我國農村每年約產生 80 億t生活污水,大部分未經處理便直接排入自然水系中。隨著水體污染的加劇,《城鎮污水處理廠污染物排放標準》對處理后污水的氨氮(NH3-N)、總氮(TN)、總磷(TP)等指標有了更嚴格的要求。
膜-生物反應器(MBR)利用膜的高效截留代替傳統工藝中的二沉池,具有出水水質好、耐沖擊負荷、產泥少、占地面積小等優點,是農村生活污水處理的重要工藝之一。MBR 工藝的核心是膜組件,其中有機膜的應用最廣泛,材質主要為聚氯乙烯(polyvi⁃ nyl chloride,PVC)、聚氯氟乙烯(polyvinylidene fluo⁃ ride,PVDF)。但有機膜具有易損壞、易受化學物質侵蝕、易產生不可逆污染等缺點,影響處理效果,且日常維護管理復雜。農村地區經濟技術相對落后,缺乏專業技術人員,傳統 MBR 建成投產后難以保證科學的維護與管理[8]。相比而言,陶瓷膜具有抗污染性能好、耐酸堿性、機械強度大、結構穩定以及維護簡單等優勢,更適合應用于MBR 處理農村生活污水。
目前研究主要集中在C-MBR 對于校園生活污水、醫院污水、煉油廢水的處理以及膜污染特性,對于C-MBR 在農村生活污水中的應用,尤其是脫氮除磷強化工藝鮮有報道。本研究采用浸沒式平板陶瓷膜-MBR 工藝處理農村生活污水,對 C-MBR 處理農村生活污水的效果、脫氮除磷性能進行了強化研究。其中,通過優化回流比、DO、HRT 進行強化脫氮。由于傳統MBR 單一的工藝對磷的去除效果難以滿足日益嚴格的排放標準,限制了其廣泛應用。目前,為解決MBR 除磷效果差的問題,研究主要集中在化學法,通過投加化學藥劑進行除磷,填料吸附除磷在C-MBR 農村生活污水處理中相對不多。本研究采用粉煤灰多孔填料吸附進行強化除磷,相比化學法,操作簡單,維護量小。從而為C-MBR 工藝在農村生活污水中的應用,以及脫氮除磷強化提供解決思路和有益參考。
1 材料與方法
1.1 工藝與裝置
圖 1 為強化前工藝流程與裝置示意圖。工藝設有調節池、缺氧池、厭氧池、好氧池和出水池等,各池材質均為有機玻璃。調節池容積為 500 L,用于配水并調節水質。好氧池長25 cm,寬25 cm,高64 cm,容積為 40 L,缺氧池∶厭氧池∶好氧池體積比為 1∶1∶2,可根據試驗要求調節水位和有效容積,同時設置陶瓷膜反沖洗裝置。調節池中設置進水管,利用蠕動泵向缺氧池配水,后利用重力流入厭氧池,兩池中設有攪拌器。好氧池內底部安裝曝氣穿孔管,利用曝氣泵曝氣,池中設有回流管,混合液經回流泵回流。膜組件放置在好氧池混合液中,抽吸出水。
1.2 試驗材料
試驗采用的平板陶瓷膜由河南方周瓷業生產。
主要膜材質為Al2O3,膜孔徑有 1000、500、100 nm 和 50 nm 四種。接種污泥來源于上海市長寧區天山路污水處理廠,該廠處理對象為城鎮生活污水,污泥經兩個月的培養馴化,濃度性質達到穩定后用于試驗。試驗用水為人工模擬生活污水,以葡萄糖為碳源,NH4Cl 為主要氮源,魚粉蛋白胨為輔助氮源,KH2PO4為磷源。進水COD 和TN、NH3-N、TP 的質量濃度分別為 360.00~661.00、33.90~57.60、16.80~32.30 mg·L-1和4.78~5.77 mg·L-1。
1.3 分析項目及方法
MLS試驗分析的項目主要有COD、TN、NH3-N、TP、S、pH 和DO 等,檢測方法COD 采用快速消解分光光度法,TN 采用堿性過硫酸鉀紫外分光光度法, NH3-N 采用納氏試劑分光光度法,TP 采用鉬酸鹽分光光度法,MLSS 采用烘干稱量法,pH 采用酸度計(型號:WTW pH-3210),DO 采用便攜式溶解氧儀(型號:
![LJAA5[1S6{_[QC1R1F4Q]CV.png LJAA5[1S6{_[QC1R1F4Q]CV.png](/ueditor/asp/upload/image/20200929/16013750227819593.png)
WTW Oxi-3310)。
2 結果與討論
2.1 污染物去除效果
經過前期預試驗,確定在膜通量20 L·m-2·h-1、膜孔徑50 nm、好氧池MLSS 3000 mg·L-1 運行條件下,膜清洗周期最長且出水水質穩定。為明確傳統C-MBR對氮磷去除的局限性,提供工藝優化方向,先在常規條件下[總HRT 為6 h(其實好氧池HRT 2 h),DO 3.00 mg·L-1,回流比50%]研究C-MBR 去除效果。具體聯系污水寶或參見http://www.dongaorq.cn更多相關技術文檔。
2.1.1 COD 去除效果
C-MBR 對于COD 的去除效果見圖 2。由圖 2 可知,進水COD 平均濃度為554.80 mg·L-1,出水平均濃度為34.90 mg·L-1,平均去除率為93.68%,出水COD 濃度滿足一級A 排放標準(50.00 mg·L-1)。其中,陶瓷膜進水COD 平均濃度為298.63 mg·L-1,出水平均濃度為

34.90 mg·L-1,陶瓷膜對COD 平均截留率可達90.16%。其原因是,膜池內的MLSS 較高,有機物與微生物在池內充分反應;同時由于陶瓷膜對溶液中固體懸浮顆粒、蛋白質、酶等大分子有機物進行攔截,增加了微生物與有機物接觸時間,強化了有機物的生物降解。
2.1.1 TN 去除效果
C-MBR 對于TN 的去除效果見圖 3。由圖 3 可知,進水 TN 平均濃度為 47.68 mg·L-1,出水平均濃度為22.59 mg·L-1,C-MBR 對TN 平均去除率為50.52%,出水TN 濃度不滿足一級A 排放標準(15.00 mg·L-1)。其中,陶瓷膜進水 TN 平均濃度為 27.52 mg·L-1,出水平均濃度為22.59 mg·L-1,陶瓷膜對TN 平均截留率為18.02%。TN 的去除主要靠好氧池的硝化作用與缺氧池的反硝化作用。此外,陶瓷膜會截留未被完全降解的含氮有機大分子。TN 的去除受多個工藝參數影響,后續將進行強化脫氮工藝研究。

2.1.3 NH3-N 去除效果
C-MBR 對NH3-N 的去除效果如圖4 所示。由圖可知,進水NH3-N 平均濃度為24.77 mg·L-1,出水平均濃度為1.13 mg·L-1,平均去除率為95.00%,滿足一級A 排放標準(5.00 mg·L-1)。其中,陶瓷膜對NH3-N平均截留率為6.20%。分析認為:NH3-N 主要以離子形式存在,直徑小于膜孔徑,可能存在NH3-N 附著在懸浮顆粒物上,被陶瓷膜所截留,但總體來說陶瓷膜對NH3-N 的截留作用很小。NH3-N 的去除主要是在有氧條件下,通過硝化作用轉化為硝酸鹽氮和亞硝酸鹽氮。好氧池內DO 充足且硝化菌濃度高,硝化反應徹底,因此NH3-N 有較好的去除效果。
2.1.4 TP 去除效果
圖 5 為TP 的去除效果。由圖 5 可知,進水 TP 平均濃度為 4.99 mg·L-1,出水平均濃度為 4.57 mg·L-1,平均去除率僅為 12.32%,遠未達到一級 A 排放標準

(0.50 mg·L-1)。其中陶瓷膜對 TP 的截留率為 2.8%。分析認為:生物除磷主要利用聚磷菌在好氧狀態下過量攝取磷,通過及時排放剩余污泥進行除磷。由于 C-MBR 中污泥被膜截留在好氧池中,泥齡長,排泥量少,因此 C-MBR 除磷效果差。為提高TP 去除效果,后續將進行強化除磷研究。
2.2 膜組件污染速率
試驗采用恒定膜通量的運行方式。如圖6 所示,因膜面污堵會出現壓力損耗,跨膜壓差隨著過濾的不
斷進行而逐漸增加。陶瓷膜的物理特性使其能承受較高的連續運行跨膜壓差(上限值為±60 kPa),且具有耐腐蝕性強(次氯酸鈉溶液)的特點。

當達到清洗壓差時,利用加藥泵將 1000 mg·L-1的次氯酸鈉溶液,以每片膜500 mL·30 min-1 的速度緩慢注入陶瓷膜片中,經反沖洗裝置進行清洗藥劑排出,膜壓力恢復速率最快,清洗效果最佳。理論上提高膜通量,可減少膜組件的數量,降低投資費用,但過高的膜通量會造成膜清洗頻繁,加速膜的老化,增加膜的更換成本,本試驗中膜通量 20 L·m-2·h-1 時性價比最高。
2.3 強化脫氮研究
為強化C-MBR 脫氮效果,將對回流比、DO、好氧池HRT 等工藝參數進行優化,以使C-MBR 出水水質穩定,出水 TN 濃度達到一級A 標準,且盡量減少能耗。
2.3.1 回流比對脫氮效果的影響
回流作為活性污泥工藝中的重要參數之一,對脫氮起重要的作用,與膜過濾技術結合后,回流也有了新的特點,能使膜池內混合液更充分混合接觸。
通過改變回流比,旨在提高C-MBR 脫氮效果,使出水TN 濃度達到一級A 標準。試驗時間為 80 d,系統穩定后工況為:總 HRT 為 6 h(好氧池 HRT 為 2 h),DO為3.00 mg·L-1。好氧池MLSS、膜通量以及膜孔徑工況維持不變。回流比設50%、100%、200% 和300% 四個梯度。圖7 為不同回流比下,主要污染物的去除情況。由圖7 可知,隨著回流比增加,TN 去除率先增加后降低,當回流比為 200% 時,平均去除率最高,為64.60%,出水TN 平均濃度為14.86 mg·L-1,滿足一級A排放標準(15.00 mg·L-1);COD 和NH3-N 去除率均高于90%,出水滿足一級A 標準;TP 去除率呈下降趨勢。這是因為:(1)當回流比提高,回流至缺氧池的硝態氮增多,經反硝化作用TN 去除率提高;當回流比過高(如300%),回流量攜帶的氧增多,缺氧池內缺氧環境被破壞,反硝化菌活性被抑制,且回流至缺氧段的硝態氮接近飽和,異養菌數量也增多,有限的碳源無法提供足夠的電子供體,導致無法將回流的硝態氮完全還原,TN 去除率下降;(2)C-MBR 耐沖擊負荷能力較強,對 COD 有穩定的處理效果;(3)好氧池中硝化菌活性較高,硝化反應徹底,因此NH3-N 去除效果好;(4)隨著回流比增加,厭氧池中 DO 增加,影響厭氧釋磷,不徹底的釋磷不利于好氧條件下聚磷菌的過量吸磷[20],因此 TP 去除率下降。綜上,回流比為200% 時,出水TN 平均濃度滿足一級A 排放標準。因此是系統最佳回流比。
2.3.2 DO 對脫氮效果的影響
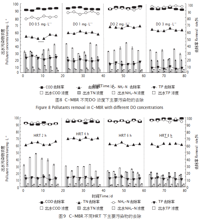
曝氣是污水生物處理系統的主要能耗,傳統污水處理廠中鼓風曝氣能耗占總能耗的 50% 左右,在二級生物處理單元中鼓風機電耗甚至占單元電耗的75%。通過改變DO 濃度,旨在使出水TN 滿足一級A 標準的同時,減少能耗。利用便攜式溶解氧儀進行實時監測,通過數顯氣體流量計(型號MF-5712)調節曝氣量的大小對DO 濃度進行控制。設置DO 濃度為0.50、1.00、2.00、3.00 mg·L-1 四個梯度,回流比 200%,總HRT 6 h(其中好氧池 HRT 2 h),其他參數維持不變,試驗時間為80 d。圖8 為不同DO 下,主要污染物的去除情況。
由圖 8 可知,隨著 DO 濃度增加,TN 去除率先升高后降低,當 DO 為 2.00 mg·L-1 時,平均去除率達到最高,為65.9%,此時出水TN 濃度為14.13 mg·L-1,滿足一級A 標準;NH3-N 去除率逐漸提高,當DO≥2 mg· L-1 時,出水NH3-N 濃度才滿足一級A 排放標準(5.00 mg·L-1);COD 平均去除率均大于 90%,無明顯變化;TP 去除率逐漸降低。
這是因為:(1)當DO 濃度過低,好氧池中硝化反應不充分,NH3-N 出水不滿足一級A 標準。DO 濃度增加,硝化菌活性增加,NH3-N 的去除效果提高;(2)當DO 濃度增加,硝化反應充分,因此回流的硝態氮增多,反硝化更加徹底,提高了 TN 去除效果。但當DO 濃度過高,回流液中攜帶的 DO 抑制硝酸鹽還原酶的合成和活性,反硝化作用受抑制,降低了TN 的去除效果,且增加能耗;(3)DO 增加,回流液中攜帶的DO 消耗了缺氧池中易降解的BOD5,碳源不足影響厭氧 釋 磷 ,同 時 消 耗 了 細 胞 內 的 聚羥基脂肪酸(PHA),造成除磷效果下降。綜上,DO 濃度為2.00 mg·L-1 時,出水TN、NH3-N 濃度均滿足一級A 排放標準,且該工況下曝氣量小,能耗低,為最佳DO 濃度。
2.3.3 好氧池HRT 對脫氮效果的影響

2.00當好氧池 HRT 為 2 h,回流比為 200%,DO 為mg·L-1 時,雖然C-MBR 出水TN 平均濃度滿足一級A 標準,但出水水質不穩定,仍會出現不達標情況。通過改變好氧池HRT,可提高系統出水穩定性。試驗時間為80 d,回流比200%,DO 為2.00 mg·L-1,厭氧池、好氧池各維持2 h,其他參數保持不變。圖9 為不同好氧池HRT 下,主要污染物的去除情況。
由圖 9 可知,當好氧池 HRT 為 4 h 時,TN 去除率達到最高,平均去除率可達 69.39%,出水平均濃度為 12.52 mg·L-1,且此時出水水質穩定,運行中 TN 濃度均滿足一級A 標準(15.00 mg·L-1);NH3-N 去除率先上升后穩定;COD 去除率上升;TP 去除率無明顯變化。
這是因為:(1)好氧池 HRT 從 2 h 增加到 4 h,NH2 h3-N 去除率從90.74% 增加到94.60%,說明HRT 為時,反應池中各微生物種群沒有充分的時間生長,硝化反應未充分進行,導致缺氧池中硝態氮濃度較低,反硝化無法穩定充分進行[25],不能達到穩定除氮的目的。但是好氧池HTR 過大(如6、8 h),會導致好氧池中有機物消耗過多,缺氧池 C/N 比降低,降低反硝化速率[26]從而影響TN 去除,同時造成基建面積過大,工程成本提高等問題;(2)隨著HRT 的增長,微生物對有機物的消解更徹底,COD 的去除率隨之升高。綜上,好氧池HRT 為4 h 時,C-MBR 出水水質穩定,出水TN 濃度穩定滿足一級A 標準,且此時 HRT 適中,不會引起基建面積擴大帶來的成本問題,性價比高。
![Q%$K]NYN_DA5G5OZ6NU4Y[5.png Q%$K]NYN_DA5G5OZ6NU4Y[5.png](/ueditor/asp/upload/image/20200929/16013755725735899.png)
因此認為最佳HRT 為4 h。
2.2 強化除磷研究
經試驗發現,單一的C-MBR 工藝除磷效果差,出水TP 濃度遠不滿足一級A 排放標準。目前,為解決MBR 除磷效率低的問題,主要采用投加化學藥劑的方法。但化學除磷存在很多缺點:需要不斷投加藥劑,且除磷過程中所形成的金屬磷酸鹽等最終形成固體沉淀,需要通過不斷排泥去除,維護量大且管理復雜。
在本試驗中,采用在 C-MBR 后端添加除磷填料段,利用填料吸附磷強化 C-MBR 除磷效果。改進后工藝流程如圖 10 所示。填料池由有機玻璃制成,池中裝填粒徑為15~20 mm 的粉煤灰多孔除磷填料。采用上向流設計,C-MBR 出水通過循環泵從填料池底部進水管流入,經過填料,從上部溢流口流出,并設置有多個溢流口。粉煤灰多孔除磷填料,由上海昂未環保發展有限公司提供,主要成分為粉煤灰、生石灰、磷石膏和水泥等,經高溫高壓改性而成。該填料具有重量小、機械強度好、孔隙發達、易掛膜等特點,其磷吸附容量為 0.016 g P·g-1 填料,孔隙率為 55.38%,平均密度為800.00 kg·m-3。
為選擇最佳水力負荷,共設置 3 組平行試驗,分別設計水力負荷為0.17、0.33、0.66 m3·m-3·d-1,分別對進出水口進行采樣。C-MBR 維持最佳脫氮工藝參數:回流比為200%、DO 2.00 mg·L-1、總HRT 8 h(好氧池HRT 4 h),其他參數保持不變。除磷填料在不同水力負荷下的去除率如表1 所示。
由表 1 可知,TP 去除率隨水力負荷的增加而降低。分析認為:當水力負荷過大,污染物與填料接觸時間不充分,導致 TP 去除率低;當水力負荷過小,雖然TP 去除效果好,但每日處理水量過低,投資增加。因此,0.33 m3·m-3·d-1 為最佳水力負荷,此時出水 TP平均濃度為 0.42 mg· L-1,滿足一級 A 排放標準(0.5 mg·L-1)。在最佳水力負荷下,C-MBR、脫磷池進出水TP 濃度以及其去除率見圖11。
由圖11 可知,采用粉煤灰多孔填料吸附除磷前,進水TP 平均濃度為5.21 mg·L-1,C-MBR 平均出水濃度為4.57 mg·L-1,工藝對TP 平均去除率僅為12.32%;增加填料吸附除磷模塊后,出水平均濃度為0.42 mg· L-1,工藝對TP 平均去除率提升為90.90%,出水TP 濃度滿足一級A 排放標準(0.50 mg·L-1)。此外,采用吸附法除磷相比化學除磷,操作簡便,管理容易,具有較好的推廣價值。
2 結論
(1)傳統 C-MBR 工藝處理農村生活污水,出水



TN 和TP 不能滿足一級A排放標準。優化回流比為200%、好氧池 HRT 為 4 h、DO 濃度為 2.00 mg·L-1,C-MBR 脫氮效果顯著提高,TN 去除率可達 69.39%,平均出水濃度為12.52 mg·L-1,滿足一級A 排放標準。
(2)利用粉煤灰多孔填料對污水中的磷進行吸附去除,在水力負荷0.33 m3·(m3·d)-1 條件下,TP 去除率可達90.90%,平均出水濃度為0.42 mg·L-1A 排放標準。
(3)通過優化運行參數,增加吸附除磷段,C-MBR 工藝出水氮、磷指標可同時達到一級 A 排放標準,系統運行穩定,且操作簡單、維護量小、能耗低。(來源:上海交通大學農業與生物學院)


