近年來, 石油、印染、化工、皮革等行業快速發展, 隨之而來的含鹽廢水量急劇增長.這類廢水通常采用傳統生物法進行處理, 但由于其含有的高濃度無機鹽物質會造成細胞溶解、生物質呼吸速率降低、沉降性變差, 使得傳統生物法處理效率低下.針對此類廢水處理難度大、流程復雜、成本過高等問題, 尋找一種經濟高效、簡單實用的處理技術才能滿足日趨嚴格的行業污水排放標準.
厭氧膜生物反應器(anaerobic membrane bioreactor, AnMBR)是厭氧生物處理與膜分離技術相結合的污水處理技術, 該技術通過膜過濾截留作用, 增加污泥濃度和污泥停留時間, 有利于積累對鹽度耐受的微生物. Yurtsever等[4]采用AnMBR處理含有不同質量濃度(0~1 000 mg·L-1)NaCl的紡織合成廢水, 發現盡管生物質濃度明顯降低, 但COD去除率仍高達90%以上; Jeison等分別用傳統和裝有膜的上流式厭氧污泥床反應器處理含鹽廢水, 在Na質量濃度由24 g·L-1降至16 g·L-1時, 傳統污泥床反應器內揮發性脂肪酸(VFA)濃度驟增, 反應器內嚴重酸化, 裝有膜的反應器則運行穩定.這說明AnMBR在處理高鹽高有機物廢水時, 不僅穩定性良好, 而且表現出較高的耐沖擊負荷能力, 擁有廣闊的發展前景.
厭氧膜生物反應器在實際工程中的應用受到局限的主要原因是膜污染. Huang等利用浸沒式AnMBR處理生活污水, 發現膜污染在SRT為60d時得到最佳控制, 延長或縮短SRT都會導致更多的顆粒物積累在膜表面, 增加膜污染.原曉玉等在25℃和35℃下分別運行AnMBR, 觀察到溫度為35℃系統膜污染速率更低, 膜運行周期更長. Huang等的研究表明較短的HRT會促進生物量和可溶性微生物產物(soluble microbial products, SMP)中蛋白質類物質的增長從而加速膜污染.目前對AnMBR在處理含鹽廢水條件下引起的膜污染特性研究還較少見.
本實驗采用AnMBR處理模擬含鹽有機廢水, 重點考察提升鹽度對反應器運行效能、產氣能力、污泥性質、膜污染特性的影響, 以期為厭氧膜生物反應器在實際處理含鹽廢水工程中的應用提供理論依據.
1 材料與方法
1.1 實驗裝置
本實驗裝置如圖 1所示, AnMBR反應器主體是有機玻璃材料構成的圓柱體, 高25 cm, 直徑22 cm, 有效容積為8 L. AnMBR設置溫控裝置, 通過電熱絲將溫度控制在(35±0.5)℃.由聚偏氟乙烯(polyvinylidene fluoride, PVDF)制成的中空纖維膜組件, 膜表面積0.235 m2, 平均孔徑0.22 μm, 以懸掛方式置于污泥混合懸浮液中.
圖 1

本實驗進水通過蠕動泵流入反應器, 利用磁力攪拌使之與污泥懸浮液混合均勻, 水力停留時間設置為6 d.反應器外部設有氣體收集裝置, 采用排水法收集厭氧反應產生的沼氣.膜組件與出水泵間設置真空表監測跨膜壓差(transmembrane pressure, TMP), 當TMP超過35 kPa時, 對膜組件進行物理化學清洗.
1.2 污泥與進水水質
本實驗所用接種污泥取自青島市麥島污水處理廠, 接種污泥的混合液懸浮固體濃度(mixed liquid suspended solids, MLSS)為31.9 g·L-1, 接種體積1 L.反應器進水采用配制的模擬含鹽有機廢水, 其組成為:C6H6O6、CH3COONa、NH4Cl和KH2PO4, 按COD:N:P≈55:5:1比例配制成模擬含鹽有機廢水.鹽度采用投加海水晶控制, 由于海水晶含有Ca2+、Fe2+、Mg2+、Mn2+、Zn2+和Co2+等離子, 因此進水不額外添加微量元素.
1.3 出水水質與污泥性質分析方法
COD采用重鉻酸鉀法測定; pH采用雷茲PHS-3DpH計測定; VFA和氣體采用氣相色譜法測定; 混合液懸浮固體濃度(MLSS)和混合液揮發性懸浮固體(mixed liquor volatile suspended solids, MLVSS)采用重量法測定; 蛋白質采用Folin-酚試劑法[11]; 多糖采用苯酚-硫酸法測定.
1.4 膜污染特性分析方法
出水時啟動蠕動泵, 待真空壓力表讀數穩定后, 將該讀數記為當天跨膜壓差(TMP)值, 同時收集一定體積水量并記錄耗時, 即可計算當天膜通量和膜總阻力.膜總阻力根據Darcy公式[式(1)計算:

式中, R為膜總阻力, m-1; ΔP為跨膜壓差(TMP), Pa; μ為滲濾液動力黏度系數, Pa·s; J為膜通量, L·(m2·h)-1.
膜面污染物特征及其元素組成采用掃描電子顯微鏡(SEM)和能量散射X射線能譜儀(EDX)分析, 膜面污染物有機成分采用三維熒光光譜(EEM)分析.
2 結果與討論
2.1 AnMBR運行特性
2.1.1 鹽度對COD去除效果的影響
AnMBR運行分為兩階段, 包括54 d啟動階段和64 d鹽度提升階段.啟動階段進水COD從900 mg·L-1逐步上升并穩定在2 100 mg·L-1.如圖 2所示, 反應器對COD的去除率在初期因為水力停留時間(HRT)過短而出現劇烈波動, 調整HRT后, COD去除率提高至97%以上.鹽度提升階段, 在一定鹽度范圍內COD去除率隨進水含鹽量增加略有上升, 說明適當的鹽度通過調節微生物滲透壓和酶活性, 提高了微生物利用有機物的能力; COD去除率在鹽度增加到9.1g·L-1時急速下降, 此后雖然延長了每個鹽度適應期, 但出水COD濃度仍在增加, COD去除率最終在鹽度為10g·L-1時降至80%以下, 這可能是因為較高的鹽濃度使微生物胞外滲透壓過高, 導致細胞脫水產生質壁分離、細胞質溶解并最終裂解死亡.
圖 2
圖 2 AnMBR對COD去除效果2.1.2 鹽度對pH、VFA的影響
在厭氧處理過程中, 產甲烷菌的最適pH范圍在6.8~7.2之間, 當進水pH在上述范圍內時, 分析圖 3(a)發現反應器運行過程中出水pH除在啟動初期出現波動外, 平均值在8.0~8.5之間, 表明反應器內無酸化現象發生.
圖 3
圖 3 反應器出水pH和VFA濃度變化揮發性脂肪酸(VFA)濃度是判斷厭氧反應器性能特別是產酸菌和產甲烷菌活性的重要指標.如圖 3(b)所示, VFA含量隨有機負荷增加而降低并穩定在150mg·L-1左右, 這與Jeison等提高有機負荷產生更多量VFA的研究結果不同, 分析原因可能是其反應器酸化隨有機負荷增加升高達65%, 而本實驗中AnMBR運行良好未發生酸化現象, 大量的有機酸被分解轉化成為甲烷、二氧化碳等物質.鹽度提升階段, 短期鹽度增加使產甲烷菌利用VFA的能力下降, VFA最高增加到342mg·L-1; 當鹽度在0.9~9.1 g·L-1范圍內增加時, VFA總量下降且乙酸在VFA總量中的占比明顯提高, 而在所有VFA中, 乙酸和丁酸最有利于甲烷形成, 其中乙酸的貢獻超過70%, 這說明鹽度在這一范圍內變化時能促進產甲烷菌將揮發性有機酸轉化為甲烷和二氧化碳的效率提升, 有利于反應器產甲烷性能提高.具體聯系污水寶或參見http://www.dongaorq.cn更多相關技術文檔。
2.1.3 鹽度對氣體產量與組成的影響
從圖 4觀察到氣體產量和甲烷百分比在鹽度為1.3~2.1g·L-1時都達到了最大值, 甲烷百分比穩定在46%~65%范圍內, 這與Song等的研究結果相似; 當鹽度高于2.1g·L-1后, 氣體產量和甲烷占比整體呈下降趨勢, 在110 d后, 與圖 3(a)和圖 3(b)對比發現雖然反應器內pH值升高, 乙酸濃度和VFA總量增加, 但氣體產量和甲烷占比均明顯下降, 分析原因可能是一方面產酸菌對環境pH值的適應范圍較寬, 一些產酸菌在pH值為5.5~8.5范圍內生長良好, 另一方面產甲烷菌比產酸菌對鹽度更敏感, 高鹽度使產甲烷菌細胞滲透壓失衡、酶活性下降, 且鹽度越高乙酸硝化產生甲烷的量越少.
圖 4
圖 4 AnMBR氣體產量和甲烷含量2.2 AnMBR污泥性質
2.2.1 鹽度對污泥濃度的影響
圖 5反映了AnMBR運行期間污泥濃度的變化情況.混合液懸浮固體濃度(MLSS)和混合液揮發性懸浮固體濃度(MLVSS)在啟動階段略有波動, 基本穩定在5.0~6.0g·L-1之間; 隨著鹽度提升, MLVSS/MLSS不斷下降, 二者均呈現先增加趨勢, 且在鹽度為2.1~9.1 g·L-1范圍內增加最明顯, 其原因可能是活性污泥中的微生物在這一鹽度范圍內生長代謝加快, 微生物量增加; 當鹽度大于9.1 g·L-1時, 二者均減少, 說明過高的鹽度會使微生物裂解死亡并分泌大量胞外聚合物最終使污泥濃度下降.
圖 5
圖 5 活性污泥MLSS和MLVSS變化2.2.2 鹽度對污泥沉降性能的影響
分析圖 6發現污泥體積指數(SVI)在啟動階段由126.94mL·g-1突增到140.38mL·g-1, 這可能是水力停留時間過短同時反應器運行初期存在跑泥現象造成的; 隨著反應器內有機負荷的增加, SVI逐漸降低, 說明污泥絮體因微生物生長代謝所分泌的胞外產物而絮凝在一起, 使得污泥沉降性能增強.鹽度提升階段, SVI值在鹽度為0.3~3.1 g·L-1范圍內下降, 說明這一范圍的鹽度使得各個微生物群落結合得更緊密; 但當鹽度繼續升高時, SVI值增加, 可能是高鹽度微生物細胞裂解死亡后細胞質和分泌物大量懸浮在混合液中, 導致污泥沉降性能變差.
圖 6
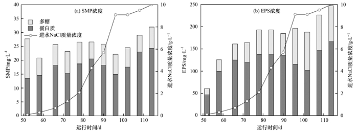
圖 6 污泥SVI值變化2.2.3 鹽度對SMP、EPS的影響
圖 7直觀地呈現了鹽度提升階段AnMBR污泥混合液中溶解性微生物產物(SMP)和胞外聚合物(EPS)的變化. SMP[圖 7(a)]隨鹽度提升先穩中有降后增加, 除個別點外EPS[圖 7(b)]隨鹽度提升而增加.分析原因可能是一方面一定范圍鹽度促進微生物生長代謝提高了其對多糖、蛋白質等有機物的利用能力, 分泌更多的胞外聚合物; 另一方面, 過高的鹽度使微生物細胞脫水裂解死亡釋放出蛋白酶等有機物, 導致污泥混合液中蛋白質和多糖的積累.
圖 7
圖 7 SMP和EPS濃度變化2.3 膜污染特性
2.3.1 膜污染程度表征
跨膜壓差(TMP)是衡量膜污染程度的重要參數, 這是因為與膜結垢有關的顆粒和膠體等物質會堵塞膜孔導致跨膜壓差明顯增加.以膜組件開始運行到TMP超過35 kPa取出清洗計為一個周期, 分析圖 8發現AnMBR的中空纖維膜組件在118 d內一共運行了3個周期, 啟動階段TMP的快速增加可能是由于膜孔的快速阻塞和膠體物質在膜表面聚集形成凝膠層.隨后膜的運行周期延長, 這可能是因為反應系統運行穩定, 適當增加鹽度能促進微生物對有機物的降解效能, 污泥中的SMP、EPS中的蛋白質和糖類等物質減少, 膜污染相較第1周期減輕.而膜運行的第3周期TMP較前兩周期增加得更為緩慢, 除以上原因外還可能是反應器長期在恒定過濾時間和恒定過濾流量的條件下運行, 凝膠層和濾餅層積累得更為緩慢.
圖 8
圖 8 跨膜壓差變化膜總阻力的變化規律與TMP基本相同.使用物理化學法清洗被污染的膜組件, 重新運行時起始的膜總阻力總是要高于前一周期, 分析其原因可能是物理化學法并不能清洗掉全部的膜垢, 一些難以降解的物質會不斷積累在膜孔中形成不可逆膜垢.
2.3.2 膜面污染物的掃描電鏡-能譜(SEM-EDX)分析
通過SEM觀察運行結束后膜面污染物的形態(圖 9), 發現大量顆粒、膠體物質聚集在中空纖維膜表面形成密實的污染層, 幾乎觀察不到未被堵塞的膜孔, 說明膜污染十分嚴重.膜面污染物中還出現一些方形的、有棱角的、類似結晶狀的物質, 這極有可能是污泥混合液中的無機鹽離子在膜表面結晶所致.
圖 9
圖 9 膜面污染物SEM圖采用EDX分析膜面污染物中的無機成分組成發現(圖 10和表 1), C、O、S可認為是膜面污染物的有機成分, 無機成分則為Na、Mg、Al、Si、Cl、K、Ca和Fe. Wang等發現由Mg、Al、Fe、Ca和Si等元素組成的無機物質沉積在膜表面和有機物結合形成的凝膠層是造成膜污染的重要原因.金屬離子在通過膜時, 可被微生物細胞和大分子有機物因電荷中和而絡合, 形成致密的膜垢, 加速膜污染.
圖 10 膜面污染物EDX圖
表 1 膜面污染物中主要元素所占質量分數/%

2.3.3 膜面污染物的有機成分分析
目前普遍認為溶解性微生物產物(SMP)和胞外聚合物(EPS)是膜面污染物主要有機成分, 其組成包括糖類和蛋白質等. 表 2展示了污泥混合液和膜污染物中SMP、EPS的含量, 其中膜污染物中兩者的含量要遠大于混合液中的含量, 分析原因可能是混合液中的污染物在反應器長期運行中不斷在膜面積累, 并通過絮凝、絡合、架橋等一系列相互作用, 使得污染物之間結合更加致密.
表 2 污泥混合液與膜面污染物中SMP和EPS含量(MLSS) /mg·g-1
圖 11顯示了通過三維熒光光譜(EEM)分析膜面污染物的結果.觀察到圖譜中主要有3個熒光峰, 對應的有機成分分別為中等激發波長類色氨酸(Ⅳ區)、低激發波長類絡氨酸(Ⅱ區)以及高激發波長類腐殖酸(Ⅴ區).這表明蛋白質與腐殖酸類物質是膜面有機污染物的主要成分.
圖 11

3 結論
(1) 鹽度對AnMBR處理廢水的運行效能有較大影響, 當鹽度大于9.5g·L-1時, COD去除率迅速從98%降至80%以下, 反應器內揮發性脂肪酸積累, 氣體產量和甲烷占比均減少.
(2) 隨著AnMBR系統的鹽度不斷提升, 污泥性質有較大變化, MLSS和MLVSS緩慢增長, 在鹽度為9.1g·L-1時達到最大值, SVI先從126.94 mL·g-1降至53.23 mL·g-1后上升, SMP和EPS增長相對穩定.
(3) 中空纖維膜組件在118 d內運行了3個周期, 且隨鹽度增加膜運行周期由31 d延長為48 d.用SEM-EDX分析發現膜面污染物中有類似結晶狀物質, Na、Mg、Al、Si、Cl、K、Ca和Fe為主要無機元素.用EEM分析膜面污染物發現蛋白質與腐殖酸是膜面有機污染物的主要成分.
(4) 綜合鹽度對AnMBR運行特性、污泥性質和膜污染的影響, 將進水鹽度逐漸提升并控制在2.1~3.1 g·L-1范圍內能使系統處理含鹽有機廢水效率達到最高, 并有效減緩膜污染.(來源:環境科學 作者:閆歡汐)












