咪唑啉類衍生物是一種環境友好型緩蝕劑〔1〕,由于其原料具有易得、制備簡單、低毒、高效等特點,在國內外油氣田、酸清洗、鋼鐵廠冷軋等領域廣泛使用〔2〕。目前使用較多的咪唑啉季銨鹽類緩蝕劑是由有機酸與多胺經過脫水縮合得到油溶性的咪唑啉,再經過烷基化后而得到。咪唑啉季銨鹽是一種吸附膜型緩蝕劑,緩蝕劑分子基團越大,在金屬表面的吸附就越完全,緩蝕劑就越高效。為提高緩蝕率,國內外學者對有機酸和烷基化試劑做了大量的選擇,但隨著緩蝕劑相對分子質量的增大,勢必會影響其水溶性,因此如何在引入取代基增強緩蝕效果的同時又保證其水溶性,仍是一個值得研究的課題。
咪唑啉季銨鹽類緩蝕劑是帶正電的季銨陽離子,吸附在帶負電的金屬表面,長的碳鏈作為疏水基遠離金屬,從而形成一層致密的保護膜,使得氫離子難以接近金屬表面〔3〕。由于—C=C—雙鍵π電子易與金屬原子空軌道發生作用〔4〕,如果把雙鍵引入緩蝕劑分子中,有望進一步增強緩蝕劑分子在金屬表面的吸附,并改善其水溶性。
筆者通過在咪唑啉環N(1)原子支鏈上引入酰胺與雙鍵合成了一種新型咪唑啉季銨鹽,測試其在腐蝕介質中對A3碳鋼的緩蝕效果,探討其緩蝕性能規律,為咪唑啉季銨鹽的開發提供新的思路。
1 試驗部分
1.1 原料及儀器
環烷酸(酸質量分數98.5%,粗酸值198.2 mg/g,平均相對分子質量278.8),自制〔5〕;二乙烯三胺(AR),上海亭新化工試劑廠;二甲苯(AR),上海亭新化工試劑廠;丙烯酸(CP),天津市科密歐化學試劑開發中心;甲苯(AR),天津市富宇精細化工有限公司;氯化芐(AR),天津市大茂化學試劑廠;正丙醇(AR),天津市光復精細化工研究院。
SXHW型電熱套,鞏義市英峪予華儀器廠;D-2型無級恒速攪拌器,鞏義市英峪予華儀器廠;Nicolet 6700型傅立葉紅外光譜儀,美國Thermo Fisher電子公司;光電分析天平,湘儀天平儀器設備有限公司;RCC-Ⅱ型旋轉掛片腐蝕試驗儀,江蘇高郵新郵儀器廠;CHI 760E電化學工作站,上海辰華儀器有限公司。
1.2 合成
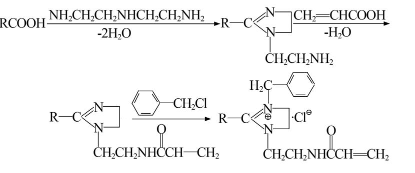
以高純環烷酸和二乙烯三胺為原料,脫水縮合形成咪唑啉中間體〔6〕,然后中間體與丙烯酸按摩爾比1.00∶1.05在140℃左右反應10 h,并以甲苯為攜水劑,得到油溶性的酰胺咪唑啉,再與氯化芐按摩爾比1.00∶1.02反應,并以正丙醇作溶劑,在110~120℃下攪拌反應6 h,即可得到具有水溶性的含雙鍵酰胺咪唑啉季銨鹽(DAQS)〔7〕,結構如圖 1所示(其中R為環烷酸衍生的環烷基)。

圖1 含雙鍵酰胺咪唑啉季銨鹽合成路線
1.3 產物紅外分析
將合成好的DAQS涂在KBr壓片上,采用Nicolet 6700型傅立葉紅外光譜儀進行紅外光譜分析,掃描范圍為400~400 0 cm-1,得到IR譜圖及相關特征吸收峰。
1.4 緩蝕性能測試
1.4.1 掛片失重法
預先將標準A3碳鋼掛片(28 cm2)用砂紙打磨光亮,用乙醇清洗后干燥備用。掛片使用之前先在光電分析天平上稱重,精確到0.000 1 g。
參照GB/T 18175—2000《水處理劑緩蝕性能的測定-旋轉掛片法》,在2 000 mL燒杯中各加入8% HCl、10% H3PO4、10% H2SO4溶液1 300 mL,再分別加入不同劑量的緩蝕劑,同時做空白對照,當溫度達到55℃時,每個燒杯掛入3片掛片,在轉速75 r/min下恒溫運行6 h,掛片經過處理后干燥稱重。根據試驗前后掛片的失重計算腐蝕率與緩蝕率。
1.4.2 電化學法
試驗儀器選用上海辰華CHI 760E電化學工作站,采用三電極體系,工作電極采用Ⅱ型標準碳鋼掛片,測試面積為0.23 cm2,其余地方用環氧樹脂封住;Pt電極為輔助電極;飽和甘汞電極(SCE)為參比電極。試驗介質采用0.2% HCl溶液體系,測試均在室溫下進行。
(1)極化曲線測試。掃描速率為10 mV/s,掃描范圍為 -0.35~ -0.65 mV,測定不同藥劑濃度下的極化曲線。
(2)電化學阻抗(EIS)測試。電化學阻抗測試在開路電位穩定時進行,測量頻率范圍為100 kHz~0.1 Hz,阻抗測量信號振幅為5 mV。用ZView2分析軟件對 EIS 譜進行擬合。
2 結果與討論
2.1 產物紅外光譜及物化性能分析
合成DAQS過程中,其各步驟產物的紅外光譜如圖 2所示。

圖2 各步驟產物的紅外譜圖
由圖 2可見,1 602.89 cm-1處為咪唑啉環特征吸收峰,且后續產物中一直存在; 1 553.02 cm-1與1 651.94 cm-1為酰胺特征峰,而且酰胺咪唑啉的酸值低于4 mg/g,說明酰胺化反應成功;咪唑啉季銨鹽698.67 cm-1處較強的吸收峰為單取代苯環的環外振動特征吸收峰〔8〕,而且最終產品的胺值〔7〕接近于0,這說明季銨化反應較為完全。
與實驗室自制對應的不含雙鍵的酰胺咪唑啉季銨鹽(AQS)進行溶解性對比,AQS結構式如圖 3所示。DAQS的溶解度明顯較AQS大些,DAQS、AQS在水中的溶解度分別為0.67、0.11 g,二者分子質量相近,由此說明N(1)原子支鏈上的雙鍵能夠增大溶解性。

圖3 咪唑啉季銨鹽產品結構
2.2 酸溶液中的對比評價
為說明雙鍵和酰胺對緩蝕性能的影響,參照GB/T 18175—2000《水處理劑緩蝕性能的測定——旋轉掛片法》的評價方法,對DAQS、AQS和不含酰胺的咪唑啉季銨鹽(QS)(結構如圖 3所示)在酸溶液中的緩蝕率進行對比評價,其結果如表 1所示。

由表 1可見,3種藥劑在酸溶液中均具有較好的緩蝕效果,DAQS和AQS的緩蝕率明顯高于QS,這說明酰胺能夠增強緩蝕效果;DAQS的緩蝕效果又優于AQS,則說明雙鍵的引入亦能夠增強緩蝕效果。
2.3 DAQS在腐蝕介質中的掛片評價
2.3.1 8%HCl溶液中的掛片評價
考察DAQS在8% HCl溶液體系中的掛片評價,結果表明:在8% HCl體系中,少量的DAQS即可對碳鋼的腐蝕起到很大的抑制作用,當藥劑用量僅為10 mg/L時,緩蝕率即可達到78.61%,且緩蝕率隨藥劑劑量的增加而緩慢增加,之后在很大的濃度范圍內緩蝕率趨于穩定。當藥劑劑量達到1 000 mg/L時,緩蝕率達到88.62%。
2.3.2 10% H3PO4溶液中的掛片評價
考察DAQS在10% H3PO4溶液體系中的掛片評價,結果表明:在10% H3PO4體系中,藥劑用量在 30 mg/L之前緩蝕率急劇增加,之后緩蝕率緩慢增加,當藥劑劑量達到1 000 mg/L時,緩蝕率達到90.17%。
2.3.3 10% H2SO4溶液中的掛片評價
考察DAQS在10% H2SO4溶液體系中的掛片評價,結果表明:在10% H2SO4體系中,緩蝕劑用量低于50 mg/L時,隨著劑量的增加,緩蝕率明顯增加,之后隨緩蝕劑用量增加,緩蝕率增加幅度有所減緩,當用量達到500 mg/L時,緩蝕效果達到最好,此時的緩蝕率達到89.23%,之后隨著藥劑用量的增加,緩蝕率稍有下降。這可能是由于金屬表面被藥劑完全覆蓋后,緩蝕劑分子之間的位阻效應使得緩蝕劑分子在溶液中發生團聚,導致緩蝕率有所降低〔9〕。
2.4 極化曲線測試
常溫下碳鋼掛片在0.2% HCl體系中的動電位掃描極化曲線如圖 4所示。

圖4 DAQS在0.2%HCl溶液體系中的極化曲線
由圖 4可見,藥劑加入后腐蝕反應的陰極和陽極過程都得到了一定程度的抑制。加入藥劑后,腐蝕電位向負方向移動,而且藥劑的用量越大,腐蝕電位越負,這說明所合成的藥劑對碳鋼的陰極有較好的阻化作用,因此DAQS在0.2% HCl溶液體系中是屬于以陰極型為主的混合型緩蝕劑〔10〕。
2.5 電化學阻抗分析
阻抗譜等效電路如圖 5所示,其中Rs為溶液電阻,Rp為電荷轉移電阻,CPE為雙電層電容。

圖5 交流阻抗譜等效電路
常溫下DAQS在0.2%鹽酸溶液中的電化學阻抗譜(Nyquist)如圖 6所示。

圖6 DAQS在0.2%HCl溶液中的Nyquist圖譜
由圖 6可見,加藥劑前后,Nyquist形狀相似,高頻區均為第一象限的半圓弧,加入藥劑之后,容抗弧明顯增大,容抗弧對應電荷轉移電阻Rp,隨著藥劑劑量越來越大,容抗弧越來越大,Rp越大,電極反應越不容易進行,即緩蝕率越高。相應的電化學參數如表 2所示。

由表 2可見,電化學阻抗分析得到的緩蝕率隨藥劑濃度的變化順序關系與掛片試驗結果比較吻合。但其緩蝕率并沒有掛片試驗的高,這可能是由于所采用的鹽酸濃度較低、測試溫度較低、藥劑劑量較小的原故。具體參見http://www.dongaorq.cn更多相關技術文檔。
3 結論
(1)以高純環烷酸、二乙烯三胺、丙烯酸、氯化芐為原料,通過三步有機反應合成了一種具有良好水溶性的含雙鍵酰胺咪唑啉季銨鹽(DAQS),由紅外表征和一些物化指標可判斷反應較為完全。
(2)在強酸性溶液中,該緩蝕劑對碳鋼掛片具有良好的緩蝕效果,且緩蝕率隨藥劑濃度的增加而增大。緩蝕率的增加表現為先快后慢,后趨于穩定或稍有下降。
(3)0.2%HCl溶液中的極化曲線結果表明,DAQS是以陰極型為主的混合型緩蝕劑。
(4)交流阻抗譜所得出的緩蝕率隨藥劑濃度變化的順序關系與掛片試驗結果相一致。


