普通SBR反應池容積除了考慮反應時間外,還需考慮沉淀、排水、閑置過程需要占用的時間。

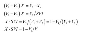
設:V、V1、V2分別為反應器總容積、充水體積和未充水前最低水位時水的體積。
V、V1、V2之間的關系:
(1)
命充水比:
由(1)、(2)得:
上述公式適合單池設計;

式中:
V1——反應器充水體積,m3;
V——反應器總容積,m3;
V2——反應器未充水前最低水位時水的體積,m3。
nc——反應池的個數;
V單——單個反應器總容積,m3;
V1單——單個反應器充水體積,m3
V2單——單個反應器未充水前最低水位時水的體積,m3
m——充水比。
上述公式適合多池設計。
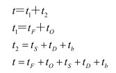
周期時間之間的關系:

式中:
t——一個周期的時間,h;
t反——污水處理所需的反應時間,h;
t總(HRT)——總的水力停留時間,h;
t1——一個周期內的反應時間,h;
t2——一個周期內的非反應時間(沉淀時間和排水時間及待機時間之和),h;
tF——一周期內的進水時間,h;
tO——一周期內的曝氣時間,h;
ts——一周期內的沉淀時間,h;
tD——一周期內的排水時間,h;
tb——一周期內的待機時間,h。
設定反應時間比為反應時間t反與總水力停留時間t總(HRT)的比值,用e表示:
![]()
式中:
e——反應時間比;
t反——污水處理所需的反應時間,h;
t總(HRT)——總的水力停留時間,h。
設定一天內周期數為nZ:
![]()
已知
得:
![]()
反應池(器)總容積:
![]()
由于污水處理所需反應時間t反

式中:
Q——設計污水量,m3/d
So——反應池進水五日生化需氧量BOD5mg/L;
Se——反應池出水五日生化需氧量;BOD5mg/L;
Ls——反應池的五日生化需氧量污泥負荷kgBOD5/(kgMLSS•d);
Lv——反應池的五日生化需氧量容積負荷kgBOD5/(m3•d);
X——反應池內混合液懸浮固體平均濃度MLSS,kg/m3;
Vx——反應器內污泥總量,kg。
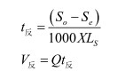
容積負荷:
![]()
則有效反應容積:

已知:Q、So、Se;選定LS、X、SVI、充水比m。
LS——為污泥負荷選定:kgBOD/kgMLSS•d
X——為混合液污泥濃度MLSS選定:3~5kgMLSS/m3
SVI——為污泥體積指數:≤120(mL/g)
設定:SBR沉淀后的污泥濃度為
(Xn≥8.33kg/m3),則:

將(2)代入上式得:

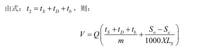
X=3~5kgMLSSm,SVI≤0.12mkg,m≥0.4;選定X、m及對應的SVI;確定每周期內的沉淀時間、排水時間之與待機時間之和t2;每日平均處理水量為Q;每周期進水量為充水量:V1=mV;則周期數:


