1、概述
印染廢水是當今污染源之一,降低廢水中有機物含量和色度已成為當今工業廢水治理的一個特點,印染廢水具有色度大、有機物含量高、成分復雜、水質變化大、毒性大等特點,目前該種廢水的處理方法主要有物理處理法、化學處理法以及生物處理法。
吸附法是利用多孔性吸附劑與廢水混合,或讓廢水通過由吸附劑組成的濾床,使有機分子吸附在其表面或被過濾出去。活性炭、天然礦物、殼聚糖、樹脂等是目前常用的主要吸附劑。
殼聚糖制備原料為甲殼素,甲殼素的N-脫乙酰度高于55%的產物稱為殼聚糖。本文圍繞殼聚糖吸附印染廢水進行研究。以高嶺土模擬懸浮顆粒物,以土壤作為高嶺土的對照實驗。
2、實驗
2.1 藥品與儀器
實驗藥品:普拉紅B(分析純),冰醋酸(99.4%)(分析純), NaOH(分析純)。殼聚糖脫乙酰度80%~95%,高嶺土。
實驗儀器見表1。

2.2 殼聚糖絮凝體的制備
殼聚糖結構中存在氨基,在酸性條件下將其質子化從而使殼聚糖溶解。再不斷加入堿,攪拌均勻,得到殼聚糖絮凝體,對染料進行吸附。具體步驟如下:稱取0.2g殼聚糖于100mL燒杯中,加入20mL蒸餾水,0.6mL乙酸使其完全溶解;再不斷加入NaOH(20%)并攪拌均勻,直至pH計顯示中性。
2.3 模擬染料廢水的吸附性能的研究
量取50mL,1g/L普拉紅B染料溶液于制備的絮凝體中進行攪拌,每隔15min吸取上清液略多于2mL進行離心,取離心后的上清液2mL于50mL的比色管中,加入蒸餾水至刻度線,測吸光度。記錄數值直至吸光度不再發生變化,即吸附達到平衡,停止計時。
3、結果與討論
3.1 吸附動力學研究
以1g/L的普拉紅B染料為模擬染料做吸附動力學模擬。本實驗為了研究其機理,分別使用擬一級、擬二級動力學反應式對相關的實驗數據進行擬合。
擬合參數見表2,擬合結果見圖1,圖2。


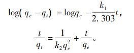
從結果可知,動力學方程為:

其中,k1,k2為準一級和準二級吸附反應速率常數,無量綱,單位分別為h-1和g/(mg•h);qe為吸附達到平衡時的吸附量,mg/g;qt為t時刻的吸附量,mg/g;t為反應時間,h。
由表2中殼聚糖與再生得到的殼聚糖的吸附動力學曲線的擬合參數可知,擬二級動力學模型計算所得的吸附容量和實驗數值更加接近,且方程的相關系數R2值大于0.97。這說明擬二級動力學方程可以更準確地描述殼聚糖以及再生得到的殼聚糖對普拉紅B的吸附過程,吸附符合二級動力學模型。
3.2 吸附熱力學研究
本實驗還進行了由吸附平衡數據繪制出殼聚糖的等溫線。具體做法是用朗格繆爾反應式和弗里德里希反應式對其吸附等溫線擬合。
表3是具體的擬合參數。圖3和圖4為具體的擬合結果。


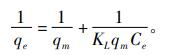
吸附熱力學方程的表達式分別為:

其中,qe為吸附達到平衡時的吸附量,mg/g;qm為理論飽和吸附量,mg/g;Ce為溶液在吸附平衡時的濃度,mg/L;KL為朗格繆爾常數,L/mg。

其中,qe為吸附達到平衡時的吸附量,mg/g;qm為理論飽和吸附量,mg/g;Ce為溶液在吸附平衡時的濃度,mg/L;KF為弗里德里希常數,無量綱(與吸附強度相關);n為弗里德里希指數(與吸附強度相關)。
殼聚糖對普拉紅B的吸附均符合Freundich吸附等溫方程。計算可得的飽和吸附容量為264.8mg/g。
4、結語
在常溫下,pH=7.0,殼聚糖含量為0.2g,殼聚糖以及再生得到的殼聚糖對普拉紅B的吸附過程可用二級吸附動力學方程來描述,殼聚糖對普拉紅B的吸附符合弗里德里希反應等溫吸附模型,飽和吸附容量為264.8mg/g。(來源:唐山市規劃建筑設計研究院環境工程所)



