生物脫氮工藝由于運行成本低,二次污染小,已逐漸被應用于處理各種含氮廢水。 而作為生物脫氮新技術之一的好氧反硝化,較之傳統缺氧反硝化技術,不僅效率更高,而且適應性強,好氧反硝化反應過程中不受氧氣抑制從而容易調控,并且使硝化反硝化同時發生在一個反應器內,可減少占地面積和建設成本,其反硝化速率比傳統的缺氧條件下高,因此得到廣泛的關注。 國內外學者研究發現 Alcaligenes、Pseudomonas、Bacillus等菌屬具有好氧反硝化性能。
有機碳源作為電子供體,在異養反硝化菌代謝過程中發揮重要作用。 在污水生物處理中,碳源費用占設備運行和管理成本一半以上,因此,尋找高效低成本的碳源可以在一定程度上解決碳源成本高的問題。 很多學者研究利用農林業有機物質作為反硝化碳源如報紙、麥稈、木、棉花、玉米芯等;但是有些農林業有機物如棉花有更高的經濟價值,因此使用農林業廢棄物作為反硝化碳(源能在脫氮同時實現廢物資源化,更具實際意義。
農林業廢棄物是由纖維素、半纖維素、木質素組成,其復雜的三維結構阻礙微生物接近可生物利用的纖維素和半纖維素部分。 另外,使用農林業廢棄物作固體碳源存在著許多問題亟待解決,如釋碳速度無法控制,反硝化效率較低,需要較長的水力停留時間,容易造成填料堵塞等。 若先將農林業有機物進行預處理,從三維結構中分離纖維素和半纖維素,并進一步分解出易被微生物利用的可溶性有機物質,以水解液作碳源從而提高反硝化效率,解決固體碳源所存在的問題。
目前很多工業廢水如石油行業含氮廢水都超過 45 ℃,煙氣經過除塵和脫硫后溫度也一般在 50 ~ 60℃,而當前的相關生物技術的最佳溫度均為常溫,高溫生物脫氮技術具有切實的工程應用價值。
本研究首次利用玉米葉作為好氧反硝化碳源,這是基于玉米葉的碳水化合物含量高而木質素含量低,因而有利于微生物利用。 先對玉米葉進行水解預處理,使水解液中富含可生物降解的可溶性有機碳,反硝化效率可進一步提高。 本研究考察以玉米葉水解液為碳源,螯臺球菌( Chelatococcus daeguensis)TAD1 在 50 ℃下的好氧反硝化效率。
1 材料與方法
1. 1 實驗菌株
螯臺球菌(Chelatococcus. daeguensis) TAD1 是本實驗室前期從廣州瑞明電廠生物滴濾塔內篩選出來具有好氧反硝化特性的菌株。 TAD1 在 - 20 ℃下保存于甘油管中,實驗前使用種子培養基進行活化。
1. 2 培養基
種子培養基:蛋白胨 10. 0 g·L - 1,牛肉浸膏 5. 0 g·L - 1,氯化鈉 5. 0 g·L - 1。
硝酸鹽反硝化培養基: KH2 PO41. 5 g·L - 1, Na2HPO4 0. 8 g·L - 1, MgSO4 0. 2 g·L - 1, KNO3 0. 36 ~2. 16 g·L - 1,微量元素 2 mL,玉米葉和檸檬酸鈉根據實驗要求進行調整。
亞硝酸鹽反硝化培養基: KH2 PO41. 5 g·L - 1, Na2HPO4 0. 8 g·L - 1, MgSO4 0. 2 g·L - 1, NaNO2 0. 15~ 0. 74 g·L - 1,微量元素 2 mL,玉米葉和檸檬酸鈉根據實驗要求進行調整。
微量元素溶液成分:EDTA 50. 0 g·L - 1,ZnSO4 2. 2 g·L - 1,CaCl2 5. 5 g·L - 1,MnCl2·4H2O 5. 06 g·L - 1, FeSO4·7H2O 5. 0 g·L - 1,( NH4 ) 6Mo7O2·4H2O 1. 1 g·L - 1,CuSO4·5H2O 1. 57 g·L - 1,CoCl2·6H2O 1. 61 g·L - 1。
1. 3 碳源材料及其主要參數測定
玉米葉來源于廣州市番禺區新造鎮,回收后用自來水洗凈,儲存于4 ℃冰箱中。 前期實驗得出以下預處理最優條件,將玉米葉粉碎至 10 ~ 40 目,加堿量為 0. 01 mol·L - 1,固液負荷比為 60 g·L - 1,在 40 ℃下靜置 24 h,其水解液作為液體碳源供螯臺球菌 TAD1 生長。 測定玉米葉水解液的化學需氧量(COD) 、還原糖、pH、NO -3 -N 和 NO -2 -N。
1. 4 菌株 TAD1 分別利用玉米葉水解液、檸檬酸鈉為碳源時好氧反硝化性能
在玉米葉水解液中加入硝酸鹽反硝化培養基中除碳源以外的其他組分,在 105 ℃下高壓滅菌 30 min。基于本實驗室的前期研究,TAD1 脫氮的最佳 C / N 為 9,最佳碳源為檸檬酸鈉;因此,在硝酸鹽反硝化培養基中加入檸檬酸鈉使 C / N 為 9 與玉米葉水解液進行比較,在 115 ℃下高壓滅菌 20 min。
將 TAD1 活化后取 10 mL(即 10%體積比)菌懸液接種于含 90 mL 硝酸鹽反硝化培養基的 250 mL 的錐形瓶中,于50 ℃、160 r·min - 1(此時溶解氧為7. 25 mg·L - 1)條件下培養20 h,每隔2. 5 h 取樣2 mL 檢測其 NO -3 -N、NO -2 -N。
1. 5 培養條件對 TAD1 好氧反硝化的影響
將 TAD1 活化后接種于 90 mL 反硝化培養基中,于 50 ℃、160 r·min - 1條件下培養 10 h,隔一定時間測定其 NO -3 -N、NO -2 -N、OD600 。
1. 5. 1 混合碳源中玉米葉水解液與檸檬酸鈉比例的影響
玉米葉水解液與傳統碳源混合可能會提高硝酸鹽去除率,使處理后水質達到更高標準。 將玉米葉水解液與檸檬酸鈉溶液以不同的比例混合,檸檬酸鈉加入量基于 C / N 為 9,初始 NO -3 -N 為 100 mg·L - 1時,考察混合比對好氧反硝化性能的影響。
1. 5. 2 初始 pH 的影響
前期研究探索出,玉米葉水解液被 TAD1 利用的過程中,pH 會下降再上升,偏堿性更有利于 TAD1 進行好氧反硝化,最佳初始 pH 為 8. 5。 調整初始 pH 至 7. 0、7. 5、8. 0、8. 5、9. 0,考察不同 pH 對 TAD1 以混合液為碳源時好氧反硝化性能的影響。
1. 5. 3 初始 NO -3 -N 的影響
保持玉米葉水解液濃度不變,而檸檬酸鈉按 C / N 為 9 調整,使初始 NO -3 -N 濃度為 50、100、150、200、250、300 mg·L - 1,在最佳 pH 條件下考察不同初始 NO -3 -N 對 TAD1 以混合液為碳源時和以玉米葉水解液為唯一碳源時好氧反硝化性能的影響。
1. 5. 4 初始 NO -2 -N 的影響
調整初始 NO -2 -N 濃度為 30、50、100、150 mg·L - 1,考察不同初始 NO -2 -N 對 TAD1 以混合液為碳源時和以玉米葉水解液為唯一碳源時好氧反硝化性能的影響。
1. 6 分析方法
硝酸鹽氮(NO -3 -N)測定采用酚二磺酸-紫外分光光度法,亞硝酸鹽氮( NO -2 -N)測定采用 N-( 1-萘基) -乙二胺分光光度法,化學需氧量(COD)測定采用快速密閉消解法,還原糖測定采用 3,5-二硝基水楊酸分光光度比色法,OD600測定采用 721 分光光度計在光密度為 600 nm 處測定吸光度值,溶解氧測定采用YSI 型 DO 測定儀,pH 測定采用 PHS-25 pH 計。
2 結果與分析
2. 1 玉米葉水解液主要參數測定
實驗對培養 24 h 后的玉米葉水解液主要參數進行測定。 玉米葉在 24 h 內釋放大量 COD,濃度為4 508 mg·L - 1。 玉米葉水解液中還原糖含量先增加后減少, 24 h 時為2 530 mg·L - 1,占 COD 的56. 12% 。 加入 0. 01 mol·L - 1NaOH 時玉米葉水解液 pH 為 9. 35,pH 在水解過程中不斷降低,經過 24 h后,pH 下降低至 4. 42,可能是由于玉米葉水解過程中產生有機酸,而且其水解產物糖類也會進一步分解為有機酸。 玉米葉滲出 1. 16 mg·L - 1NO -3 -N 和 0. 01 mg·L - 1NO -2 -N,不會增加明顯的硝氮和亞硝氮含量。
2. 2 菌株 TAD1 分別利用玉米葉水解液、檸檬酸鈉為碳源時好氧反硝化性能
由圖 1 可看出,菌株 TAD1 利用玉米葉水解液為唯一碳源生長時,硝酸鹽氮在 5 h 內由 100. 25 mg·L - 1降至 20. 70 mg·L - 1,并在 10 h 內降低到 8. 20 mg·L - 1,平均反硝化速率為 9. 21 mg·( L·h) - 1。 亞硝酸氮在 5 h 達到最大值 39. 28 mg·L - 1,在 7. 5 h 后降至 0。 硝酸鹽氮與亞硝酸鹽氮的迅速減少可能是由于玉米葉水解液中含有多種碳源供 TAD1 利用,有助于 TAD1 迅速生長,快速去除硝酸鹽氮與亞硝酸鹽氮。 但是硝酸鹽在 10 h 后并沒有進一步并去除,脫氮率為 91. 82% 。 當檸檬酸鈉為唯一碳源時,反硝化速率明顯比玉米葉水解液為碳源時慢。 由于檸檬酸鈉、C / N 為 9 是 TAD1 脫氮的最佳條件,進一步增加碳量并不會提高反硝化速率,因此其速率低于玉米葉水解液不是由于其含碳量較低而可能是因為 TAD1對其利用的速率低于玉米葉水解液。 NO -3 -N 在 20 h 內降至 0, NO -2 -N 在 12 h 達到最大值 40. 80mg·L - 1,在 20 h 后低于檢測限。 雖然 TAD1 利用檸檬酸鈉為碳源生長時,反硝化速率僅有 5. 03mg·( L·h) - 1,但隨著反硝化過程的持續脫氮率可達到 100% 。 若將兩者按一定比例混合作為碳源可能會同時獲得高反硝化速率和脫氮率。

2. 3 混合碳源中玉米葉水解液與檸檬酸鈉比例的影響
為了進一步降低處理后的硝酸鹽濃度,實驗將玉米葉水解液以不同比例混合,考察不同混合比對TAD1 的好氧反硝化性能的影響,結果如圖 2 所示。

由此可看出,隨著玉米葉水解液含量增大,硝酸鹽去除率先增加后減少,在混合比為 1 ∶ 4 時硝酸鹽去除率達到峰值 95. 85% 。 當檸檬酸鈉與玉米葉比例大于等于 1 ∶ 4 時,處理 10 h 后硝酸鹽去除率均達到92% 以上,并且沒有亞硝酸鹽的積累,因此無須進一步增加玉米葉水解液的投入。 而當混合比低于1 ∶ 4 時有亞硝酸鹽積累,并且玉米葉水解液含量越低其積累越明顯;因此,將玉米葉水解液與檸檬酸鈉以 1 ∶ 4 混合作為碳源供 TAD1 利用可以同時獲得最優反硝化速率和脫氮率。
2. 4 初始 pH 的影響
由圖 3 可看出:隨著初始 pH 的增加,硝酸鹽去除率先增加后下降,在 pH 為 8. 0 時達到最大值96. 79% 。 在初始 pH 為 7. 0 ~ 9. 0 時均沒有亞硝酸鹽的積累。 OD600的變化趨勢與硝酸鹽去除率的相一致,在 pH 為 8. 0 時達到最大值 1. 555。 因為在TAD1 利用玉米葉水解液的過程中,培養基的 pH 會先下降再上升,因此在初始 pH 為 8. 0 時,更有利于TAD1 生長,從而達到更高的去除率。 值得注意的是,在 pH 為 7. 0 ~ 9. 0 時,去除率均高于 92. 5% ,說明 pH 的下降沒有給好氧反硝化帶來顯著的負面影響。

2. 5 初始 NO -
3 -N 的影響
保持玉米葉水解液含量不變而檸檬酸鈉按 C / N 為9 調整,實驗考察不同 NO -3 -N 對 TAD1 利用 2 種碳源的好氧反硝化性能的影響,結果如圖 4 所示。

由圖4( a)可看出,在初始 NO -3 -N 為0 ~ 250 mg·L - 1時,玉米葉水解液或混合液為碳源時硝酸鹽去除率與濃度正相關,最大值分別為 97. 20%與 95. 12% 。 而當濃度為 300 mg·L - 1時,兩者均下降,并且伴隨著亞硝酸鹽的積累,分別為 16. 05 mg·L - 1與 18. 20 mg·L - 1,這是由于隨著硝酸氮濃度的增加需要相應碳源的補充才能維持高效率,或延長處理時間以達到高去除率,12 h 時以兩者為碳源均不再有亞硝酸鹽積累(數據在圖中未給出) 。 由圖 4( b)可看出,好氧反硝化效率隨濃度的變化趨勢與硝酸鹽去除率相一致,最大值分別為 24. 30 mg·( L·h) - 1與 23. 78 mg·( L·h) - 1,發生在初始濃度為 250 mg·L - 1時。 當NO -3 -N 為 50、100 mg·L - 1時,混合液為碳源時的硝酸鹽去除率與反硝化效率均高于玉米葉水解液為唯一碳源時,在 50 mg·L - 1時更為明顯。 在 NO -3 -N≥150 mg·L - 1時,TAD1 利用玉米葉水解液的好氧反硝化性能優于檸檬酸鈉。 同樣地,OD600隨著濃度的增加相應增大,利用玉米葉水解液為碳源的 TAD1 菌濃度始終高于利用混合液為碳源的菌濃度。 而且,當 NO -3 -N 由200 mg·L - 1增加至250 mg·L - 1,OD600的增加最為明顯,利用水解液生長的菌濃度由 1. 865 增加至 2. 380,而利用檸檬酸鈉的由 1. 690 增加至 2. 298。當 NO -3 -N 為 300 mg·L - 1時,兩者菌濃度皆達到最大值 2. 520 及 2. 410。 這可能是因為高濃度的氮源可以刺激 TAD1 的生長,尤其當 NO -3 -N 高于 200 mg·L - 1時。 另外,玉米葉水解液為唯一碳源更能促進TAD1 的生長;因此,當 NO -3 -N≤100 mg·L - 1時,混合液更適宜作為 TAD1 的碳源,當 NO -3 -N > 100 mg·L - 1時,則玉米葉水解液更具有優勢。
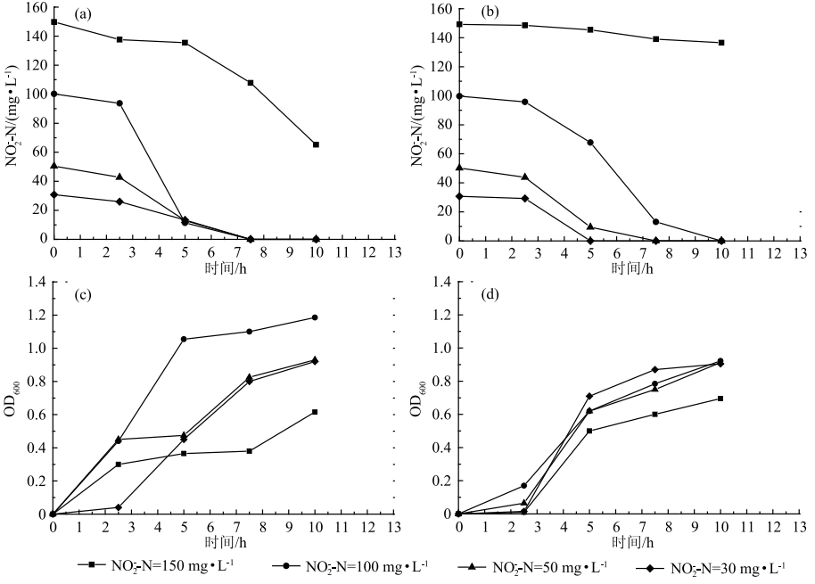
2. 6 初始 NO --N 的影響
實驗考察不同 NO -2 -N 對 TAD1 利用2 種碳源的好氧反硝化性能的影響,結果如圖5 所示。 由圖5( a)與 5( b)可看出,當以玉米葉水解液為唯一碳源時,初始 NO -2 -N 為 30 ~ 100 mg·L - 1時,亞硝酸鹽均在 7. 5h 內去除。 而利用混合液作為碳源時,30 mg·L - 1NO -2 -N 在5 h 內去除,50 mg·L - 1NO -2 -N 在7. 5 h 內去除,100 mg·L - 1NO -2 -N 在 10 h 內去除。 當初始 NO -2 -N 為 150 mg·L - 1時,利用玉米葉水解液生長的TAD1 在 10 h 內去除了 56. 46% 的 NO -2 -N。 而利用混合液生長的 TAD1 在 10 h 內僅僅去除了 8. 54% 的NO -2 -N。 說明碳源不足導致好氧反硝化進行不徹底,亞硝酸鹽去除率低;玉米葉水解液更適于高濃度亞硝酸鹽的去除。 由圖 5( c)可以看出,玉米葉水解液作為碳源時,當 NO -2 -N 高于 30 mg·L - 1,TAD1 從 0 h開始就迅速生長。 當 NO -2 -N 為 100 mg·L - 1培養 10 h 后,OD600達到最大值 1. 185,而當 NO -2 -N 為 150mg·L - 1時,培養 10 h 的 TAD1 的 OD600在 4 個濃度中最低,0. 615。 這說明了以玉米葉水解液為碳源時,NO -2 -N 為 30 ~ 100 mg·L - 1時,亞硝酸鹽濃度增加并沒有抑制 TAD1 的生長,反而有助于其生長。 由圖 5(d)可以看出,以混合液作為碳源時,TAD1 從2. 5 h 開始迅速生長。 在初始 NO -2 -N 為100 mg·L - 1培養10 h后,OD600達到最大值 0. 922,明顯低于同條件下玉米葉水解液為碳源的 OD600 。 因此,當 NO -2 -N < 50 mg·L - 1時,混合碳源更有利于 TAD1 進行好氧反硝化。 當 NO -2 -N > 50 mg·L - 1時,玉米葉水解液碳源更具有優勢。
圖 5 初始 NO -2 -N 對 TAD1 分別利用玉米葉水解液( a,c) 、混合碳源( b,d)的好氧反硝化的影響
3 討論
3. 1 菌株 TAD1 分別利用玉米葉水解液、檸檬酸鈉為碳源時好氧反硝化性能
好氧反硝化需要充足的外源有機碳作為電子供體將硝酸鹽還原為氮氣。 農林業有機物即木質纖維素物質由于其經濟性以及來源廣泛,有作為反硝化碳源的巨大潛力;但是由于纖維素是由線性的葡萄糖聚合物通過氫鍵連接,并與半纖維素和木質素緊密結合在一起,其復雜的三維結構會阻礙微生物獲得可利用的碳源,因此,先將玉米葉水解以破壞其復雜結構,使微生物更容易利用其有機碳有助于隨后的反硝化反應。 水解預處理的費用相對于碳源費用要低得多。 實驗證明玉米葉水解液為 TAD1 提供可利用的有機碳使其可高效進行反硝化,使 NO -3 -N 的快速還原和積累的 NO -2 -N 的快速去除,反硝化時間比以檸檬酸鈉為碳源的縮短一半。 這可能是玉米葉水解后有各種各樣可利用的糖類以及有機酸類碳源為微生物提供電子供體,使其代謝活動更加旺盛,在短時間內進入對數生長期,快速利用氮源達到脫氮的目的,但是其脫氮率(91. 82% )低于以檸檬酸鈉為碳源(100% ) 。
3. 2 培養條件對好氧反硝化的影響
當檸檬酸鈉與玉米葉比例為 1 ∶ 4 時好氧反硝化效果最好,處理 10 h 后硝酸鹽去除率達到 95. 85% ,反硝化速率為 9. 59 mg·( L·h) - 1,TAD1 同時獲得最佳反硝化速率和脫氮率。 亞硝酸鹽在 7. 5 h 內還原為含氮氣體,少于施氏假單胞菌 Pseudomonas. stutzeri PCN-1 利用玉米淀粉為碳源時所需時間(12 h)。 有研究表明,在有好氧條件下混合碳源可以同時促進硝酸鹽還原和碳的降解;因為纖維素是線性的葡萄糖聚合物,玉米葉水解液主要成分是糖類,與檸檬酸鈉混合其相互作用可能更有利于 TAD1 對碳源的利
用,從而充分還原硝酸鹽。 另外,檸檬酸鈉能使周質硝酸鹽還原酶活性增強,使好氧反硝化進行得更徹底。 以混合液為碳源時,最適宜 pH 為 8. 0。 這時由于 TAD1 利用含玉米葉水解液的混合碳源生長時,在胞外酶的作用下進一步將糖類分解為有機酸,使 pH 降低,偏堿性有利于補償碳源分解帶來的 pH 下降。但是,在 pH 為 7. 0 ~ 9. 0 時,去除率均高于 92. 5% ,說明 TAD1 能適應廢水處理過程中的 pH 的波動,具有實際意義。
高濃度的 NO -3 -N 可能是反硝化的其中一個限制因素,因為剩余的碳源可能不足以維持異養代謝;但是在本實驗高濃度硝酸鹽反而刺激了 TAD1 的生長,增強硝酸鹽還原酶的活性,促進好氧反硝化快速進行,以玉米葉水解液為碳源時尤為明顯。 可能由于玉米葉水解液中含有高濃度的多種糖類從而更有利于TAD1 生長繁殖。 初始 NO -3 -N 濃度越高,NO -2 -N 的還原需要更多的時間,初始 NO -3 -N 為250 mg·L - 1時,處理 10 h 后沒有亞硝酸鹽存在;NO -3 -N 為 300 mg·L - 1時,處理 12 h 后沒有亞硝酸鹽存在。 其高效好氧反硝化性能明顯優于已報道的好氧反硝化菌施氏假單胞菌 Pseudomonas stutzeri T13 利用丁二酸鈉為碳源時的性能。 在初始 NO -3 -N 為 185. 24 mg·L - 1,搖床轉速為 160 r·min - 1,T13 培養 15 h 后仍有 147. 44mg·L - 1NO -2 -N。 總的來說,當 NO -3 -N 為 30 ~ 100 mg·L - 1時,混合液更適宜作為 TAD1 的碳源,當NO -3 -N 為 150 ~ 300 mg·L - 1時,玉米葉水解液更適宜為 TAD1 提供碳源進行好氧反硝化;因此,玉米葉水解液可以作為一種高效廉價的碳源處理高濃度硝酸鹽廢水。
催化還原亞硝酸鹽為含氮氣體的亞硝酸還原酶通常是對氧氣敏感的;但是在初始 NO -2 -N 為 100mg·L - 1,搖床轉速為 160 r·min - 1條件下,TAD1 利用玉米葉水解液為碳源,NO -2 -N 在 7. 5 h 內完全去除。 說明當玉米葉水解液為碳源時,TAD1 的亞硝酸還原酶在較高溶解氧下也能高效運作。 玉米葉水解液為碳源時,適當增加亞硝酸鹽的初始濃度可以加速 TAD1 的生長,但當 NO -2 -N 為150 mg·L - 1,TAD1 的生長受到抑制,可能由于此時碳源已經不能為 TAD1 提供大量的電子供體。 當 NO -2 -N 為30、50 mg·L - 1,以混合液為碳源時,NO -2 -N 分別在 5、7. 5 h 內被迅速還原,因此混合液適合在此濃度范圍內作為 TAD1 的碳源。 當 NO -2 -N 為 50 ~ 150 mg·L - 1,利用玉米葉水解液為碳源時的好氧反硝化性能更佳。具體參見污水寶商城資料或http://www.dongaorq.cn更多相關技術文檔。
4 結論
1)初始 NO -3 -N 為 100 mg·L - 1時,檸檬酸鈉與玉米葉水解液比例為 1 ∶ 4 時可獲得最佳的好氧反硝化性能,TAD1 培養 10 h 后硝酸鹽去除率達到 95. 85% 。 其最佳 pH 為 8. 0,適宜范圍為 7. 0 ~ 9. 0。
2)初始 NO -3 -N 在 50 ~ 250 mg·L - 1的范圍內,脫氮率、反硝化效率與時間成正相關,脫氮率最高達到97. 20% ,反硝化效率最高為 24. 30 mg·( L·h) - 1。 NO -3 -N 為 30 ~ 100 mg·L - 1時,混合液更適宜作為TAD1 的碳源,當 NO -3 -N 為 150 ~ 300 mg·L - 1時,玉米葉水解液更合適。
3)適當增加亞硝酸鹽的初始濃度可以加速 TAD1 的生長,但當 NO -2 -N 為 150 mg·L - 1,TAD1 的生長受到抑制。 NO -2 -N 為 30 ~ 50 mg·L - 1時,混合液更適宜作為 TAD1 的碳源,當 NO -2 -N 為 50 ~ 150 mg·L - 1時,玉米葉水解液更合適。



