磷是導致水體富營養化的關鍵因素之一,如何有效控制水體磷含量是近些年來學者們的研究熱點。湖泊磷的來源主要分為外源進入和內源釋放,底泥是湖泊的重要組成部分,輸入湖泊的外源磷經過一系列的物理、化學和生物作用會蓄積于底泥中。當外界環境條件發生變化時,蓄積于底泥中的磷會重新釋放以內源磷的形式進入上覆水,因此,在目前外源磷逐步得到控制的條件下,有效抑制底泥中磷的釋放成為了亟待解決的問題。
目前底泥磷釋放控制技術主要包括異位控制和原位處理。異位處理技術主要是疏浚技術,其是通過水力或機械方法挖除湖泊表層的污染底泥,清除污染水體的內源磷。我國的滇池草海、安徽巢湖、杭州西湖、瑞典的Trummen湖等均采用了該技術。原位處理技術可分為化學處理、生物處理和穩定化處理。與異位處理技術相比,原位處理技術優點在于:可以避免疏浚過程中底泥懸浮致使大量磷向水體釋放的問題,減少底泥異位時流失的污染物總量,降低污染物毒性及控制污染物遷移性,并且處理費用低,且原位控制技術可顯著降低沉積物中各形態磷含量,抑制沉積物磷及其他污染物向上層水釋放。
凈水廠污泥是給水處理廠在凈水過程中產生的污泥,包括原水中的懸浮物質、有機物質等,以及處理過程中形成的如鋁鹽、鐵鹽等化學物質。有研究表明,凈水污泥對磷具有優良的吸附效果。徐穎等利用原始凈水污泥為原料,其對磷的實際飽和吸附量為3.065mg·g−1;馬嘯宙等采用80℃烘干的凈水污泥作為磷吸附材料,明確凈水污泥對低濃度磷(5mg·g−1)的最佳去除率為92.5%,理論飽和吸附量為3.47mg·g−1。以上研究結果均說明凈水污泥對磷具有一定的吸附能力。凈水污泥在煅燒過程中其含有的鐵、鋁等元素會生成對應金屬氧化物,可進一步提高凈水污泥的吸附性能,而且通過煅燒可避免有機質對水體的影響。本文使用經熱改性處理后的凈水污泥作為底泥改良材料,探討了其對水體磷酸鹽的吸附性能,并對比了不同WTS400-4投加量(0%、2.5%、5%、10%)對底泥內源磷形態分布的影響及吸附機制,以期為凈水污泥資源化利用與水體內源磷控釋提供參考。
1、材料與方法
1.1 實驗材料
底泥取自成都市金牛區某受污染的河道,采集底泥經自然風干后,破碎過100目篩網備用。所用HCl、NaOH、NaCl、LaCl3·(H2O)7、KH2PO4、CaCl2、NaHCO3等試劑均為分析純,購自國藥集團化學試劑有限公司。實驗所用水為超純水。
實驗用凈水污泥取自成都市某自來水廠,以鋁鹽和鐵鹽作為混凝劑,含水率在75%~80%,其中干基灰分82.02%。取回后經干燥、破碎過100目篩網備用。
本實驗所用熱改性凈水污泥的制備步驟為:稱取30g100目凈水污泥加入到50mL陶瓷坩堝中,加蓋密封,置于馬弗爐中于400℃反應4h,待反應完成后,冷卻至室溫,研磨過100目篩網,密封裝袋置于干燥器中備用。經測定,WTS400-4磷含量為1400mg·kg−1,干基灰分89.5%。凈水污泥原泥命名為WTS(watertreatmentsludge),制備的熱改性凈水污泥命名為WTS400-4。
1.2 實驗方法
1)底泥培養實驗。首先,將4份質量均為150g的底泥分別加入到4個500mL透明試劑瓶中,再將WTS400-4按照占底泥質量分數0%、2.5%、5%、10%的比例分別加入上述試劑瓶中,并完全混合均勻,按照投加量的不同,各組分別命名為空白、WTS2.5、WTS5、WTS10;其次,配制含1mmol·L−1NaHCO3、10mmol·L−1 NaCl和1mmol·L−1 CaCl2的溶液4L,將pH調至7.0,經超聲除氧后作為模擬實驗的上覆水;最后再將模擬上覆水加入試劑瓶至與瓶口平齊,封口后再置于暗處培養60d。實驗期間,每15d向試劑瓶內加入100mg亞硫酸鈉,以確保培養體系的溶解氧(DO)質量濃度不大于0.5mg·L−1。每5d利用pH計和溶解氧儀測定上覆水的pH值、DO質量濃度,采用鉬銻抗比色法測定溶解性活性磷質量濃度(SolubleReactivePhosphate(SRP))。
底泥實驗結束后,將上覆水倒掉,將濕底泥通過離心得到間隙水和底泥樣品,測定間隙水的SRP及底泥含水率。底泥樣品經烘干后過100目篩網密封裝袋后置于干燥器保存備用,以用于后續的磷形態提取和生物有效磷提取。空白、WTS2.5、WTS5和WTS10中底泥的含水率分別為27.5%、28.7%、28.8%和29.6%。
2)底泥中磷形態的連續提取。底泥中的磷形態可分為弱吸附態磷(NH4Cl-P)、鐵結合態磷(BD-P)、鋁結合態磷(NaOH-rP)、有機碎屑態磷(Org-P)、鈣結合態磷(HCl-P)和殘渣態磷(Res-P)。以上各種形態磷采用六步連續化學提取法得到,具體步驟為:分別將1mol·L−1 NH4Cl溶液(pH=7),0.11mol·L−1 Na2S2O4/NaHCO3溶液、0.1mol·L−1 NaOH溶液在25℃、200r·min−1下振蕩2、1、16h得到NH4Cl-P、BD-P、NaOH-rP;上述溶液消解后減去NaOH-rP的量得到Org-P;用0.5mol·L−1 HCl溶液在25℃、200r·min−1下振蕩16h得到HCl-P;使用1mol·L−1 NaOH溶液在85℃烘箱中反應1h得到Res-P。
3)底泥生物有效磷提取。為了進一步探究WTS400-4對底泥磷的影響效果,本研究采用ZHOU等提取生物有效磷的方法,測定水溶性磷(WSP)和碳酸氫鈉可提取磷(Olsen-P),具體步驟為:取0.4g過100目篩網的底泥樣品于150mL錐形瓶中,加入40mL去離子水,在25℃、220r·min−1條件下振蕩2h,離心10min(4000r·min−1),取上清液測SRP即水溶性磷(WSP);取1.2g過100目篩網的底泥樣品于150mL錐形瓶中,加入40mL0.5mol·L−1NaHCO3溶液,在25℃、220r·min−1條件下振蕩0.5h,離心10min(4000r·min−1),取上清液測SRP即碳酸氫鈉可提取磷(Olsen-P)。
4)材料的表征。材料的表觀形貌采用場發射掃描電鏡(SEM,ZeissMerlin,德國Zeiss公司)測定;比表面積、孔容和平均孔徑特征采用全自動比表面積孔徑分析儀(BET,MicromeriticsAsap2460,美國)測定;物相特征采用X射線衍射儀(XRD,D8Advance,Bruker,德國)測定。
1.3 磷吸附實驗
1)吸附等溫曲線。設置WTS400-4投加量2g·L−1,pH=4,磷酸鹽初始質量濃度分別為10、20、30、40、50、60、70、80和90mg·L−1時,在30、40、50℃3個溫度下,振蕩48h至吸附平衡后,測定溶液中磷酸鹽濃度,計算磷吸附量,并對吸附數據進行Langmuir(式(1))和Freundlich(式(2))等溫吸附模型擬合。

式中:qe為平衡吸附量,mg·g−1;qm為最大吸附量,mg·g−1;Ce為平衡濃度,mg·L−1;KL為Langmuir吸附常數,L·mg−1;KF為Freundlich吸附常數,mg·g−1;n為非均質系數。
2)吸附動力學。磷酸鹽初始質量濃度為20、50和80mg·L−1時,設置吸附劑投加量2g·L−1,調節體系pH=4,在30℃下持續振蕩,分別于5、15、30、60、120、240、360、480、720、1440、2160和2880min時,取水樣測定其中的磷濃度。對吸附數據進行準一級動力學方程(式(3))、準二級動力學方程(式(4))和顆粒內擴散模型方程(式(5))擬合分析。

式中:t為吸附時間,min;qt為t時間的吸附量,mg·g−1;k1為準一級動力學常數,min−1;k2為準二級動力學常數,g·(mg·min)−1;k3為顆粒內擴散反應速率常數;C3為與邊界層厚度相關的常數。
3)吸附熱力學。吉布斯自由能ΔGθ、熵變ΔSθ和焓變ΔHθ這些參數有助于闡明吸附過程的狀態和趨勢,有助于明確吸附特征和機制。根據Freundlich吸附模型擬合得到的參數,可以根據式(6)計算不同溫度下的ΔGθ;根據式(8),以1/T為橫坐標,lnKp為縱坐標作圖,熵變ΔSθ從直線的截距推算,焓變ΔHθ從斜率推算。其中標準壓力平衡常數Kp是計算ΔGθ的關鍵,Kp可通過Freundlich等溫式中的吸附常數計算得到。

式中:ΔGθ為吉布斯自由能,kJ·mol−1;ΔSθ為熵變,kJ·mol−1;ΔHθ為焓變,J·(mol·K)−1;R為氣體常數,8.314J·(mol·K)−1;Kp為標準壓力平衡常數;T為熱力學溫度,K。
4)數據處理。根據上覆水中SRP質量濃度的變化,底泥中磷向上覆水的平均釋放速率通過式(9)計算。

式中:J為平均釋放速率,mg·(m2·d)−1;ct和c0分別為t時刻和初始時刻上覆水磷質量濃度,mg·L−1;V為上覆水體積,L;A為底泥-上覆水界面的面積,m2;t為時間,d。
5)pH的影響。分別取80mg的WTS和WTS400-4,加入到40mL磷質量濃度為20mg·L−1的磷酸二氫鉀溶液中,用0.1mol·L−1 的HCl和NaOH調節溶液pH為2、4、6、7、8和10,在30℃搖床中于150r·min−1振蕩48h,結束后離心分離,經0.45μm濾膜過濾后取上清液測定剩余磷質量濃度,計算對磷的吸附量,每組設置3個平行樣,實驗結果取平均值。吸附劑對磷的平衡吸附量按照式(10)計算。

式中:qe為平衡吸附量,mg·g−1;c0、ce分別為溶液中磷的初始和吸附平衡時的質量濃度,mg·L−1;V為溶液體積,L,m為吸附劑質量,g。
2、結果與討論
2.1 吸附劑的表征
圖1為WTS400-4和WTS的掃描電鏡圖。由圖1可知,原污泥的表面形貌是緊密相連的片層結構,孔隙較少;經熱處理后,表面組織變得粗糙,污泥孔徑增大,內部形成較大的孔隙、結構更松散。這也體現在WTS和WTS400-4的元素分析圖上。圖2為WTS和WTS400-4的EDS能譜圖,表1為WTS和WTS400-4的元素含量。由WTS和WTS400-4干基灰分分別為82.02%和89.5%可知,與WTS相比,WTS400-4的有機物減少且碳含量降低,有效孔徑增大,Fe、Al、Ca等元素含量相對增加。WTS和WTS400-4的元素組成沒有明顯差異,主要元素組成均為C、O、Na、Al、Si、Ca、Fe等,占總比例的85%以上,這與凈水污泥的組成一致。



凈水污泥改性前后的N2吸脫附等溫曲線和孔徑分布分別如圖3(a)和圖3(b)所示。可見,吸附量隨著相對壓力增大而增大,WTS400-4的吸附量顯著高于WTS。材料的N2吸脫附等溫線與Ⅳ型特征相符,說明WTS400-4屬于介孔類材料。改性之后,WTS400-4的比表面積相對WTS(29.39m2·g−1)略有增加至34.22m2·g−1,這使得吸附磷酸鹽的活性位點有所增加;平均孔徑由7.77nm增加到10.5nm,增加了1.35倍,表明WTS400-4可以有效提高污泥的孔隙擴散吸附能力。

2.2 WTS和WTS400-4吸附磷酸鹽前后的XRD分析
WTS和WTS400-4吸附磷酸鹽前后的XRD分析如圖4所示。可見,WTS400-4主要由SiO2和Al2O3等物質組成。其中SiO2占主要成分,2θ分別在21.003°、26.826°、50.373°和60.435°等處出現衍射峰。而在吸附磷酸鹽后的譜圖中出現PO43-的衍射峰,則表明WTS400-4成功吸附了磷酸鹽。

2.3 pH對磷酸鹽吸附的影響
初始pH對WTS400-4和WTS吸附磷酸鹽的影響如圖5所示。可見,WTS400-4對磷的吸附效果明顯優于WTS,且WTS400-4和WTS均在pH為4時達到最大吸附量,分別為7.92、7.1mg·g−1。隨著體系pH升高,WTS400-4和WTS的磷酸鹽吸附量均呈現先升高后下降的趨勢,這種趨勢可能是受吸附劑表面電荷性質及吸附質存在形式的影響。零電荷點(pHpzc)指吸附劑表面靜電荷為0時溶液的pH,采用ZHU等的方法測定了WTS400-4和WTS的零電荷點(pHpzc)分別為8.91和8.2。當溶液pH小于吸附劑的零電荷點(pHpzc)時,吸附劑表面呈正電性,能以靜電引力吸附溶液中的陰離子,因此擁有較高零電荷點(pHpzc)的WTS400-4可以在更廣的pH范圍內呈現正電性,從而更加有利于通過靜電引力吸附磷酸鹽。當溶液pH大于吸附劑零電荷點(pHpzc)時,吸附劑表面呈負電性,從而與磷酸根離子產生靜電斥力,抑制了WTS400-4吸附磷酸鹽。WTS400-4吸附磷酸鹽后溶液pH由初始的2、4、6、7、8、10分別變為5.68、7.1、7.58、7.79、8.17、10.09。可見,達到吸附平衡后溶液pH呈現上升趨勢,表明溶液中OH−增多,推測是因為磷酸鹽與WTS400-4表面的OH−發生配體交換所致,磷酸鹽通過配體交換被吸附。

2.4 吸附等溫線模型及熱力學分析
吸附等溫線反映在一定溫度下達到吸附平衡時,吸附劑中吸附質濃度與溶液濃度之間的關系。分別在吸附溫度為30、40、50℃時,使用Langmuir和Freundlich等溫模型方程對實驗數據進行擬合,其結果如圖6所示。在3種不同溫度下,WTS400-4對磷酸鹽的吸附量均隨著初始磷質量濃度的增加呈先增加后趨于平衡趨勢。吸附等溫曲線的擬合參數如表2所示,Freundlich模型顯示了較高的相關系數、其R2為0.92~0.95,因此,Freundlich模型更適用于描述WTS400-4吸附磷酸鹽的過程。Freundlich模型中,n為與吸附強度有關的常數,n值越大,吸附劑對吸附質的親和能力越強,越有利于吸附。一般情況下,當n值處于1~10時,吸附容易進行,n<0.5時,則難于吸附。本研究中WTS400-4對磷酸鹽的n為4.2~4.8,均大于1,說明WTS400-4對磷酸鹽的吸附過程易進行。


基于Freundlich模型WTS400-4吸附的ΔGθ、ΔSθ和ΔHθ計算結果見表3,以lnKP對1/T進行線性擬合,得WTS400-4吸附磷酸鹽的相關系數R2值達到0.999。在303.15、313.15和323.15K的條件下,WTS400-4對磷酸鹽吸附過程的ΔGθ值均小于0,表明該吸附反應是自發進行的。此外,隨著溫度的升高,ΔGθ值呈現遞減的趨勢,說明升高溫度可以提高該吸附反應的自發特性,有利于WTS400-4對磷酸鹽吸附,且也說明該反應是一個吸熱反應。由表3可知,該吸附過程ΔHθ>0,則進一步表明此反應是吸熱反應。該吸附過程ΔSθ>0,表明該吸附過程的無序性增大,WTS400-4吸附磷酸鹽增加了固-液界面上物質的混亂度,ΔHθ、ΔSθ的值進一步證明了該吸附過程的自發性。

2.5 吸附動力學分析
本研究分別在磷溶液初始濃度為20、50、80mg·L−1,對實驗數據擬合了準一級動力學和準二級動力學曲線,其結果分別如圖7(a)和圖7(b)所示,其擬合參數如表4所示。擬合結果表明準二級動力學模型(R2>0.99)優于準一級動力學模型,理論平衡吸附量qe,cal接近于實驗平衡吸附量qe,exp,相對誤差小于6.56%。因此、準二級動力學模型可以準確地描述WTS400-4對磷酸鹽的吸附過程。準二級動力學包括液膜擴散、表面吸附和顆粒內擴散、電子共享或轉移等吸附過程。結果表明,WTS400-4對磷酸鹽的主要控制步驟為化學吸附。


為了進一步探究吸附速度的控制步驟,本研究分別在磷溶液初始質量濃度為20、50、80mg·L−1,對實驗數據采用顆粒內擴散模型進行擬合,結果如圖7(c)所示,擬合參數如表5所示。可見,整個擴散過程分為了3個階段:第1階段為液膜擴散過程,k1越大,說明邊界擴散過程越快;第2階段為粒子內擴散過程,k2較小,說明粒子內擴散過程為限速步驟,第3階段則為平衡吸附過程。結合顆粒內擴散模型的特點,表明WTS400-4吸附磷酸鹽過程由顆粒內擴散和液膜擴散聯合控制。

2.6 底泥覆蓋實驗結果分析
1)WTS400-4添加對上覆水pH、DO和SRP的影響。圖8(a)和圖8(b)為底泥培養過程中各體系上覆水pH和DO質量濃度的變化。可見,底泥培養期間各反應體系上覆水中DO質量濃度均為0.2~0.6mg·L−1。這說明各反應體系中底泥和上覆水均處于缺氧狀態。另外,在60d培養周期內,各反應體系上覆水的pH均呈現先上升最后趨于穩定的趨勢,并且4個控制組pH的升高趨勢根據WTS400-4投加量增加也變得越來越大,但各體系pH均位于7.1~8,這說明培養期間底泥的pH環境處于中性范圍,添加WTS400-4并不會大幅的改變底泥的pH環境。

圖8(c)為底泥培養過程中不同底泥投加量體系上覆水SRP質量濃度的變化。可見,空白組上覆水SRP質量濃度由0上升到0.617mg·L−1。這代表在低DO濃度條件下,底泥會持續釋放SRP進入上覆水,當培養時間到60d時,WTS2.5、WTS5和WTS10上覆水SRP質量濃度分別為0.114、0.077、0.072mg·L−1,遠低于空白組上覆水SRP質量濃度。這說明向底泥中添加WTS400-4可以明顯降低底泥中磷向上覆水中釋放的風險;空白組、WTS2.5、WTS5和WTS10的磷平均釋放速率分別為0.989、0.183、0.123、0.115mg·(m2·d)−1;與空白組相比,WTS2.5、WTS5和WTS10的底泥磷平均釋放速率分別下降了81.50%、87.56%、88.37%。這進一步證明WTS400-4添加可以顯著降低底泥磷釋放速率,可有效抑制底泥中磷向上覆水釋放,并且WTS400-4投加量的遞增可以更有利于控制底泥中磷向上覆水中釋放。
2)WTS400-4添加對間隙水中SRP質量濃度的影響。一般底泥中的磷首先會被釋放進入間隙水中,再通過分子擴散、對流等作用穿越底泥-上覆水界面進入上覆水。因此,探究WTS400-4對間隙水中磷含量的影響是很必要的。如圖9所示,當底泥模擬實驗進行至60d時,空白組、WTS2.5、WTS5和WTS10的間隙水SRP質量濃度分別為0.378、0.087、0.074、0.048mg·L−1,相對空白組,WTS2.5、WTS5和WTS10的削減率分別為76.98%、80.42%、87.30%。這證明WTS400-4對磷的優良吸附效果、可以顯著降低間隙水中磷的濃度,從而實現抑制底泥中內源磷向上覆水釋放的目的。

如圖8(b)所示,本研究所有控制組均處于缺氧條件,表明在缺氧條件下底泥中的內源磷會持續向上覆水中釋放。有研究表明,在好氧條件下,底泥中的Fe3+會和磷酸鹽形成磷酸鐵絡合物,致使底泥中磷難以被釋放;而在缺氧條件下,底泥中的Fe3+會轉化為Fe2+,因此被Fe3+所固定的磷會被大量釋放進入間隙水,從而擴散進入上覆水中使得上覆水中磷含量增高。有研究表明,熱改性凈水污泥對水體磷酸鹽具有良好的吸附能力,WTS400-4會直接吸附間隙水中磷酸鹽,使間隙水中SRP質量濃度降低。推測另一個底泥吸附磷的原因可能是凈水污泥經熱改性生成的WTS400-4相比原泥,金屬氧化物含量有所提高及在去除有機質后使得表面粗糙程度較高、孔隙發達且分布廣泛,絮狀程度大大提高,致使WTS400-4有較大的比表面積,并且經熱改性之后的凈水污泥具有氧化性,其與底泥完全混合之后,可對底泥微環境進行改善,從而提升對磷的持留能力。
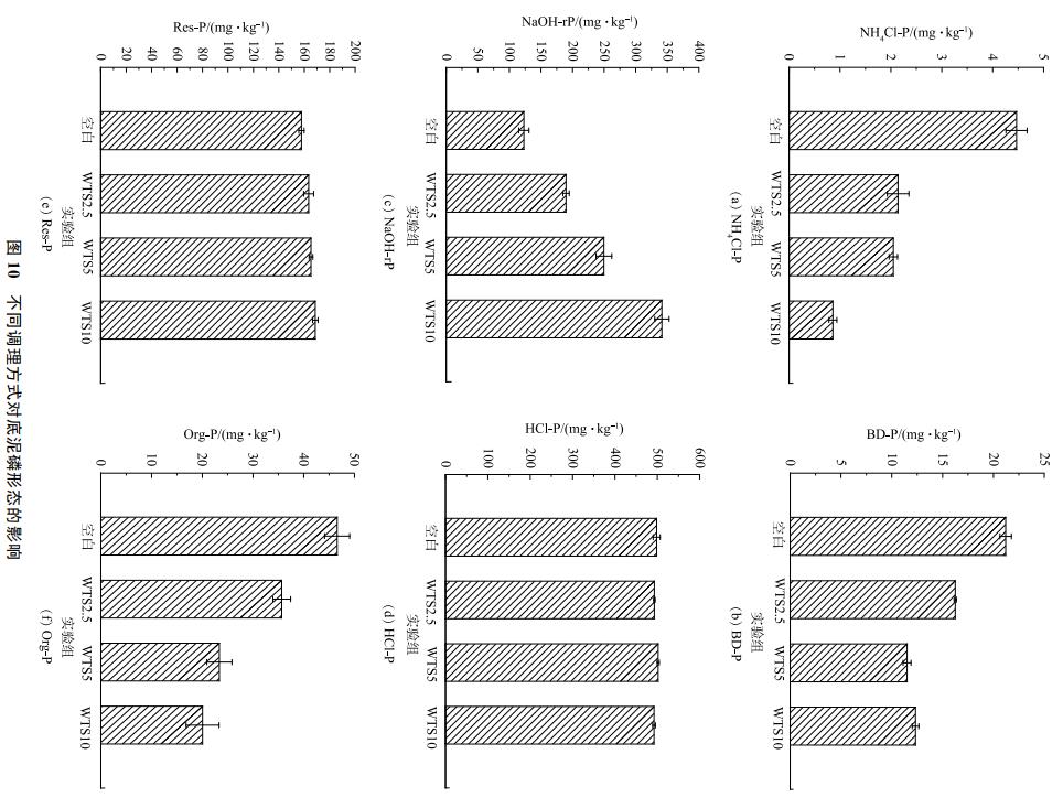
3)WTS400-4添加對底泥磷形態的影響。底泥中磷的存在形式直接關系到底泥中磷向上覆水釋放的風險,因此,探究WTS400-4添加對底泥磷賦存特征的影響是十分必要的。不同控制組NH4Cl-P、BD-P、Org-P、NaOH-rP、HCl-P和Res-P含量如圖10和表6所示。對NH4Cl-P而言,WTS2.5、WTS5和WTS10的含量比空白組分別下降了49.54%、54.05%、79.60%;對BD-P而言,WTS2.5、WTS5和WTS10的含量比空白組分別下降了24.53%、46.01%、42.95%;對Org-P而言,WTS2.5、WTS5和WTS10的含量比空白組分別下降了22.87%、48.57%、57.15%;對NaOH-rP而言,WTS2.5、WTS5和WTS10的含量比空白組分別升高了36.28%、51.12%、63.23%;而HCl-P和Res-P含量基本保持不變。以上結果說明向底泥中添加WTS400-4會顯著影響底泥中磷的賦存形態,NaOH-rP含量上升,而NH4Cl-P、BD-P、Org-P等含量降低。分析其原因主要分為以下4點:一是本實驗采用的凈水污泥來自以鋁鹽和鐵鹽作為混凝劑的自來水廠,所以WTS400-4中含有大量鋁金屬氧化物,其會大量吸附底泥中的磷并且以Al-P(NaOH-rP)的形式存在,加之WTS400-4本身就含有相當比例的Al-P(總磷含量為1400mg·kg−1),因此,造成了底泥中Al-P大幅上升;二是NH4Cl-P(弱吸附態磷、主要指被底泥礦物顆粒吸附的磷)雖然含量低,但當水環境發生變化時極容易被釋放出來進入水體,因此各個反應體系中NH4Cl-P含量都出現了不同程度的下降;三是BD-P(氧化還原敏感態磷、一般指與鐵錳氧化物結合的磷)的穩定性與底泥DO質量濃度條件呈正相關,在缺氧條件下易發生釋磷情況;四是Org-P(有機磷)易被底泥中微生物轉化利用,因此各反應體系中Org-P含量均出現不同程度的降低。而鈣磷(HCl-P)和殘渣態磷(Res-P)均很穩定,不容易被釋放。而朱培穎等研究表明熱改性污泥與底泥混勻相比覆蓋在底泥表面上,其鈣磷(HCl-P)占比最高,覆蓋組Al-P(NaOH-rP)占比更高,這可能和其熱改性污泥投加方式與投加外源磷等條件有關。


進一步分析WTS400-4添加對底泥總磷的影響,如圖11(a)所示,空白組、WTS2.5、WTS5和WTS10總磷含量分別為848.59、899.63、950.79、1022.59mg·kg−1,各控制組總磷含量隨著WTS400-4添加量的增多而增多,之所以出現這種情況是因為本次實驗所用凈水污泥本身含有一定量的磷(總磷含量為1400mg·kg−1),表明WTS400-4的添加不僅會改變底泥中磷的分布形態也會增加底泥中總磷含量,這在實際運用中需要具體考量。NH4Cl-P、BD-P與Org-P被認為是潛在活性磷,圖11(b)為各組中不同形態磷占總磷的比例,空白組、WTS2.5、WTS5和WTS10潛在活性磷比例分別是8.52%、6.02%、3.94%、3.23%,WTS400-4添加量為2.5%、5%、10%的潛在活性磷比例分別較空白組降低了2.50%、4.58%、5.29%;此外,空白組、WTS2.5、WTS5和WTS10的Al-P(NaOH-rP)比例分別為14.23%、21.07%、25.99%、32.12%,WTS400-4添加量為2.5%、5%、10%的Al-P(NaOH-rP)比例分別較空白組升高了6.84%、11.76%、17.89%,可見WTS400-4的添加可以使底泥中不穩定態磷向穩定的Al-P(NaOH-rP)轉化,且其轉化量會隨著WTS400-4的增多而增多,同時底泥內源磷的釋放風險隨著WTS400-4的增多而減小。這說明WTS400-4添加穩定底泥內源磷的主要機制是底泥中潛在活性磷被WTS400-4吸附轉化為穩定的Al-P(NaOH-rP),這也與WANG等的研究一致。

4)WTS400-4添加對生物有效磷的影響。生物有效磷常指底泥中可通過物理、化學和生物過程轉化為藻類而被直接利用的磷。因此,研究WTS400-4添加對生物有效磷的影響有助于探明其控釋底泥磷的機制,也有助于明確WTS400-4投加量對于底泥生物可利用磷的影響。WTS400-4的添加對WSP和Olsen-P2種生物有效磷含量的影響如圖12所示。空白組、WTS2.5、WTS5和WTS10的WSP含量分別為16.83、13.39、6.51、6.24mg·kg−1,WTS2.5、WTS5和WTS10相對于空白組的WSP含量分別下降了20.43%、61.32%、62.93%;空白組、WTS2.5、WTS5和WTS10的Olsen-P含量分別為50.69、33.49、22.12、21.32mg·kg−1,WTS2.5、WTS5和WTS10相對于空白組的Olsen-P含量分別下降了33.93%、56.36%、57.94%。這表明WTS400-4可以有效降低底泥中WSP和Olsen-P2種生物有效磷的含量,并且降低程度與WTS400-4添加成正相關,進一步的證明了WTS400-4添加可以抑制底泥中磷向上覆水釋放。

3、結論
1)對凈水污泥進行熱改性可以顯著提高其對磷酸鹽的吸附性能,WTS400-4不僅可以降低底泥間隙水的磷含量,也會降低底泥間隙水中磷向上覆水的釋放速率。
2)WTS400-4對磷的吸附過程更符合Fruendlich等溫吸附模型;WTS400-4添加一方面會降低底泥中WSP和Olsen-P2種生物有效磷含量,也會使底泥中NH4Cl-P、BD-P和Org-P等不穩定態磷向穩定的NaOH-rP轉化。
3)WTS400-4對底泥中磷的吸附穩定機制一方面是WTS400-4本身會吸附一定的磷,另一方面會促使底泥中不穩定磷向穩定態磷轉化,達到抑制底泥中磷向上覆水釋放的目的。
4)實際運用中需要考察WTS400-4添加對不同性質底泥中潛在活性磷和生物有效磷的穩定效果以及其潛在活性磷含量與生物有效磷削減量與WTS400-4投加量之間的關系。(來源:四川省地質礦產勘查開發局成都水文地質工程地質中心,西南交通大學地球科學與環境工程學院,西南交通大學土木工程學院)



