生物酶可以在pH值和溫度都比較穩定的條件下促進某一特定的反應快速完成,重要的是酶在反應過程中不會被消耗,分子結構也不會發生改變,只是起到一個催化的作用,可以使污染物清洗的更徹底,相比于酸性清洗液和氧化性清洗液具有高效性和環保性。水平井鉆井液污染現場清洗時,機械方法和化學方法在清除濾餅時各有利弊,機械方法會由于出砂和水堵導致產能下降,具有較大的能耗和成本,化學方法對水平井鉆井液污染的清洗效果比較好,但是具有較差的專一性,清洗時會損壞鉆具,因此將生物酶應用到水平井鉆井液污染清洗中。生物酶技術是近幾年來工業發展中的一項高效環保的生物技術,對纖維素、黃原膠和淀粉的降解有促進作用,是一種比機械方法和化學方法更環保的方法。
一、基于生物酶的水平井鉆井液污染清洗方法設計
1.1 水平井鉆井液污染的預處理
酶在化學反應中屬于一種具有催化作用的物質,是由生物體內的活細胞產生的,可以加快化學反應的速度。用生物酶清洗水平井的鉆井液污染系統是由發生器、傳輸電纜以及換能器組成,如圖1所示。預處理過程中,將水平井下的換能器用普通射孔電纜輸送到含水層部位,并由輸電電源提供電能,發生器在清洗時會噴射出酸性清洗液和氧化性清洗液,經過信號電纜將清洗液流入到換能器,最后由換能器將清洗液轉換成生物酶,達到鉆井液污染清洗的目的。

水平井的鉆井液中含有淀粉、聚丙烯酰胺、黃原膠及竣甲基纖維素等合成類聚合物成分,這些成會隨著鉆井液濾液濾失到水平井的井壁周圍與黏土等固相顆粒共同形成濾餅,這樣就很容易造成鉆孔發生有機堵塞,采用酸性清洗劑很難緩解堵塞問題。水平井鉆井液污染預處理機理框圖如圖2所示。

生物酶即使與水平井鉆井液分離,催化作用的效率也是非常高的,因此生物酶在水平井鉆井液污染預處理中承擔了更多的任務,大多數工業生產中也都借助生物酶的催化作用來提高生產效率,從而降低了生產過程中的成本。基于生物酶技術預處理水平井鉆井液污染之后,還要在預處理框圖的基礎上建立水平井鉆井液污染清洗模型,實現基于生物酶的水平井鉆井液污染清洗。
1.2 建立水平井鉆井液污染清洗模型
建立水平井鉆井液污染清理模型都是將整個清洗的過程劃分成幾個獨立部分后再研究,水平井鉆井液污染清洗中,每一種污染類型都不可能獨立發生。建立水平井鉆井液污染清洗模型不是連續的過程,是將鉆孔堵塞和濾餅層的形成看作是同時發生的,但是清洗時會出現影響鉆井液污染的因素不同。
在水平井的鉆孔堵塞方面,結合鉆井液污染清洗分離器結構(見圖3),可以確定鉆井液成分中蛋白質污染的形成是在鉆孔堵塞機制中。當水平井的鉆孔經常出現堵塞現象時,蛋白質本身就會發生變葩逐郴成濾餅層。

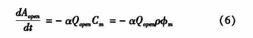
基于流變學的流量與鉆井液阻力可以表示為:


表達式中,Q代表生物酶的流量,代表鉆井液產生的阻力,易是蛋白質沉淀物的阻力,q代表鉆井液的體積濃度,廣尺代表蛋白質形成濾餅層時阻力增加的速率。
鉆孔堵塞模型在清洗的第一階段常常由于蛋白質的聚合物緩慢進入鉆孔使水平井的鉆孔發生堵塞現象。第一階段的濾餅層通常比較薄,假設忽略濾餅層的壓縮性。水平井鉆孔堵辣型中,體積流率可以表達為:

其中
表示單位面積內鉆井液的體積流率。
通過未堵塞鉆孔單位面積內鉆井液的體積流率為:

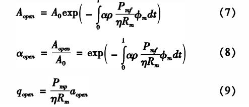
公式中,pmf表示水平井鉆孔表面的鉆井液壓力,Aopen表示未堵塞鉆孔的面積。
假設鉆孔堵塞的速率與鉆井液對鉆孔的流速率成比例:

因此,可以利用下列公式計算出鉆井液的體積流率和未堵塞的鉆孔面積同:

在水平井鉆孔堵塞階段,可以忽略堵塞面積阻力增加的速率f'R',因此水平井鉆孔堵塞區域的阻力要始終保持恒量,具體表示如下:

綜上分析可以得出水平井鉆井液的污染清洗模型為:

綜上通過生物酶流量得出了生物酶的體積流率,并結合鉆井液體積流率和未堵塞鉆孔面積的計算公式,得到了水平井鉆井液的污染清洗模型,最后需要采用不同參數清洗水平井鉆井液的油層污染、泥餅污染和抗土污染,才能使水平井鉆井液污染清洗的更徹底。
1.3 水平井鉆井液污染清洗的實現
根據鉆井液的體積流率和未堵塞的鉆孔面積計算公式得到了水平井鉆井液的污染清洗模型,參考水平井鉆井液污染清洗流程圖(見圖4)確定了水平井鉆井液污染清洗效果的影響因素,利用鉆井液污染清洗模型清洗水平井鉆井液的油層污染、泥餅污染和抗土污染。

在清洗鉆井液油層污染時,采用預處理工藝處理鉆井液油層污染試樣,根據水平井鉆井液污染清洗模型分析出影響油層清洗效果的主要因素就是生物酶濃度,不同濃度的生物酶對水平井鉆井液油層污染的清洗效果也是不同的,但鉆井液污染的清洗效果不是生物酶濃度越高就越好,生物酶濃度對鉆井液油層污染清洗效果如圖5所示。

針對生物酶溶液,當生物酶的質量分數增加到0.5%時,通量恢復率可以達到78.9%o但是當生物酶的質量分數超過0.7%時,油層污染的通量恢復率為79.2%,并沒有明顯提高,隨后生物酶濃度繼續增大,通量恢復率反而下降。原因是隨著生物酶PH的增加,在油層清洗過程中蛋白質發生了變性,導致鉆井液油層污染清洗效果不明顯。因此選用生物酶濃度為0.5%~0.7%時,水平井鉆井液油層污染的清洗效果最好。
在清洗鉆井液泥餅污染時,采用預處理工藝處理鉆井液泥餅污染試樣,利用水平井鉆井液污染清洗模型分析出油層清洗效果的影響因素主要是就是清洗時間,通常情況下水平井泥餅污染的清洗效果會隨著清洗時間的延長而增強,但是會由于清洗劑種類和性質的不同,使得泥餅清洗效果的增長趨勢不同。清洗時間對鉆井液泥餅清洗效果的影響如圖6所示。

對于SDS溶液30分鐘以內清洗泥餅污染的通量恢復率處于增長昨,隨著清洗時間的延長,通量恢復率沒有明顯變化,但是生物酶溶液清洗泥餅污染的最佳狀態清洗時間是40分鐘,而40分鐘后通量恢復率也處于增長狀態。
在清洗鉆井液抗土污染時,采用預處理工藝處理鉆井液抗土污染試樣,利用水平井鉆井液污染清洗模型分析出影響抗土污染清洗效果的因素主要就是清洗時間,所有清洗劑都是隨著清洗溫度的升高,吐污染的通磁復率也都增加。清洗磁對抗土污染清洗效果的影響如表1所示。

選擇清洗溫度時,要考慮到鉆井液抗土污染程度及生物酶對溫度的敏感程度。分析表1的數據可知,不同種類的清洗劑清洗抗土污染的最佳清洗溫度均為45%。
在參考了水平井鉆井液污染清洗流程后,分別采用生物酶濃度、清洗時間和清洗溫度三個因素對鉆井液的油層污染、泥餅污染和抗土污染清洗,確定了可以達到最佳清洗效果的因素范圍,完成了基于生物酶的水平井鉆井液污染清洗。
二、實驗對比
2.1 水平井鉆井液取樣
檢査水平井鉆井液是否澄清,工作污染指數是否在規定范圍內,取盡量多的鉆井液,取樣盡量避開污染指數高的鉆井液,選用污染較為嚴重且均勻的部分,取樣的整個過程都不要混入其他雜質,將取樣的鉆井液分別裝在100ml的實驗瓶中盡可能降低試樣的污染程度。
2.2 實驗環境和儀器選擇
鉆井液黏度對比實驗在實驗室進行,實驗儀器包括電子天平、洗耳球、廣口瓶、燒杯、玻璃棒、六轉速黏度計、毛細管黏度計、機磁拌器、恒溫水浴鍋。實Mm包括預膠化淀粉和生物酶。
2.3 實驗方法及結論
配置2%的預膠化淀粉溶液。將60ml鉆井液溶解在一定量水中,剩余的40ml鉆井液在水浴中加熱至接近沸騰,將加入水的鉆井液緩緩加入即將沸騰的水中,邊攪拌邊加熱,直至鉆井液到半透明狀態。鉆井液冷卻定容到100ml。
配置10份生物酶與鉆井液試樣反應體系,其中鉆井液體積均為100ml,生物酶濃度均為100mg/L,分別采用基于預膠化淀粉的水平井鉆井液污染清洗方法和基于生物酶的水平井鉆井液污染清洗方法,考察體系在30%-140%:之間的反應活性,實驗結果如圖7所示。

由圖7可以看出,兩種清洗方法在溫度低于4O3C時鉆井液黏度仍然很高,隨著溫度的升高,采用基于生物酶的水平井鉆井液污染清洗方法,鉆井液黏度急速下滑,直至80%時黏度最低,為9mPa·s,達到最佳清洗效果。
用同樣方法配置3份鉆井液與生物酶反應體系,其中鉆井液體積為100ml,生物酶濃度在50mg/L至500mg/L之間,考察生物酶活性在80%以下,分別采用基于預膠化淀粉的水平井鉆井液污染清洗方法和基于生物酶的水平井鉆井液污染清洗方法,實驗結果如圖8所示。

根據圖8對比曲線可知,兩種清洗方法在生物酶濃度低于200mg/L時,清洗效果都很差,當生物酶濃度超過300mg/L時,采用基于生物酶的水平井鉆井液污染清洗方法,鉆井液黏度開始急速下滑,處于300mg/L-350mg/L之間時,鉆井液濃度達到最低,為20mPa-s,清洗效果也是最佳的。
基于上述實驗,可以得出當溫度和生物酶濃度都很低時,兩種清洗方法測得的鉆井液黏度都很高,但是隨著自變量的升高,采用基于生物酶的水平井鉆井液污染清洗方法,鉆井液的黏度立即下降,完全可以達到最佳的清洗效果。而基于預膠化淀粉的水平井鉆井液污染清洗方法測得的鉆井液黏度曲線也有下降的趨勢,但鉆井液黏度仍然很高,清洗效果較差。經計算可以得出,提出的基于生物酶的水平井鉆井液污染清洗方法較基于預膠化淀粉的水平井鉆井液污染清洗方法,清洗能力提升了55%,適合用于水平井鉆井液污染清洗中。
三、結語
提出了基于生物酶的水平井鉆井液污染清洗方法研究。先采用生物酶技術預處理水平井鉆井液污染,根據預處理機理框圖構建了基于生物酶技術建立水平井鉆井液污染清洗模型,并采用生物酶濃度、清洗時間和清洗溫度三個因素清洗鉆井液的油層污染、泥餅污染和抗土污染清洗,實現了基于生物酶的水平井鉆井液污染清洗。實驗數據表明,提出的基于生物酶的水平井鉆井液污染清洗方法在鉆井液污染清洗中具有較好的清洗效果。可以為基于生物酶的水平井鉆井液污染清洗方法提供理論指導。(來源:克拉瑪依職業技術學院石油工程系)


