1 引言
在厭氧生物制氫系統中,乙醇型發酵和丁酸型發酵是兩種典型的產氫發酵類型,而不同的發酵類型能夠產生不同的代謝產物,其氫氣產率也存在著差異,連續流厭氧發酵生物制氫的研究中,絕大部分的國外研究者基本將反應器的發酵類型控制在丁酸型發酵上,并獲得了較高的產氫效能.而乙醇型發酵產氫類型自1995年被發現以來,只有少數幾個研究團隊進行了研究和報道,同時,任南琪,李建政和邢德峰等的研究結果均顯示,乙醇型發酵比丁酸型發酵獲得的產氫效率高,乙醇型發酵是厭氧生物制氫反應器的最佳適宜控制類型.然而,值得注意的是,他們的研究均僅比較了反應器在單一有機負荷條件下乙醇型發酵和丁酸型發酵的產氫能力.而對于不同的厭氧產酸發酵產氫微生物而言,其生長代謝能力在不同的有機負荷條件存在差異,厭氧制氫系統內的微生物菌群會隨著有機負荷的改變發生演替,形成不同的頂級微生物群落結構,進而表現出不同的產氫效能.所以,當乙醇型發酵反應器在某一有機負荷下具有最佳的產氫效能時,丁酸型發酵未必也能同時在該有機負荷下表現出較好的產氫性能.因此,有必要研究在不同有機負荷條件下乙醇型發酵和丁酸型發酵產氫性能,以對乙醇型、丁酸型發酵產氫能力進行系統的對比分析,以探索不同發酵類型呈現最佳產氫性能時的適宜控制參數.
HRT不僅能影響反應器的水力流態和傳質效率,還能影響系統內活性污泥的活性,所以,HRT作為有機負荷的重要調控手段,對厭氧反應器的控制至關重要.HRT的縮短不僅會將代時較長的發酵產酸或產氫微生物從系統中淘汰出去,而影響系統運行性能,同時還會對系統造成負荷沖擊,甚至引起系統內厭氧活性污泥流失,導致厭氧系統崩潰.為此,本文以連續流厭氧生物制氫反應器的運行為基礎,系統比較了ACR丁酸型和乙醇型發酵制氫系統在不同HRT條件下的運行特性,以為制氫反應器運行控制提供技術參數.
2 材料和方法
2.1 實驗裝置
研究采用的ACR參照發明專利“厭氧接觸式產酸發酵制氫反應器”(ZL 200710144460.1)設計(李建政和昌盛,2008),制氫反應器的有效反應容積為10.8 L(圖 1).由有機玻璃制成,采用電熱絲纏繞在反應器外壁上的方式加熱保溫,并通過溫控儀將反應系統的溫度控制在(35±1)℃.
圖1 ACR發酵制氫反應器示意圖
2.2 廢水與接種污泥
實驗廢水采用甜菜制糖廠的廢糖蜜加水稀釋而成.在配制廢水時,投加一定量的農用復合肥,使廢水中的 C、N、P 的質量比保持在(200~500)∶ 5 ∶ 1左右,以保證污泥在生長過程中對 N、P 營養元素的需求.糖蜜、復合肥的組分以及具體的投加比例與前期研究相同(昌盛,2012).
2.3 反應系統的運行控制
接種污泥取自城市污水廠的剩余污泥,經淘洗、過濾后分別接種于兩套相同的ACR系統中,污泥接種量均為3.58 g MLVSS · L-1.兩套反應器除了系統控制的pH條件存在差異外,其它運行條件完全相同.反應器在進水COD 5000 mg · L-1,HRT為12 h下啟動,通過向進水中添加小蘇打的方式分別將兩套制氫系統的pH控制在4.5~5.0、5.5~6.0間,經過運行并達穩定后,再分階段將HRT由12 h逐步縮短到8 h、6 h、4 h,以考察HRT對ACR發酵產氫系統的影響.在每次調節系統HRT前,系統均穩定運行10 d左右.
2.4 分析項目與方法
pH、堿度(alkalinity)、COD和生物量(MLSS和MLVSS)等常規監測項目采用國家標準方法測定(American Public Health Association,1998).配置的糖蜜廢水和反應器出水中的含糖量采用苯酚-硫酸法測定(昌盛,2012 ).包括乙酸、丙酸、丁酸在內的揮發性有機酸(VFAs)以及乙醇的檢測采用氣相色譜儀(SP-6890,山東魯南瑞虹化工儀器有限公司)測定(昌盛等,2015),發酵氣組分采用另一臺氣相色譜儀(SP-6801T,山東魯南瑞虹化工儀器有限公司)分析(昌盛等,2015).
3 實驗結果與討論
3.1 HRT對乙醇型發酵制氫系統的影響
3.1.1 產氫速率
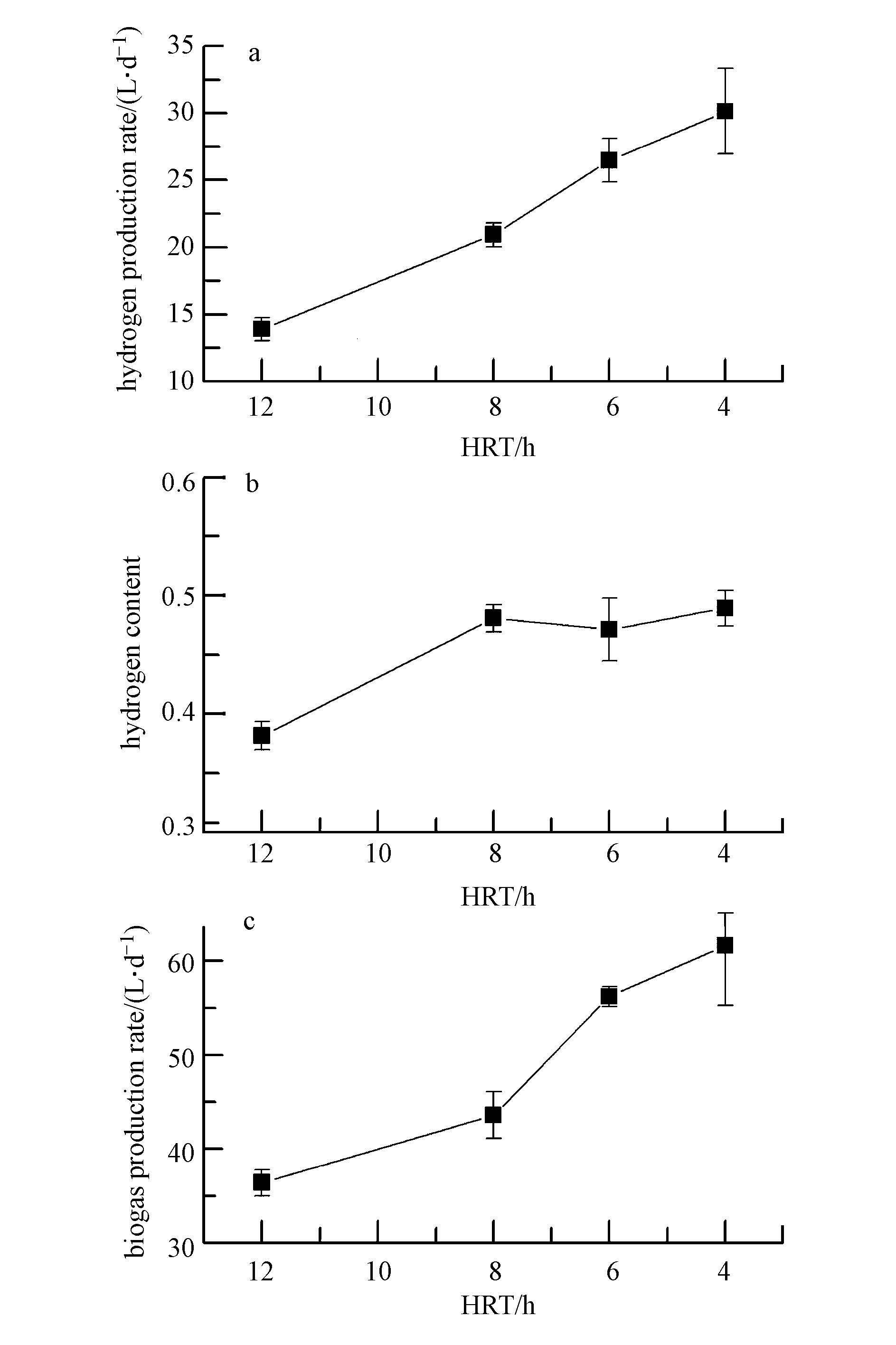
圖 2展現了ACR乙醇型發酵反應器在不同HRT下的產氣情況.結果顯示,隨著HRT的減小,系統的產氣速率和產氫速率均呈現上升趨勢.HRT的縮短使得反應器內微生物在單位時間內可利用的營養基質增加,其代謝產物的絕對質量也增加,因而,反應器的產氣速率和產氫速率隨HRT的縮短而上升.當HRT由12 h逐步縮短到8 h、6 h、4 h時,ACR乙醇型發酵制氫系統的產氣速率分別為36.4、43.6、56.2、61.6 L · d-1,產氫速率分別為13.9、20.9、26.5、30.1 L · d-1,而氫氣含量僅由HRT=12 h的38.1%上升到HRT=8 h時 的48.1%后,不再隨HRT的進一步降低而增加,在HRT介于4 h~8 h間,氫氣含量基本保持在47.1%~48.9%的水平(圖 2).以上的變化特征說明HRT由12 h縮短到8 h時,反應器內的微生物群落可能發生了一定演替,各產氫代謝途徑所占份額發生變化.因反應器在首次遭受沖擊負荷(HRT由12 h調為8 h的階段)后,反應器內存活的微生物種群活性較強,反應器的抗沖擊負荷能力得到增強,系統內的微生物群落結構也較為穩定,所以,在HRT由8 h縮短到4 h的運行過程中,反應器的氫氣含量基本不變.以上結果表明,ACR乙醇型發酵系統在HRT=4 h時,表現出最大的產氫速率.而根據任南琪等的研究(Ren et al., 2006),一體化CSTR發酵制氫反應器在HRT=4 h時,系統污泥流失,反應器難以穩定運行,這表明ACR發酵制氫反應工藝較CSTR具有更好的應用前景.
圖2 ACR乙醇型發酵在不同HRT下的產氣情況
3.1.2 液相發酵產物
因不同的產酸發酵產氫微生物的生長動力學特征存在差異,厭氧反應器內微生物群落和代謝特性將能隨著HRT變化而發生改變,其液相發酵產物各組分含量勢必也隨之改變.Wu和Li等的研究結果也都證明,HRT的改變引發了系統內的微生物種群演替,進而影響了系統的產氫性能(Wu et al., 2008; Li et al., 2010).本文的研究也得到了類似的結果.ACR發酵制氫系統在不同HRT下,反應器出水中的溶解性代謝產物組分也存在著差異(圖 3).由圖 3可見,當HRT由12 h縮短到6 h時,乙醇含量的增幅尤為明顯,其濃度由814.8 mg · L-1增加到1643.1 mg · L-1,但當HRT進一步降低到4 h時,乙醇濃度反而有所降低,為1312.1 mg · L-1,而乙酸的含量由HRT為12 h的338.7 mg · L-1增加到HRT為8 h的643.5 mg · L-1后,其增幅較弱.分析認為,這是由于反應器的pH控制在4.5~5.0間,乙醇型發酵產氫微生物活性較強,并且HRT的縮短對活性較強的乙醇型發酵產氫微生物進行了篩選,其代謝活性較強的產氫微生物在制氫系統內得以保留下來,因而其乙醇含量隨HRT縮短而增加,而當HRT縮短到4 h時,系統可能因對底物轉化率有所減小而導致乙醇含量下降.如前所述,反應器pH始終控制在4.5~5.0間,而產丁酸厭氧微生物和產丙酸微生物的適宜pH分別為5.5~6.5、4.0~4.5(Ren et al., 2007a; Li et al., 2009),所以,在連續流反應器的初始運行階段(HRT=12 h)期間,產丁酸厭氧發酵菌屬和產丙酸發酵菌屬就已受到抑制,活性較差的產酸發酵菌群已隨出水而被淘汰,在系統內存活下來的產丁酸厭氧發酵菌屬和產丙酸發酵菌屬活性較強,其受HRT影響可能較小,所以,反應器在HRT為4~12 h的運行階段,丙酸、丁酸的濃度基本未隨HRT的縮短而發生變化.在反應器的整個運行階段,丙酸和丁酸濃度分別保持在152.3~185.9 mg · L-1和76.8~134.7 mg · L-1的水(圖 3).以上實驗結果表明,ACR乙醇型發酵系統在HRT由12 h分步降為4 h的運行過程中,乙醇、乙酸含量總體呈現上升趨勢,而丙酸、丁酸基本保持不變.在HRT分別為12 h、8 h、6 h、4 h時,反應器出水中乙醇和乙酸的質量分數之和分別為78.2%、87.7%、90.6%、88.5%,即乙醇型發酵特征隨著HRT的縮短而更為明顯,這進一步說明,隨著HRT的減小,ACR系統中的產乙醇發酵產氫種群在厭氧菌群中的豐度增加,因此,ACR發酵系統在較低的HRT下表現出更好的產氫性能(圖 2).
圖3 ACR乙醇型發酵在不同HRT下溶解性發酵產物
3.2 HRT對丁酸型發酵制氫系統的影響
3.2.1 產氫速率
與乙醇型發酵特性不同,ACR丁酸型發酵系統除產氣速率外,氫氣含量和產氫速率沒有隨HRT的縮短而呈遞增趨勢(圖 4).相反,ACR系統僅當HRT由12 h縮短到8 h時,產氫速率有所提高外(即產氫速率由9.0 L · d-1增加到9.3 L · d-1),在HRT為4~8 h的運行期間,ACR發酵制氫系統的產氫速率隨HRT的降低而呈遞減趨勢,其氫氣含量也由HRT=8 h的36.8%逐級下降到HRT=4 h的24.9%(圖 4).這表明對于ACR丁酸型發酵系統而言,隨著HRT的減小,系統中代時較長的產氫微生物被淘汰出去,導致其利用基質進行發酵產氫的能力下降.ACR丁酸型發酵系統在HRT由8 h縮短為6 h時,系統的產氣速率由25.4 L · d-1增加到29.0 L · d-1,但其產氫速率卻由8.5 L · d-1減小為7.2 L · d-1(圖 4).以上結果表明,HRT對ACR丁酸型發酵和乙醇型發酵產氫系統的影響不同,ACR丁酸型發酵系統在HRT=8 h時,表現出最大的產氫速率.
圖4 ACR丁酸型發酵在不同HRT下的產氣情況
3.2.2 液相發酵產物
ACR丁酸型發酵系統在不同HRT下液相末端發酵產物的變化情況如圖 5所示.由圖可見,當HRT由12 h降低到8 h時,液相末端發酵產物各組分含量基本不變,這說明這一HRT的變化未對反應器內的微生物群落結構產生顯著影響,因而其氣體組分也保持不變(圖 4).但在HRT由8 h逐級降低到4 h的過程中,液相發酵產物中的丁酸呈遞減趨勢,而丙酸呈逐漸上升的變化規律,其中丁酸濃度由HRT=8 h的1116.9 mg · L-1減小到HRT=4 h的803.8 mg · L-1,丙酸濃度由HRT=8 h的211.6 mg · L-1增加到HRT=4 h的416.9 mg · L-1(圖 5).根據各類產氫微生物的發酵代謝途徑,丙酸型發酵菌屬的代謝不僅不伴隨氫氣的產生,反而會消耗氫氣(Lee and Rittmann, 2009).所以,ACR丁酸型發酵系統在HRT為4~8 h的運行期間,其氫氣含量隨HRT的降低而減小,同時,反應器因丁酸型產氫發酵微生物活性可能隨HRT減小而降低,其產氫速率也隨之下降(圖 4).以上結果表明,與乙醇型發酵系統相似,雖然HRT的改變也能引起ACR丁酸型發酵制氫系統內的微生物群落結構發生改變,但HRT的縮短使得ACR丁酸型發酵反應器內的產丁酸產氫菌群的活性或數量降低,所以,ACR丁酸型發酵系統在較高的HRT(8 h)下表現出更好的產氫性能(圖 4).
圖5 ACR丁酸型發酵在不同HRT下溶解性發酵產物
3.3 不同HRT下系統內的生物量
ACR乙醇型和丁酸型發酵系統在不同HRT下生物量的變化情況如圖 6所示.由圖可見,在各HRT條件下,乙醇型發酵系統中的生物量始終高于丁酸型發酵系統,并且隨著HRT的縮短,生物量的變化規律不同.對于乙醇型發酵系統而言,當HRT處于6~12 h間運行時,系統生物量隨HRT的減小而增加,分析認為這是因為HRT的縮短,導致底物營養的增加,為微生物的繁殖提供了必要條件.當HRT縮短到4 h時,系統生物量有微弱降低趨勢,ACR乙醇型發酵制氫系統生物量由HRT=6 h的9.6 g · L-1降低到9.2 g · L-1(圖 6),這可能是因部分產氫微生物代時較長,從系統中淘汰出去所致.然而,對于丁酸型發酵系統而言,當HRT降低到8 h后,系統內的生物量隨著HRT的減小而降低,這表明丁酸型發酵系統中的發酵產酸產氫微生物的增殖能力較產乙醇產氫微生物菌群的要弱,當系統HRT進一步縮短時,其被淘汰出系統,在HRT=4 h時,ACR丁酸型發酵系統中的生物量僅為3.47 g · L-1,進而使得發酵產物中丁酸的含量隨HRT減小而降低(圖 6).以上研究結果表明,在ACR發酵型反應器內,產乙醇產氫微生物的活性要高于產丁酸產氫菌屬,其能在較低的HRT下存活,進而維持制氫反應系統的高效運行(圖 2~圖 5).
圖6 不同HRT下ACR乙醇型和丁酸型發酵系統中的生物量
3.4 乙醇型和丁酸型發酵產氫能力對比
根據上述實驗結果,ACR乙醇型發酵制氫系統在HRT=4 h時,系統產氫速率最大,而ACR丁酸型發酵系統在HRT=8 h時,獲得的產氫速率最大.為了系統比較ACR乙醇型發酵和丁酸型發酵產氫系統在各HRT條件下的產氫效能,對系統單位基質的氫氣轉化率和污泥比產氫速率也進行了比較(表 1).從反應器各階段對廢水中糖類的轉化率來看,當ACR系統在HRT控制為12 h、8 h時,乙醇型發酵型和丁酸型發酵對糖類的轉化率相當,分別均保持在94.8%、95%和87.5%、86.3%的水平,但當系統HRT進一步縮小到6 h、4 h時,乙醇型發酵和丁酸型發酵系統對糖的轉化率分別下降到85.6%、72.9%和66.0%、60.7%,這表明,在較短HRT下,丁酸型發酵系統相對乙醇型發酵系統而言,其對底物的利用率要小得多,分析認為這是由于產丁酸發酵產氫微生物的代謝和增殖活性相對產乙醇發酵產氫微生物較弱(圖 3和圖 5),HRT的縮短使得丁酸型發酵系統內的生物量下降(圖 6)所致.另外,因HRT的縮短能將系統內活性較低的微生物淘汰出去,在較小的HRT 控制條件下,反應器內存活的微生物活性和代謝能力強,因而ACR乙醇型發酵和丁酸型發酵反應器內的污泥比產氫速率均呈現出隨HRT的縮小而升高的變化規律.但值得注意的是,乙醇型發酵系統中污泥的比產氫速率要高于丁酸型發酵系統,在HRT為12 h、8 h、6 h、4 h時,ACR乙醇型發酵和丁酸型發酵系統的污泥比產氫速率分別為7.8、10.9、11.4、13.5 mmol · g-1 · d-1和6.8、7.1、7.8、8.6 mmol · g-1 · d-1.同時,從基質的氫氣轉化率來看,乙醇型發酵系統也要優于丁酸型發酵系統,乙醇型發酵和丁酸型發酵在HRT為12 h、8 h、6 h、4 h的的單位基質氫氣轉化率分別為1.9、2.2、2.1、1.8 mol ·(mol-glucose)-1和1.3、1.0、1.0、0.5 mol ·(mol-glucose)-1,乙醇型發酵的單位基質氫氣轉化率是丁酸型發酵的1.5~2.2倍.綜合上述反應器在不同HRT條件下的產氫速率、糖降解率、污泥比產氫活性以及基質的氫氣轉化率來看,ACR乙醇型發酵制氫系統的產氫性能明顯優于丁酸型發酵系統.當以糖蜜廢水為底物,在進水COD為5000 mg · L-1的條件下,在取得較好的底物利用(大于80%)的基礎上,ACR乙醇型和丁酸發酵制氫系統的HRT宜分別控制在6 h和8 h的水平.具體參見污水寶商城資料或http://www.dongaorq.cn更多相關技術文檔。
表1 對比分析不同HRT下ACR乙醇型和丁酸型發酵系統產氫性能
4 結論
1)以糖蜜廢水為基質,保持進水COD為5000 mg · L-1不變,在HRT由12 h依次降低到8 h、6 h、4 h的運行過程中,ACR乙醇型發酵系統的產氫效能始終優于丁酸型發酵制氫系統,乙醇型發酵系統的單位基質氫氣轉化率約為丁酸型發酵的1.5~2.2倍.
2)對于乙醇型發酵系統而言,HRT的縮短導致乙醇型發酵產氫菌屬得到不斷富集,使得系統在HRT=4 h時,系統的產氫速率達到30.1 L · d-1,污泥的比產氫速率高達13.5 mmol · g-1 · d-1.
3)對于丁酸型發酵系統而言,HRT的縮短使得系統內生物量減小,導致底物的轉化率明顯下降,反應器在HRT為8 h時,產氫速率最佳,為9.3 L · d-1.


