由于抗生素過量使用造成的細菌耐藥性增強以及耐藥機制多樣化正對當前整個世界范圍內的公共健康造成深刻影響. 我國部分地表水源和地下水源已受到抗生素和抗生素耐藥基因的污染,受抗生素污染水環境已成為微生物獲得和傳播耐藥性的理想場所. 水環境中的抗生素、 耐藥基因和攜帶耐藥基因的微生物能穿透傳統凈水工藝進入配水系統. 人類飲水健康面臨巨大風險.
有研究表明,抗生素耐藥基因(antibiotic resistance genes,ARGs)可以在環境中持續性殘留,并且可通過基因水平轉移機制與質粒、 轉座子、 整合子等可移動基因元件結合,在種間甚至屬間進行遷移. 因此,ARGs在環境中的遷移、 轉化和傳播比抗生素殘留本身對生態環境的危害更大. 自2006年Pruden等[15]將ARGs作為一種新型的環境污染物提出后,國內外有關其在各種介質中傳播和污染的研究與報道日益增多. Xi等研究表明在飲用水中可以檢測到耐藥細菌(antibiotic resistant bacteria,ARB)及耐藥基因的存在,可能對人類及動物健康具有潛在風險. Farkas等研究表明整合子家族存在于凈水工藝中,且生物膜可作為其傳播媒介. Xu等通過高通量q-PCR技術使用285種不同耐藥基因檢測浙江某凈水工藝對耐藥基因的影響,結果表明耐藥基因在凈水工藝中大量存在并受凈水工藝影響. 梁惜梅等研究結果表明int1相對含量和ARGs總量之間存在顯著相關性(P<0.05),int1在ARGs的水平傳播中起著非常重要的作用. 本實驗室研究表明在經過生物活性炭濾池后,可培養微生物的耐藥率會出現明顯增強. 目前,有關凈水工藝過程中耐藥細菌的多重耐藥性研究甚少. 本研究選取氨芐青霉素(Amp)、 卡那霉素(Kan)、 利福平(Rif)、 氯霉素(Cm)以及鏈霉素(Str)這5種抗生素,通過分離鑒定的可培養微生物的多重耐藥性,探究凈水工藝對可培養微生物多重耐藥能力的影響. 通過檢測3種整合子(Integron)、 9種轉座子(Transposon)絕對含量隨工藝變化規律,探討凈水工藝對基因水平轉移元件的影響和耐藥基因在凈水工藝過程中發生基因水平轉移的可能機制.
1 材料與方法
1.1 樣品的采集與處理
以上海黃浦江水源某水廠供水系統為研究對象,其凈水工藝包括原水、 絮凝沉淀、 臭氧生物活性炭過濾、 砂濾、 氯胺消毒. 在原水、 每個單元工藝后及用戶龍頭處設置采樣點,使用已滅菌的容器進行取樣,取樣體積為10 L,樣品采集時間為2015年5月.
1.2 微生物的分離、 純化與鑒定
將采集水樣使用 0.22μm醋酸纖維素膜進行抽濾濃縮,然后將濾膜剪碎投入 50 mL離心管中,使用10 mL PBS緩沖液進行洗脫,渦旋振蕩 15 min.
(1) 使用普通無抗生素R2A平板,接種涂布上述振蕩后水樣1 mL,28℃培養7 d.
(2) 根據細菌菌落是否凸起、 是否透明、 邊緣是否光滑等菌落特征挑取優勢菌株,多次劃線后獲得純培養.
(3) 純化后的菌株置于滅菌的R2A液體培養基中培養,28℃,200 r·min-1于恒溫振蕩培養箱中培養14 h. 在其處于對數生長期時,取菌液5 mL,使用天根基因組DNA提取試劑盒提取基因組DNA,使用細菌通用引物27F和1492R擴增16S rRNA基因序列. PCR擴增體系為50μL,其中10×Taq buffer 5μL,dNTPs 4μL,引物各1.5μL(10 mmol·L-1),Taq酶 1.0μL,模版100 ng左右,超純水補齊. 擴增長度為1 400 bp. PCR反應條件為95℃: 5 min;95℃:30 s; 56℃:30 s; 72℃: 1.5 min,共30個循環,72℃延伸10 min. PCR擴增產物送至測序公司檢測,將測序結果在NCBI-Blast 數據庫中進行同源比對.
1.3 飲用水凈水工藝中細菌耐藥性分析
分別使用Amp、 Kan、 Cm、 Rif、 Str這5種抗生素配制濃度為1、 2、 5、 8、 10和15μg·mL-1的R2A培養基,倒平板,常溫下過夜. 分別接種涂布飲用水中分離純化菌株和振蕩后的水樣,28℃培養7d. 根據培養結果分析微生物多重耐藥性及飲用水凈水工藝對選擇菌株耐藥性隨抗生素濃度變化.
1.4 環境樣品中微生物基因組DNA提取
將上述濃縮后的濾膜,使用SDS法提取環境樣品中微生物基因組DNA,使用NanoDrop 2000(NanoDrop Technologies,Wilmington,DE) 檢測DNA含量及純度(A260/A280值在1.8~2.0之間). 使用1%瓊脂糖凝膠電泳進行DNA質量檢測,DNA條帶單一無明顯拖尾,表明用該方法提取的DNA 純度較高.
1.5 實時熒光定量PCR對3種整合子及9種轉座子進行檢測
采用SmartChip Real-time PCR System為高通量熒光定量反應平臺. 熒光定量試劑為 FastStart Universal SYBR Green Master (Roche),PCR反應體系為10 μL: Roche FastStart Universal SYBR Green Master(ROX) 5 μL,超純水3μL,DNA模版 0.5μL,引物各0.75μL(1 mmol·L-1). 實驗所選取的引物為3種整合子基因(intI1、 int2、 int1)和9種轉座子基因(tnpA-ISEcp1B、 tnpA-IS61、 tnpA-IS62、 tnpA-IS63、 tnpA-IS64、 tnpA-IS4、 tnpA-IS21、 IS613、 Tp614),檢測可移動基因元件在不同工藝單元水樣中的濃度.
定量PCR反應程序為: 95℃預變性10 min,95℃變性30 s,60℃退火延伸30 s,40個循環,程序自動升溫進行溶解曲線分析.
2 結果與討論
2.1 凈水工藝對飲用水中可培養微生物多樣性影響
本研究從凈水工藝中分離純化出 48株菌,綜合分析菌落菌絲形態特征以及 16S rRNA基因測序結果,在經過比對分析后,各菌株鑒定結果如表 1.
表 1 凈水工藝中菌株分離鑒定結果
其中在不同的凈水工藝單元中可培養微生物種類如圖 1所示. 經分離鑒定得到26株菌,屬于16個屬. 其中芽孢桿菌屬(Bacillus sp.)、 噬纖維菌屬(Arcicella rosea sp.)、 鞘酯菌屬(Sphingomonas sp.)在所有的樣品中都能檢測到,也反映這3個屬的細菌對凈水工藝過程較強的適應性. 在原水中可培養微生物最高為11種,其中共球藻屬(Trebouxia aggregata sp.)、 鼠球菌屬(Muricoccus sp.)、 黃桿菌屬(Flavobacterium sp.)只在原水中分離得到,也說明它們受到凈水工藝過程各種氧化工藝的影響顯著。

圖 1 凈水工藝對飲用水中可培養微生物多樣性的影響
經過絮凝沉淀之后,共分離得到6種菌,其中彎曲桿菌(Flectobacillus roses sp.)只在沉淀后能夠分離到. 而經過活性炭濾池之后可培養微生物的種類又增多為9種. 當在砂濾池投加氯胺消毒劑后,可培養微生物的種類為芽孢桿菌屬(Bacillus sp.)、 鞘酯菌屬(Sphingomonas sp.)和噬纖維菌屬(Arcicella rosea sp.). 在分離鑒定的可培養微生物中,鞘酯菌屬(Sphingomonas sp.)被證明具有較強的抗氧化能力,而芽孢桿菌屬的蠟狀芽孢桿菌(Bacillus cereus)是一種在自然界中廣泛分布的好氧、 中溫、 產芽孢的桿菌,是食品和化妝品中常見的污染菌. 在經過氯消毒之后,微生物的存活可能與某些抗氧化機制有關,如具有硫修飾的DNA可作為一種抗氧化劑保護DNA. 從出廠水到用戶龍頭水可培養微生物的多樣性增加.
2.2 飲用水中可培養微生物的耐藥性分析
對龍頭水中可培養微生物的多重耐藥性進行檢測,如圖 2. 結果表明,芽孢桿菌屬(Bacillus sp.)的耐藥能力最強. 隨著5種不同抗生素濃度由1 μg·mL-1增加到15μg·mL-1,芽孢桿菌屬(Bacillus sp.)對5種抗生素始終都具有抗性. 噬纖維菌屬(Arcicella rosea sp.)在1~8μg·mL-1的抗生素濃度條件下可抗5種抗生素,當抗生素濃度增加到10 μg·mL-1時,對Rif不再具有耐藥能力. 鞘酯菌屬(Sphingomonas sp.)在1~2 μg·mL-1抗生素濃度條件下可以抗5種抗生素,在15μg·mL-1時只對Amp具有抗性. 結合圖 1,可以發現,這3個種屬的細菌抗氧化能力也較強. 已有研究表明抗氯能力強的微生物耐藥能力也較強. 除了上述3種細菌,其它種類細菌的耐藥能力隨著抗生素濃度的增加不斷減弱.

圖 2 不同耐藥細菌的多重耐藥能力
2.3 凈水工藝過程對飲用水中耐藥細菌耐藥能力的影響
根據圖 1和圖 2,選擇凈水工藝中普遍存在且耐藥性較強的3種菌株[芽孢桿菌屬(Bacillus sp.)、 噬纖維菌屬(Arcicella rosea sp.)、 鞘酯菌屬(Sphingomonas sp.)]研究凈水工藝對飲用水中耐藥細菌耐藥能力的影響. 由圖 3所示,飲用水凈水工藝對 芽孢桿菌屬(Bacillus sp.)、 噬纖維菌屬(Arcicella rosea sp.)、 鞘酯菌屬(Sphingomonas sp.)這3個屬的細菌耐藥能力有明顯影響. 隨著抗生素濃度提高,對3種耐藥細菌的選擇壓力逐漸增強,3種細菌的多重耐藥能力先后受到凈水工藝的影響. 但這種影響都有一個共同特點: 每當經過原水、 預臭氧和沉淀工藝多重耐藥能力受到影響后,經過生物活性炭濾池,3種細菌的多重耐藥能力又得到恢復或增強. 說明生物活性炭濾池對細菌多重耐藥能力具有恢復或促進作用. 分析認為,這主要是由于生物活性炭表面生長大量微生物,可能通過基因水平轉移等途徑對細菌的多重耐藥能力產生影響. 同時,由圖 3還可以發現,在高濃度抗生素水平條件下,3種微生物的多重耐藥能力在龍頭水中相對于其它凈水工藝單元更強,說明管網輸配系統對龍頭水樣品中耐藥細菌的多重耐藥能力恢復具有明顯的增強作用. 分析認為,應當是管網輸配系統內壁表面普遍存在的生物膜發揮了重要作用. 管網生物膜較大的微生物密度可促進耐藥基因的水平轉移,使耐藥細菌的多重耐藥能力得以部分恢復.

圖 3 凈水工藝對飲用水中耐藥細菌耐藥能力的影響
2.4 凈水工藝過程對飲用水中可移動基因元件的影響
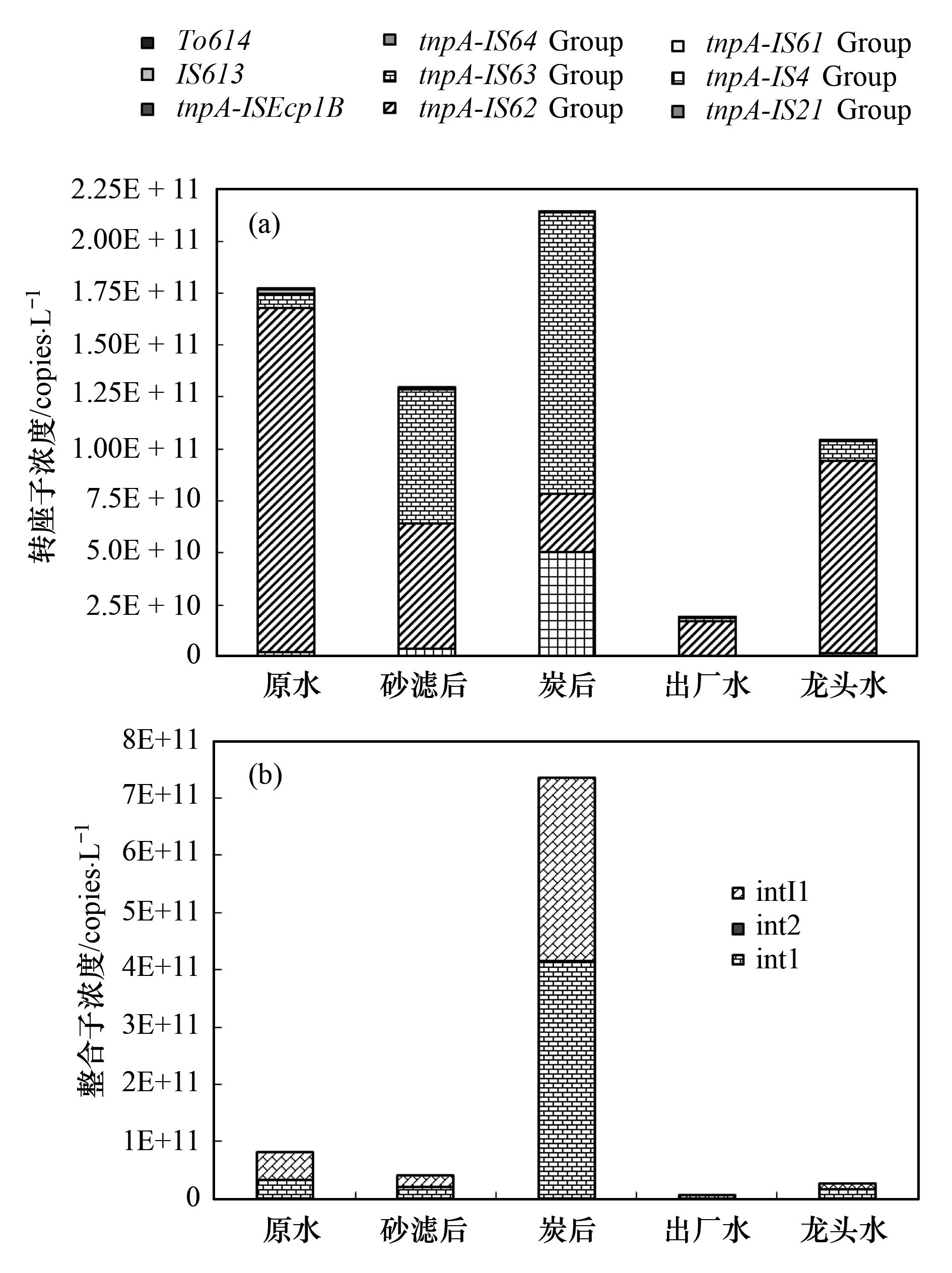
圖 4為可移動基因元件(轉座子和整合子基因)在凈水工藝中的絕對濃度變化規律. 本研究中各工藝單元出水的轉座子絕對濃度變化規律為: 生物活性炭濾池>原水>砂濾后>龍頭水>水廠出水[圖 4(a)],經過生物活性炭濾池后可移動基因元件絕對濃度有明顯增加,由1.29E+11 copies·L-1增加至2.14E+11 copies·L-1,其絕對濃度超過原水. 整合子絕對濃度變化規律為: 生物活性炭>原水>砂濾后>龍頭水>水廠出水[圖 4(b)],經過生物活性炭濾池后可移動基因元件絕對濃度有明顯增加,由4.00E+10 copies·L-1增加至7.35E+11 copies·L-1.
圖 4 凈水工藝過程中可移動基因元件的變化規律
(a)轉座子的絕對濃度;(b)整合子的絕對濃度

已有研究證實四環素類耐藥基因,如tetM、 tetW、 tetQ等經常在轉座子和其它種類可移動基因元件中檢測到. Sull基因也被發現位于IncN質粒中,這些IncN質粒同樣在臨床樣品中發現,被認為與人類健康有一定的關聯性. 這些與可移動基因元件結合起來的耐藥基因可以通過基因水平轉移機制在種間傳播,造成耐藥基因的擴散和在不同環境中的持久性,同時也可能導致這些耐藥基因在凈水工藝過程中的行為特征變化.
整合子和轉座子基因可促使耐藥基因在細菌種內和種間發生水平轉移. 由于生物活性炭表面微生物大量生長,將進一步加速耐藥基因在生物活性炭濾池生物膜上的傳播. 大量可移動基因元件的增加對增強飲用水中微生物的多重耐藥能力發揮了重要作用. 由圖 4(a)也可發現,在龍頭水樣品中,轉座子水平有明顯升高. 有報道指出,低濃度的氯消毒劑水平可能會促進可移動基因元件在微生物間的水平轉移. 而在管網輸配過程中,由于余氯濃度衰減,到用戶末端時余氯水平常常較低,也為圖 3龍頭水中微生物多重耐藥能力增強提供了理論支持. 無論是細菌體內的耐藥基因還是可移動基因元件殘留,攝入人體后均可能與人體腸道菌群相互作用,將抗性片段傳播至人體腸道細菌,給人體健康帶來危害.具體參見污水寶商城資料或http://www.dongaorq.cn更多相關技術文檔。
3 結論
(1) 在所研究供水系統中共分離鑒定得到 26株菌,分屬 16個屬,其中 芽孢桿菌屬(Bacillus sp.)、 噬纖維菌屬(Arcicella rosea sp.)、 鞘酯菌屬(Sphingomonas sp.)在整個供水系統中都有檢出.
(2) 在相同抗生素濃度條件下,分離獲得的 芽孢桿菌屬(Bacillus sp.)、 噬纖維菌屬(Arcicella rosea sp.)、 鞘酯菌屬(Sphingomonas sp.)的多重耐藥能力強于其它分離菌.在5種抗生素濃度高達15 μg·mL-1時,芽孢桿菌屬(Bacillus sp.)對5種抗生素都有抗性. 除上述3種菌外,其它種類細菌的耐藥能力隨著抗生素濃度的增加不斷減弱.
(3) 經過生物活性炭濾池和管網輸配后,3種分離細菌的多重耐藥能力會增強,同時,可移動基因元件的絕對濃度明顯增高. 生物活性炭表面和輸配管網內壁高密度的微生物對耐藥基因在微生物之間進行水平轉移有促進作用,對飲用水中微生物的多重耐藥性有重要影響.



