生豬養殖帶來的COD和氮磷污染問題已經受到廣泛重視[1,2],其中COD和氨氮減排已被列入國家環保部的“十二五”總量減排計劃. 同時現代畜牧養殖業中為了促生長或防治疾病,在飼喂時使用的重金屬和抗生素等外源化學品污染問題逐步顯現. 這些外源化學品被生物體利用的較少,85%以上通過尿液和糞便排出體外進入環境,威脅生態系統安全和人類健康,引起廣泛關注[3, 4, 5, 6]. 我國目前執行的是《畜禽養殖業污染物排放標準》(GB 18596-2001),對畜禽養殖業排水中重金屬和抗生素的排放濃度均沒有規定. 環境保護部近期委托中國環境科學研究院對排放標準進行了修訂,2011年3月公開的《畜禽養殖業水污染物排放標準》(征求意見稿)中規定Cu和Zn的排放限值分別為0.5 mg ·L-1和1.5 mg ·L-1. Cu和Zn排放限值的提出,充分顯示生豬養殖業中外源化學品的污染已開始引起政府的重視和社會的關注.
雖然針對養豬廢水中外源化學品污染現狀的研究數據還比較有限,但既有文獻報道足以充分表明,我國養豬廢水中存在著比較嚴重的重金屬和抗生素污染. 潘尋等[7]對山東省21家規模化豬場夏、 冬兩季共126個豬糞樣品及18個配合飼料樣品中多種重金屬(Cr、 Cu、 Zn、 As、 Cd和Pb)的含量進行了檢測,發現豬糞中Cu、 Zn、 Cr、 As、 Cd、 Pb的平均檢出值分別為472.8、 1908.6、 12.3、 36.5、 0.9、 2.9 mg ·kg-1. 不同豬群糞便中重金屬含量存在一定差異,Cu、 Zn、 Cd在小豬糞便中檢出濃度最高,而Cr、 As分別在種豬和育肥豬的糞便中檢出濃度最高. 陳永山等[8]對苕溪流域某規模化養豬場排放的典型廢水進行獸用抗生素污染檢測,發現廢水中四環素類抗生素污染最為嚴重,最高單體污染濃度可達13.7 μg ·L-1,磺胺嘧啶、 磺胺甲唑和磺胺二甲嘧啶等3種磺胺類物質也有一定的檢出量,但以磺胺二甲嘧啶較為突出,最高檢出量為0.675 μg ·L-1; 氧氟沙星以及紅霉素和羅紅霉素等喹諾酮和大環內酯類抗生素除了原水有較低的檢出量,其它廢水均未檢出. Luo等[9]對海河流域4類(四環素類、 磺胺類、 大環內酯類、 喹諾酮類)抗生素來源進行了調查,發現這4類抗生素在豬場廢水中都有檢出,濃度在0.12~0.47μg ·L-1之間,高于污水處理廠出水10~100倍不等; 磺胺二甲基嘧啶在所有的豬場廢水中都有檢出,濃度最高達到了47 μg ·L-1.
養豬沼液中外源污染物和傳統污染物(COD、 N、 P)的污染水平及其變化特征,直接關系到沼液處理技術的選擇、 排水的生態安全程度以及可資源化利用水平,因此有必要針對各地區具體情況綜合考察、 系統研究. 嘉興市是長三角地區重要的生豬養殖基地,2012年全市生豬存欄量為280萬頭(嘉興市統計信息網,http://www. jxstats. gov. cn),按照每頭豬每年糞便廢水排放量為1520.6 kg[10]計算,預計每年產生養豬廢水超過400萬t. 本研究以嘉興市南湖區年出欄量在5000頭以上的規模化養豬場為對象,在測試沼液常規水質指標的同時,對沼液中常見的6種重金屬元素和10種抗生素的污染情況進行了調查研究,以期為沼液的達標排放、 無害化處理以及有效管理提供基礎數據支持.
1 材料與方法
1.1 采集樣品
在嘉興市生豬養殖密集的南湖區選擇10家年出欄量為5000頭以上的規模化養豬場進行取樣調查. 南湖區年出欄量5000頭以上的規模化養殖場共17家,本次抽查數占總數的60%,具有代表性.
分別于2012年10月30日(秋季)、 2012年12月26日(冬季)、 2013年4月15日(春季)和2013年8月5日(夏季)同時采集各豬場水樣. 在厭氧發酵罐排放沼液的前期、 中期和后期這3個階段,分別于厭氧發酵罐排出口采集沼液1 L混合后放入冰箱冷藏,3 d內完成各項水質分析.
1.2 測定方法
常規水質檢測方法參照文獻[11]. 溶解性水質指標通過把水樣以轉速3000 r ·min-1,離心8 min后取上清液測試獲得.
銅、 鋅、 鉻、 鎳、 鎘、 鉛經微波消解(上海新儀微波消解化學科技有限公司,型號MDS-10)后用火焰原子吸收儀(安捷倫科技有限公司,型號240AA Duo)測定[11].
抗生素檢測方法參照文獻[12]. 采用Waters e2695型液相色譜儀,配Waters TQ Detector 型串聯三重四級桿質譜. 四環素(Tetracycline,TC)、 土霉素(Oxytetracycline,OTC)、 金霉素(Chlortetracycline,CTC)、 諾氟沙星(Norfloxacin,NOR)、 恩諾沙星(Enrofloxacin,ENR)、 環丙沙星(Ciprofloxacin,CIP)、 泰樂菌素(Tylosin,TYL)、 羅紅霉素(Roxithromycin,RTM)標準品購自德國Dr. Ehrenstorfer GmbH公司,磺胺甲 唑(Sulfamethoxazole,SMX)和磺胺二甲嘧啶(Sulfadimidine,SMD)標準品購自中國藥品生物制品檢定所. 甲醇、 乙腈、 甲酸為色譜純; EDTA 鈉鹽、 鹽酸等試劑為分析純; 試驗用水為Milli-Q水.
2 結果與討論
2.1 常規水質
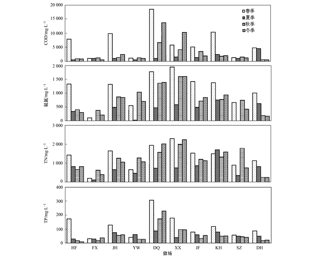
春夏秋冬4次采樣中10家豬場沼液COD、氨氮、TN和TP的濃度變化如圖 1所示. 豬場沼液水質隨采樣時間變化很大,總體來說,夏季采樣組的豬場沼液水質濃度普遍較低,春季采樣組的濃度普遍較高.

圖 1 春夏秋冬4次采樣中10家規模化豬場COD、 氨氮、 TN和TP的濃度變化情況
春季采樣組中,10家豬場沼液的COD濃度為1008~18479 mg ·L-1,DQ豬場濃度最高,FX豬場最低,二者相差了18倍. COD濃度小于2000 mg ·L-1以及在2000~6000 mg ·L-1之間的豬場各有3家,COD濃度高于6000 mg ·L-1的豬場有4家. TN濃度為205~2288 mg ·L-1,最大值與最小值相差了11倍; 氨氮濃度為119~1936 mg ·L-1,占TN濃度的84%±11%. 10家豬場中,有7家豬場的氨氮和TN濃度均在1000 mg ·L-1以上. TP濃度為32.6~306 mg ·L-1,其中TP濃度低于60 mg ·L-1和在60~150 mg ·L-1之間的各有3家,高于150 mg ·L-1的有4家.
夏季采樣組的沼液濃度普遍較低. COD濃度在524~4478 mg ·L-1之間,平均值僅為春季采樣組的四分之一,其中COD濃度低于2000 mg ·L-1的豬場有8家,高于2000 mg ·L-1的豬場只有2家. TN和氨氮的濃度分別為116~1703 mg ·L-1和22.2~758 mg ·L-1,其中TN和氨氮濃度都低于1000 mg ·L-1的有9家; TP濃度為30~87.5 mg ·L-1,其中濃度低于60 mg ·L-1的豬場占一半.
夏季采樣組豬場沼液濃度較低的原因主要有兩點:①夏季沼液池溫度高,發酵完全,有機物去除效果較好; ②夏季天氣炎熱,給豬喂水和清洗豬舍的次數增多,導致整體用水量增加,沼液中污染物稀釋程度較大.
秋季采樣組中豬場沼液的COD濃度在593~6728 mg ·L-1之間,有7家豬場COD濃度低于2000 mg ·L-1,2家豬場在2000~6000 mg ·L-1之間,僅有1家豬場在6000 mg ·L-1以上; TN和氨氮的濃度分別為253~1978 mg ·L-1和195~1596 mg ·L-1,其中7家豬場TN濃度在1000 mg ·L-1以上,氨氮濃度在1000 mg ·L-1以上的僅有3家; TP濃度為18.5~174 mg ·L-1,有8家豬場TP濃度低于60 mg ·L-1,1家豬場在150 mg ·L-1以上.
冬季采樣組中豬場沼液COD濃度在557~13713 mg ·L-1之間,平均值僅次于春季采樣組,有6家豬場COD濃度低于2000 mg ·L-1,2家豬場在6000 mg ·L-1以上; TN和氨氮的濃度分別為247~2235 mg ·L-1和175~1598 mg ·L-1,二者的平均值和秋季采樣組差別不大,有6家豬場TN濃度在1000 mg ·L-1以上,氨氮濃度在1000 mg ·L-1以上的僅有2家; TP濃度為10.7~230 mg ·L-1,有7家豬場TP濃度低于60 mg ·L-1,1家豬場在150 mg ·L-1以上.
眾所周知沼液中碳氮比嚴重失衡,其中氮的含量相對較高,導致生物脫氮困難. 本研究中春季采樣組的沼液COD/TN為1.5~9.5,比值低于5.0的豬場占60%,大于8.0的豬場僅占10%. 夏季采樣組的沼液中由于COD濃度降低,導致COD/TN也有所降低,在0.7~9.1之間,其中80%豬場的COD/TN低于3.0. 秋季和冬季采樣組的沼液COD/TN分別在0.8~4.3和1.0~6.8之間,平均值分別為1.9和2.4,明顯低于春季和夏季采樣組. 與文獻[13]中TN完全去除時所需碳氮比應為8~10相比,本研究所有沼液檢體的碳氮比都相對較低,因此可推測,要使沼液經過處理達到《畜禽養殖業水污染物排放標準》(征求意見稿)中規定的TN 排放限值40 mg ·L-1,難度較大.
雖然同屬于大規模生豬養殖企業,但各養豬場之間的沼液水質差異很大,其中DQ和XX兩家豬場沼液COD、 氨氮、 TN和TP的濃度要明顯高于其它8家豬場. 這與各養豬戶的用水量有關,也與飼養管理水平、 清糞方式(水泡糞、 水沖式、 干清糞)和清糞頻率有關,另外沼氣池的運行效率也會有很大影響.
徐秀銀[14]、 楊朝暉等[15]對江蘇、 上海等地區沼液調查結果表明,COD濃度集中在960~2800 mg ·L-1,TP濃度集中在20~50 mg ·L-1,與本次調查結果基本一致; 而同屬于長三角地區的江蘇、 上海TN濃度集中在300~900 mg ·L-1,略低于本次調查結果的1000~2300 mg ·L-1. 因此在嘉興地區設計沼液處理方案時應充分考慮當地的沼液水質實際情況,針對高總氮、 高氨氮的特點,重點開發以短程硝化反硝化、 厭氧氨氧化等技術特點的工藝,提高系統的脫氮能力.
從溶解性濃度占比來看,溶解性COD占總COD的30%~97%,平均71%; 溶解性TN占總TN的50%~97%,平均81%; 溶解性TP占總TP的13%~96%,平均62%. 懸浮物對沼液水質影響比較大. 為了控制后續生物處理成本,建議在對沼液進行處理時強化一級處理,盡量去除懸浮物帶來的污染負荷,減輕后續生物處理負荷. 2.2 重金屬
不同季節采樣組各規模化豬場沼液重金屬的含量見表 1. 銅和鋅是沼液中含量最高的兩種重金屬,占所有豬場沼液(除了秋季HF、 FX、 JH和YW豬場沼液)重金屬濃度的97%±3%. 鉛的含量僅次于銅和鋅. 鎘、 鎳和鉻在多數豬場沼液中均有檢出,但是三者的濃度很低.

表 1 不同季節采樣組10家豬場沼液重金屬濃度的變化情況1)
春季采樣組中豬場沼液的重金屬檢出濃度最高,6種重金屬在10家豬場沼液中都有檢出. 銅和鋅的濃度分別為0.82~8.8 mg ·L-1和1.4~39.8 mg ·L-1,所有豬場均超過《畜禽養殖業水污染物排放標準》(征求意見稿)中規定的銅(0.5 mg ·L-1)和鋅(1.5 mg ·L-1)排放限值. 鉛濃度在0.15~0.35 mg ·L-1之間,鎳和鉻的濃度相差不大,分別為0.07~0.15 mg ·L-1和0.04~0.21 mg ·L-1,6種重金屬中鎘的濃度最低,為0.01~0.03 mg ·L-1. 關于豬場豬糞中重金屬含量的報道中,Cu和Zn的含量也是最高的.
秋季采樣組的沼液中6種重金屬也多有檢出. 銅和鋅的濃度分別為0.24~3.6 mg ·L-1和 0.32~13.0 mg ·L-1,其中超過《畜禽養殖業水污染物排放標準》(征求意見稿)中銅鋅排放限值的豬場占8家. 有6家豬場檢出重金屬鉛,且濃度要高于春季沼液組,剩余4家豬場沒有檢出. 鎘、 鎳和鉻濃度的平均值分別為0.01、 0.04和0.05 mg ·L-1,低于春季采樣組豬場沼液平均值.
夏季和冬季采樣組中沼液的重金屬含量較低. 兩個季節沼液中銅和鋅的含量相似,平均值比春季低60%; 鉛和鎘在夏季采樣的各沼液中都沒有檢出,鎳和鉻在冬季沼液中除DQ豬場外也沒有檢出,夏季沼液中鎳和鉻含量以及冬季沼液中鉛和鎘含量都低于春季采樣組.
沼液中檢出的重金屬主要來源于飼料添加,豬飼料中通常添加重金屬促進豬的生長[16]. 本調查結果顯示沼液中銅、 鋅含量均高于排放要求,且鉛、 鎘、 鎳和鉻也有不同程度檢出,若不經有效處理,該廢水排入水體后會導致水質惡化. 因此,在沼液資源化利用以及處理過程中應充分重視重金屬污染問題.
現有沼液處理多采用生化處理方法. 有研究表明,當進水銅、 鋅等含量小于10 mg ·L-1時,對生物處理系統的有機物去除效率影響較小,但硝化功能會受到嚴重影響,且受影響后很難恢復,另外污泥沉淀性變差,增加出水濁度[17]. 因此在設計沼液處理系統時,應充分考慮重金屬在生物處理系統中的蓄積及其對微生物活性的影響,特別需要關注在生物處理前端的物化處理方法對重金屬進行去除. 2.3 抗生素
不同季節采樣組豬場沼液抗生素含量見表 2. 春季采樣組的豬場沼液各種抗生素總含量在45~1090 μg ·L-1之間,均值為368 μg ·L-1,秋季采樣組的各種抗生素總含量在10.1~351 μg ·L-1之間,均值為98.5 μg ·L-1,冬季采樣組的各種抗生素總含量在28.0~717 μg ·L-1之間,均值為187 μg ·L-1. 其中春季采樣組的沼液抗生素含量最高,均值分別是秋季和冬季采樣組的3.7倍和2.0倍.

表 2 不同季節采樣組10家豬場沼液抗生素含量的變化情況 1)
10種抗生素在不同季節采樣的各豬場沼液中均有檢出,說明這些抗生素在豬場內全年普遍使用. 然而各豬場之間的沼液抗生素含量差別很大,抗生素總濃度最高者分別約為最低者的24倍(春季組)、 35倍(秋季組)和25倍(冬季組). KH豬場沼液10種抗生素總含量是所有豬場中最高的,3個季節中FX豬場相對最低. 本調查的10家豬場位于同一城市,所以需要預防的畜禽疾病也基本一樣,然而不同豬場之間抗生素含量差別很大,說明有些豬場對某些抗生素過度使用.
所有豬場沼液中四環素類(四環素、 土霉素、 金霉素)含量最高,占總抗生素濃度的91%. 不同季節采樣組所有豬場沼液中四環素、 土霉素和金霉素均有檢出,并且濃度也很高,10家豬場在春、 秋、 冬這3個采樣組的濃度分別為39.8~1064、 8.15~345和26.4~713 μg ·L-1,其中又以土霉素所占比例最高,占四環素類物質的75%±22%,四環素和金霉素所占比例較少,但是濃度也很高.
沼液中磺胺類(磺胺二甲嘧啶、 磺胺甲 唑)物質在春、 秋、 冬這3次采樣中的濃度范圍分別為未檢出~59.7、 0.008~3.50和0.008~1.66 μg ·L-1. 春季采樣組中10家豬場的沼液磺胺類濃度平均值高出秋季和冬季采樣組數十倍,并且不同豬場之間差別也很大,高達成百上千倍.
春、 秋、 冬這3個采樣組10家豬場沼液中喹諾酮類(恩諾沙星、 環丙沙星、 諾氟沙星)含量分別為0.75~12.9、 0.29~7.98和0.25~12.1 μg ·L-1,其中春季豬場含量的平均值最高. 與磺胺類物質相比,不同豬場之間喹諾酮類含量的時間變化較小.
春、 秋、 冬這3個采樣組10家豬場沼液(除春季YW豬場以外)中泰樂菌素均有檢出,其中春季采樣組的檢出濃度要高于秋季和冬季數十至數百倍. 羅紅霉素在春季沼液中只有1家豬場檢出,秋季有3家,冬季全部都有檢出,含量不等.
到目前為止,我國還未對水環境中的抗生素做出限定. 但是本調查顯示豬場沼液抗生素的污染已相當嚴重,被調研的10個豬場沼液中,10種抗生素總濃度的最低值為10.1 μg ·L-1,最高值則達到了1090 μg ·L-1,檢測數值遠高于歐盟的水環境抗生素闕值(10 ng ·L-1)[18]. 動植物長期接觸含抗生素的廢水會產生耐藥基因,并水平轉移到土壤、 農田、 地下水中的非耐藥菌中,增加耐藥菌數量,并通過土壤農作物和水生生物傳播,促進耐藥菌的傳播,降低抗生素的藥效. 因此要給予沼液中抗生素污染問題足夠的重視,除了制定相關政策合理使用抗生素以外,對抗生素污染狀況、 高效去除技術以及生態風險評估等需要進一步進行研究.
含抗生素的廢水目前常采用生化法、 高級氧化法、 膜處理工藝等進行處理. 其中傳統生化法對抗生素的去除效率較低[19,20],平均在60%左右,而對磺胺類抗生素幾乎沒有去除作用; 高級氧化法對抗生素的去除效率在30%~90%之間,但處理成本高,實際應用存在一定的局限性[21,22]; 膜處理工藝是基于膜的高效截留原理,并不能夠達到真正的抗生素去除,需要尋求更好的方法[23,24]. 因此,如何在抗生素高效去除的同時降低成本是將來研究的重點. 具體參見污水寶商城資料或http://www.dongaorq.cn更多相關技術文檔。
3 結論
(1)本研究每個季節只采集到一次樣品,因此各季節采樣組之間的差異尚不足以揭示水質的季節性變化. 然而,研究結果在一定程度上揭示出嘉興地區沼液抗生素和重金屬的污染水平,以及時間變化較大的特征. 同時顯示,各規模化養豬場之間沼液的常規水質指標和外源化學品污染水平都差異較大. 在設計沼液處理工藝時需要充分考慮到沼液水質的差異和波動. 沼液中懸浮物對水質影響大,需要在生物處理之前強化一級處理.
(2)各規模化豬場外源化學品污染相當嚴重,6種重金屬(銅、 鋅、 鉛、 鎘、 鎳和鉻)和10種常用抗生素在豬場沼液中均有檢出. 沼液中銅和鋅濃度最高,超過《畜禽養殖業水污染物排放標準》(征求意見稿)中規定的銅(0.5 mg ·L-1)和鋅(1.5 mg ·L-1)排放限值; 各規模化豬場抗生素含量總和在10.1~1090 μg ·L-1之間. 因此,在沼液資源化利用或處理過程中外源化學品污染問題要給予足夠的重視. 亟需開發抗生素的低成本高效去除處理方法.(來源及作者:常州大學環境與安全工程學院 衛丹、萬梅、劉銳、王根榮、張汛達 )


