氮磷比為40時其生物量和生物量生產速率均小于氮磷比為2—20時, 表明HB1617生長的最適氮磷比為2—20。
Liu等[21]在1—20的氮磷比內, 設置8個不同的氮磷比, 研究其對3種絲狀藻Cladophora sp.、Kleb- sormidium sp. 及Pseudanabaena sp.氮磷去除能力的影響。結果表明, 在1—20內不同氮磷比對3種藻的生物量生產速率均無明顯影響, 與本研究結果相似。Cladophora sp.生物量生產速率最大, 為56.7 mg/ (L·d), 小于本研究中的最大生物量生產速率。氮磷比為40時, HB1617的生物量及生物量生產率降低的原因可能是氮磷比過大,此時磷含量過低(1 mg/L),成為生長的限制性因素, 限制了HB1617的生長。在趙先富等[22]的研究中, 小球藻及銅綠微囊藻在磷濃度低于1 μmol/L時其生無量明顯低于5和50 μmol/L組。氮磷比為2—20時, HB1617的生物量生產率大于SHY-370, 表明在此條件下HB1617更適于生長。

SHY-370與HB1617生長的最適氮磷比不同, 表明藻類生長的最適氮磷比存在種間差異。在豐茂武等[23]的研究中, 銅綠微囊藻在N/P比為40時, 藻細胞密度最大。
在不同氮磷比條件下人工污水中NO{ -N的含量變化 如圖 8所示, 5種不同氮磷比條件下人工污水中NO{ -N含量變化趨勢基本相同, 氮磷比為5—40時, SHY-370的培養液中NO{ -N含量均在第12天降至1 mg/L以下, 去除率達到97%以上, 而氮磷比為2時, 培養液中NO{ -N含量為2.28 mg/L, 去除率為94.45%; 氮磷比為2—20時, HB1617培養液中NO{ -N含量均在培養第10天降至1 mg/L以下, 去除率達到97%以上, 而氮磷比為40時, 在培養第12天培養液中NO{ -N含量僅降為6.92 mg/L, 去除率為83.23%。

在5種不同氮磷比條件下, HB1617及SHY-370的去除速率均存在明顯的組間差異(P<0.05), 氮磷比為2—10時SHY-370的去除速率隨氮磷比的增大而增大, 氮磷比為10—40時去除速率無明顯差異,最大去除速率為4.03 mg/(L·d); 氮磷比為2—10時HB1617培養液中的NO{ -N去除速率最大, 為4.89 mg/(L·d), 氮磷比為10—40時培養液中NO{ -N的去除速率隨氮磷比的增大而減小(圖 9)。

不同的藻類對氮、磷的吸收率不同, 氮磷比對其影響也不相同, 因此Redfield定律并不適用于所有藻類。在本實驗中SHY-370吸收NO{ -N的最佳氮磷比為10—40, 而HB1617為2—10。Xin等[10]的研究中Scenedesmus sp.在氮磷比為5—8時其氮磷吸收率最高。 Liu等[21]的氮磷比實驗中, 在1—20內 Cladophora sp.、Klebsormidium sp. 及Pseudana- baena sp. 三種藻對人工污水中氮磷去除的最佳氮磷比則為1—15, 但3種藻的氮磷去除速率存在較大的差別, 其中Pseudanabaena sp.的NO{ -N去除速率最大為10.6 mg/(L·d), 為本實驗中NO{ -N最大去除速率的2倍。但Pseudanabaena sp.在NO{ -N含量較高(30 mg/L)的條件下去除率較低, 僅為85.4%。因此, 本實驗研究的毛枝藻在NO{ -N含量較高的污水處理中具有一定的優勢。

在不同氮磷比條件下人工污水中TP含量變化如圖 10所示, 在5種不同氮磷比條件下TP含量變化趨勢基本相同。氮磷比為5—40時, 培養12d后TP含量均降至0.3 mg/L以下, 去除率達到90%以上;而氮磷比為2時, SHY-370培養液中TP的去除率僅為63.96%, HB1617則略低于SHY-370, 去除率為58.5%。不同藻類對磷的吸收都有其最大值, 當超過其所能吸收的最大值時藻類對磷的吸收率就會下降, Aslan等[24]的研究表明Chlorella vulgaris對水體中磷的最佳吸收范圍為P O{ -P<7.7 mg/L。Liu等[21]的研究中Cladophora sp.、 Klebsormidium sp.以及Pseudanabaena sp. 三種藻在TP濃度為7 mg/L時去除率均低于80%, 其TP最佳吸收值小于7 mg/L。本實驗所研究毛枝藻對水體中TP的最大吸收值為10 mg/L左右, 在水體中TP的去除方面具有一定的優勢。具體聯系污水寶或參見http://www.dongaorq.cn更多相關技術文檔。
2 結論
毛枝藻SHY-370可耐受的最高氨氮濃度為10 mg/L優于HB1617(5 mg/L), 但HB1617的生長及對水體中氮磷的去除能力優于SHY-370; 氮磷比對SHY-370的生長影響不大, 但在氮磷比大于20時HB1617的生長受到抑制; SHY-370對NO{ -N去除的最佳氮磷比為10—40, HB1617為2—10; SHY-370及HB1617的最大TP吸收值均為10 mg/L左右。本實驗研究的2株毛枝藻SHY-370及HB1617在NO{ -N及TP含量較高的污水(NO{ -N 40 mg/L, P 8 mg/L)處理方面具有一定的優勢, 能有效地去除其中的氮磷(REN>99%,REP>90%), 且其對氨氮也具有一定的耐受和去除能力, 因此, 毛枝藻城市生活污水二級出水(TN≤ 15 mg/L、TP≤0.5 mg/L、NH+-N≤5 mg/L)的深度脫氮除磷方面中具有一定的應用前景。(中國科學院水生生物研究所 淡水生態與生物技術國家重點實驗室 中國科學院大學)



