厭氧消化(AD)是一種可將廢物轉化為生物能源的技術。污泥中含有大量的有機物,是一種典型的生物質資源,采用AD對污泥進行處理,在減量污泥的同時可以產生沼氣,因此可達到碳減排的效果,這對于實現我國的雙碳目標意義重大。
傳統的中溫厭氧消化(MAD)水解速度較慢,使得產氣速率較低,從而導致MAD在實際工程應用中體積較大。與MAD相比,高溫厭氧消化(TAD)被認為可通過加速污泥水解來提高產氣量,但其缺點是需要更大的能耗,這在一定程度上限制了TAD在工程上的應用。因此,TAD提高的沼氣量與系統所需能耗之間是否平衡決定了其推廣應用是否可能。鑒于此,筆者設計了不同負荷下污泥中溫和高溫厭氧消化連續反應器,研究溫度及負荷對污泥厭氧消化的產氣性能、水解性能及微生物群落結構的影響,并對系統能量供耗進行核算,以期為污泥TAD在工程上的應用提供參考。
1、材料與方法
1.1 污泥來源及性質
試驗采用西安市某污水處理廠奧貝爾氧化溝剩余污泥經離心壓濾后的脫水污泥,該廠奧貝爾氧化溝工藝部分的污泥停留時間(SRT)為18~20d,是典型的長泥齡污泥。試驗開始前,采用脫水污泥調制含固率為4%和8%的污泥并將其保存在4℃環境中,將含固率為4%的污泥作為試驗啟動階段基質,含固率為8%的污泥作為反應器運行階段Ⅰ和Ⅱ的試驗污泥。污泥的理化性質如表1所示。

1.2 試驗裝置及啟動運行方法
AD裝置如圖1所示。AD反應器為1L的玻璃瓶,工作體積為0.6L。使用集熱式恒溫加熱磁力攪拌器分別將MAD系統和TAD系統控制在中溫(36±1)℃和高溫(52±1)℃條件下。采用排水法(6%的NaOH溶液)計算每日產甲烷量,采用抽填法進行AD系統每日的進樣和出樣。

試驗共運行130d,在開始之前接種污泥,并在低OLR下啟動AD系統,控制SRT為30d,運行10d;然后將OLR提高至1.79g/(L·d),縮短SRT至24d,運行50d;然后繼續縮短SRT至15d,以提高OLR至2.87g/(L·d),運行70d。
1.3 分析項目與方法
沼氣產量采用排水法測定;氣體組分占比采用氣相色譜法(Agilent6890N,TCD,TDX-01)分析,每5d測定1次。消化液的性質每5d測定1次,pH采用雷磁pH計測定,TS和VS采用標準重量法測定,TAN、TCOD、溶解性COD(SCOD)和TN濃度均采用國家標準方法測定,游離氨(FAN)濃度通過式(1)計算得到,VS降解率按照Koch的方法計算。將消化液在10000r/min下離心10min后經0.22μm膜過濾,采用甲酸調pH至2.0,然后采用氣相色譜法(Agilent6890N,FID)測定揮發性脂肪酸(VFAs)。試驗結束時將消化液送至生工生物工程(上海)股份有限公司進行細菌和古菌群落的高通量測序。

2、結果與討論
2.1 不同負荷下AD系統的連續運行性能
2.1.1 產氣性能
不同階段MAD和TAD系統的單位容積產甲烷速率、產甲烷占比及VS降解率如圖2所示。

由圖2可知,在啟動階段,MAD和TAD系統的單位容積產甲烷速率接近,均保持在50mL/(L·d)左右。提高有機負荷到階段Ⅰ后,MAD系統的單位容積產甲烷速率接近70mL/(L·d),而TAD系統高達254.7mL/(L·d),是MAD的3.7倍。進一步提高有機負荷到階段Ⅱ時,MAD和TAD系統的單位容積產甲烷速率分別為147.0和419.5mL/(L·d),分別為階段Ⅰ的2.1倍和1.6倍。因此,提高AD系統的溫度和有機負荷均會明顯提高產甲烷量。
在污泥含固率為8%的條件下,TAD與MAD系統的平均VS降解率分別為33.9%和22.3%。雖然兩個系統的VS降解率均未滿足《城鎮污水處理廠污染物排放標準》(GB18918—2002)中對厭氧消化技術有機物降解率需大于40%的穩定化要求,但整個運行過程中TAD系統的VS降解率均明顯高于MAD系統,TAD與MAD系統的VS降解率變化范圍分別為30%~41%和17%~30%。
此外,圖2顯示,TAD系統產生的沼氣中甲烷占比略高于MAD系統,且對產甲烷占比進行方差計算可知,MAD系統的方差(δ)為245.5,而TAD系統的δ為4.7,因此TAD系統的產甲烷占比相對穩定。在階段Ⅰ的前25d,兩個系統的產甲烷占比均有較大的波動,而在后25d中MAD系統基本穩定在55%左右,TAD則穩定在57%左右。提高有機負荷后MAD和TAD系統的產甲烷占比分別提升到57%和59%。
綜上,TAD系統的單位容積產甲烷速率及產甲烷占比均高于MAD系統,且變化幅度較小,表明TAD系統的產沼氣性能優于MAD系統。
2.1.2 水解性能
MAD和TAD系統在不同負荷下運行的水解指標歷時變化見圖3。圖3(a)和(b)為VFAs組分的歷時變化,可以看出,啟動階段MAD系統的VFAs組分以乙酸為主,而TAD系統開始出現了丙酸積累。提高負荷后的階段Ⅰ,TAD系統中丙酸積累更加明顯,濃度高達419.9mg/L。再次提高負荷的階段Ⅱ,兩個系統均以乙酸為主,其次為少量的丙酸。

圖3(c)為MAD和TAD系統的SCOD及VFAs濃度的歷時變化。可以看出,TAD系統的SCOD濃度及波動均較MAD系統要大,但是兩個系統的VFAs濃度卻相差不大,說明TAD系統中產生了一定量的非揮發性有機物。在階段Ⅰ中,MAD系統的SCOD濃度從1759.6mg/L下降并穩定在600mg/L左右,而TAD系統的SCOD濃度則從2999.2mg/L增加到3613.9mg/L。提高負荷至階段Ⅱ后,MAD系統的SCOD濃度沒有明顯的增加,平均濃度為700mg/L,而TAD系統的SCOD及VFAs均有增加,SCOD濃度在85d時達到了最高值(5161.3mg/L),這也為TAD系統在階段Ⅱ產氣提供了物質基礎。
圖3(d)為MAD與TAD系統的pH、TAN及FAN濃度的歷時變化。可以看出,整個運行過程中TAD系統的pH、TAN及FAN濃度均高于MAD系統,階段Ⅱ的波動較階段Ⅰ明顯。pH是AD系統的關鍵環境因素,在本試驗中,啟動階段MAD及TAD系統的pH分別在7.06~7.58和7.43~7.88范圍波動,未超出文獻報道的pH抑制產氣范圍。此外,MAD系統的TAN濃度在啟動階段從1044.5mg/L減少到827.5mg/L,然后在階段Ⅰ穩定在810.0mg/L左右,但在階段Ⅱ時波動變大,最高濃度達到了1088.9mg/L;而TAD系統的TAN濃度在整個運行階段內呈上升趨勢,變化范圍為994.0~1800.8mg/L。至于FAN濃度,MAD系統在運行期間均穩定在20mg/L左右,而TAD系統的FAN平均濃度為198.2mg/L,是MAD系統的10倍左右,這是溫度變化所導致的。總的來說,MAD和TAD系統的氨濃度均未達到文獻中所報道的氨抑制閾值。
2.2 微生物群落分析
2.2.1 微生物多樣性
表2所示為MAD及TAD系統中微生物的α多樣性指數。其中Chao、ACE和Shannon指數與微生物多樣性呈正相關,而Simpson指數與微生物多樣性呈負相關。從表2可以看出,MAD系統中的序列數是TAD系統的1.28倍,并且其Chao、Shannon及ACE指數均大于TAD系統,而Simpson指數小于TAD系統。由此可見,MAD系統中的微生物多樣性高于TAD系統。

2.2.2 微生物群落相對豐度
眾所周知,在污泥厭氧消化中微生物群落起到了至關重要的作用,連續反應結束時MAD和TAD系統中微生物群落在屬水平上的相對豐度見圖4。

從圖4(a)可以看出,除相對豐度<1%的屬水平細菌(Other)外,MAD和TAD系統中的優勢細菌屬存在較大的差異。MAD系統中屬水平上的優勢細菌屬分別為Unclassified_Bacteroidales(10.44%)、Parcubacteria_genera_incertae_sedis(5.06%)以及Unclassified_Sphingobacteriales(4.83%)。Unclassified_Sphingobacteriales屬于Sphingobacteriia,其可以降解復雜大分子有機物,例如蛋白質和碳水化合物等。TAD系統中屬水平上相對豐度最高的細菌為Unclassified_Firmicutes(29.72%),是厭氧消化系統中常見的細菌,在丁酸等VFAs的降解過程中起著重要的作用。此外,高溫菌Unclassified_Clostridia在TAD系統中的相對豐度也高達13.56%,其被報道是一種常見的能夠降解蛋白質、脂質和聚合碳水化合物的高溫菌。
從圖4(b)可以看出,MAD與TAD系統中的古菌群落存在明顯區別。Methanothrix在MAD系統中的相對豐度高達56.9%,為MAD系統的優勢古菌屬,其以乙酸作為產甲烷基質。而TAD系統中的優勢古菌屬為Methanosarcina(56.4%),其作為AD系統中常見的多功能產甲烷古菌,可以利用H2/CO2、乙酸、甲醇、甲胺等基質產甲烷,且有文獻報道稱,Methanosarcina可在較大的溫度范圍內生長,并且對環境pH的接受范圍較大,因此可以在高溫中保持較高豐度。此外,Methanobacterium(28.0%)也是TAD系統中的優勢古菌屬,該菌是一種氫營養型產甲烷古菌,可利用H2和CO2作為產甲烷基質,其在MAD系統中未被發現。
綜上可知,溫度提高導致AD系統中優勢菌群豐度發生了變化,這與溫度所導致的AD系統中pH、TAN及VFAs等環境條件和基質條件變化相關。
2.3 能量衡算
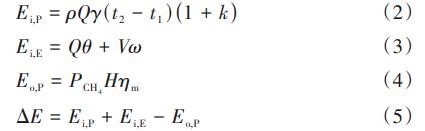
為了初步評價工藝能耗及產氣能源回收,本研究對連續試驗進行能量衡算。污泥厭氧消化系統的能耗主要包括將污泥從環境溫度加熱到反應溫度并維持所需要的能耗,而產能則是由系統最終產甲烷的量來決定。具體計算方法見式(2)~(5)。

式中:Ei,P為污泥加熱所需的熱能,kJ/d;Ei,E為污泥加熱所需的電能,kJ/d;ρ為污泥密度,取1.04kg/L;Q為污泥量,m3/d;γ為污泥比熱容,含固率為8%的污泥比熱容取4.0kJ/(kg·℃);t1為環境溫度,取西安市年平均溫度15℃;t2為厭氧消化系統所需的溫度,℃;k為熱損失系數,取8%;θ為輸送污泥泵的電能消耗,取1.8×103kJ/m3;V為處理污泥體積,取0.6L;ω為攪拌消耗的電能,取3.0×102kJ/(m3·d);Eo,P為污泥厭氧消化產甲烷回收的能量,kJ/d;PCH4為產甲烷體積,L;H為甲烷最低燃燒值,取35.8kJ/L;ηm為轉化效率,取90%。
計算結果見表3。可知,TAD系統的凈能量高于MAD系統,提高負荷后MAD系統的凈能量減少而TAD系統的凈能量增加。就耗能情況來看,在階段Ⅰ中,MAD系統的總能耗為2.59kJ/d,TAD系統則需要4.39kJ/d的能耗來維持更高的反應溫度。同樣,在階段Ⅱ中,MAD與TAD系統的能耗也分別提升到了4.02和6.90kJ/d。然而,產能方面,TAD系統與MAD系統相比,不同的運行階段均產生了更多甲烷量,因此也產生了更多可回收的能量。總之,整個運行階段MAD和TAD系統的凈能量分別為-3.26、1.13kJ/d,TAD系統可以能量自給,而MAD系統尚需要額外的能量輸入。

3、結論
①TAD系統的單位容積產甲烷速率高于MAD系統,最高可達608.3mL/(L·d);相同負荷下TAD系統的產甲烷占比高于MAD系統,且波動較MAD系統的要小。②MAD與TAD系統的水解指標波動相似,但TAD系統的pH、TAN、FAN及SCOD濃度均明顯高于MAD系統。高溫會導致細菌及古菌群落的多樣性減少,細菌的優勢菌屬豐度發生變化,古菌的優勢菌屬從Methanothrix演變為Methanosarcina。
③TAD系統在不同負荷下運行均可滿足能量自給,而MAD系統還需要額外的能量輸入,因此,從系統能量收支角度看,TAD更有優勢。(來源:中國電建集團西北勘測設計研究院有限公司,西安建筑科技大學環境與市政工程學院)



