一、概況
牡丹江陽明經濟開發區位于牡丹江市東北部,其中陽明經濟開發區為全省第一個由城區興辦的省級經濟開發區,被確定為黑浙兩省共建園區,是牡丹江最具活力、發展最快的城區,同時也是牡丹江陽明區經濟發展新的增長點及支撐點,也是陽明區經濟發展的重要平臺。
隨著陽明經濟開發區和磨刀石鎮利用得天獨厚的區位優勢大力發展經濟的同時,水體環境污染問題日漸突出,目前經濟開發區和鐵嶺鎮雖然已有部分污水收集管網,但無污水處理廠對污水進行集中處理,管網收集后的生活和工業污水直接排入鐵嶺河內,最后匯入牡丹江內,嚴重地污染了自然水體,影響了鐵嶺河與牡丹江沿岸居民的生活環境,陽明經濟開發區及磨刀石鎮急需建設污水處理廠,實現經濟建設和環境建設協調發展,實現“青山綠水,也是金山銀山”的目標,因此建設污水處理廠設置入河排污口,新增污水處理能力成為急需解決的問題。
二、水質預測模型選擇
為了準確地預測分析入河排污口對鐵嶺河、牡丹江牡丹江市排污控制區及牡丹江牡丹江市過渡區水質的影響,采用一維模型進行水質模擬預測,分析牡丹江陽明經濟開發區(磨刀石鎮)污水處理廠入河排污口設立后,正常排放及事故排放情況下對鐵嶺河及牡丹江水質可能產生的影響。
2.1 預測因子、模型及參數
根據擬建項目的廢水排放特征及受納水體環境質量現狀,預測參數選定為CODcr和氨氮。
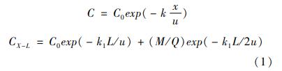
各預測斷面濃度預測可采用一維解析S-P水質模型進行預測:

式中:C0為上游斷面污染物的濃度,mg/L,k為污染物綜合自凈系數,1/d,x為河段長度,km,u為功能區內設計流速,m/s,C為下游斷面污染物濃度,mg/L。
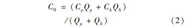
斷面初始濃度采用完全混合模型進行計算。

式中:C0為污染物預測濃度,mg/L,Cp為污染物排放濃度,mg/L,Ch為河流來水污染物濃度,mg/L,Qp為廢水排放量,m3/s,Qh為河流來水流量,m3/s。
完全混合過程段長度可由下式估算:

式中:L為混合過程段長度,m,B為河流寬度,m,a為排放口距近岸水邊的距離(岸邊排放時為零),m,u為平均流速,m/s,H為平均水深,m,g為重力加速度,9.81m/s2,I為河流及評價河段縱比降(坡度)。
1)排放方式:陽明經濟開發區(磨刀石鎮)污水處理廠入河排污口的排放屬連續穩定排放。
2)河流設計水文條件:采用納污能力計算時所采用的75%保證率枯水期流量作為設計流量,設計流量已經考慮水利工程的調節影響,鐵嶺河、松花江流量分別選擇4.0m3/s、78m3/s。本次污染物綜合衰減系數直接借用原黑龍江省水資源保護規劃中的水域水功能區的K值結果,K值選擇0.135-0.185。
3)河流本底濃度:本次鐵嶺河COD、氨氮的本底濃度選擇滿足Ⅲ類水質要求的濃度,即COD為20mg/L、氨氮為1.0mg/L。排污口所對應的的牡丹江水功能區二級區為牡丹江牡丹江市排污控制區,鐵嶺河口距上游濱綏鐵路橋斷面3.3km。其上游來水水功能區為牡丹江牡丹江市飲用、工業用水區,水質目標為Ⅱ-Ⅲ類。本次預測河流本底值濃度選擇牡丹江牡丹江市飲用、工業用水區達標時的水質濃度(Ⅲ類),即COD為20mg/L、氨氮為1.0mg/L。
4)污染物排放濃度:牡丹江陽明經濟開發區(磨刀石鎮)污水處理廠按《城鎮污水處理廠污染物排放標準》(GB18918-2002)一級A標準排放污水,其中COD為50mg/L,氨氮為5mg/L,預測最不利季節為枯水期,溫度<12℃,因此氨氮排放濃度取8mg/L,污水處理廠事故排放情況下的污水排放濃度為污水處理廠進水濃度,其中COD為300mg/L,氨氮為25mg/L。
5)預測斷面選取:本次預測斷面選取鐵嶺河入牡丹江口斷面、牡丹江二發電廠取水口斷面、牡丹江二發電廠排污口下斷面及柴河輕化包裝廠取水口斷面。
2.2 預測結果
2.2.1 完全混合后斷面初始濃度
1)鐵嶺河:入河排污口所在斷面經充分混合后(完全混合段L=400m)初始濃度在經污水處理廠處理達標后COD為20.09mg/L、氨氮為1.02mg/L,事故狀態下,未經污水處理廠處理排污后入河斷面COD為20.81mg/L、氨氮為1.07mg/L。排污口入鐵嶺河斷面充分混合后濃度,見表1。

2)牡丹江:牡丹江陽明經濟開發區(磨刀石鎮)污水處理廠入河排污口排放的污染物經16km的鐵嶺河河道衰減,排入牡丹江,經充分混合后(完全混合段L=4700m)初始濃度在經污水處理廠處理達標后COD為30.02mg/L、氨氮為1.51mg/L,未經污水處理廠處理排污后入河斷面COD為30.42mg/L、氨氮為1.53mg/L。經鐵嶺河衰減后入牡丹江斷面充分混合后濃度,見表2。

2.2.2 影響范圍
本次排污口的論證范圍為鐵嶺河、牡丹江牡丹江市排污控制區和牡丹江牡丹江市過渡區。根據最不利條件下一維水質模型的預測結果,對比陽明經濟開發區(磨刀石鎮)污水處理廠正常排放、事故排放的污染物濃度預測結果進行分析,COD和氨氮濃度預測分別見表3-6。




由上表可見,陽明經濟開發區(磨刀石鎮)污水處理廠建設后正常排放情況下,COD、氨氮在鐵嶺河入牡丹江口斷面均能滿足Ⅲ類水質目標的要求,COD、氨氮在牡丹江二發電廠排污口下斷面、柴河輕化包裝廠取水口斷面均能滿足牡丹江牡丹江市排污控制區、牡丹江牡丹江市過渡區Ⅲ類水質目標的要求。正常排放情況下較非處理排放(相當于事故排放)相比,COD在鐵嶺河入牡丹江口斷面、牡丹江二發電廠排污口下斷面和柴河輕化包裝廠取水口斷面的濃度較污水處理前分別減小0.57mg/L、0.03mg/L和0.02mg/L,鐵嶺河及牡丹江的兩個水功能區水質均有所改善。
2.3 預測狀態
1)枯水期,陽明經濟開發區(磨刀石鎮)污水處理廠正常排放情況下,1000t/d的污水通過排污口排放的情況。
2)枯水期,陽明經濟開發區(磨刀石鎮)污水處理廠事故排放情況下,1000t/d的污水通過排污口排放的情況。
三、對水功能區影響分析
3.1 對鐵嶺河的影響分析
鐵嶺河未進行水功能區的劃分,本入河排污口未設置前,牡丹江陽明經濟開發區各企業污水及磨刀石鎮的生活污水直接排入鐵嶺河,對鐵嶺河水質產生影響,待本次入河排污口設置后,CODcr削減量91.25t/a,NH3-N削減量為7.30t/a,較大程度上減輕了污染物入河量,減輕了污水排放對鐵嶺河的影響,經預測,本次入河排污口設置后,污水經過污水處理廠處理后達標排放,鐵嶺河水質能夠滿足Ⅲ類水質目標的要求。
3.2 對水生生態影響分析
3.2.1 鐵嶺河及牡丹江水生生態現狀
鐵嶺河河流較小,魚類種類主要有銫、黑龍江泥鰍、麥穗魚、黑龍江鳑鲏、銀鯽等小型低質魚類。
牡丹江城區段牡丹江魚類有37種,隸屬于6目13科,占黑龍江省魚類總數(97種)的38.14%,其中主要經濟魚類有14種。牡丹江魚類組成中,鯉形目魚類最多,為23種,占62.16%,是牡丹江魚類的主體。在種類組成上,經濟魚類如鯉魚、鯽魚、紅鰭鮐等為牡丹江的優勢種。
3.2.2 對生態環境的影響預測
在陽明經濟開發區(磨刀石鎮)污水處理廠建立以前,陽明經濟開發區各企業的廢污水及磨刀石鎮產生的生活污水未經處理直接排放,對鐵嶺河及牡丹江的水質產生了不利影響。而陽明經濟開發區污水處理廠入河排污口的建設將會改善這一生態環境的不利影響,污水處理廠及其入河排污口運行后,污水經過“預處理+改良A2/O工藝+深度處理”的工藝處理后,能夠達到《城鎮污水處理廠污染物排放標準》(GB18918-2002)的一級A排放標準,即:CODcr≤50mg/L、氨氮≤5mg/L。水質中含有的COD、氨氮濃度較工程運行前有所降低,有毒有害物質也被凈化,對排污口所對應的鐵嶺河及牡丹江牡丹江市排污控制區的水質會起到改善作用,對附近水域水生生物和魚類的棲息、索餌起到有利的作用,對水生生態環境也有一定的改善效果。
3.2.3 對地下水影響分析
區域地下水含水層主要為第四紀松散巖類孔隙潛水、微承壓水和基巖類孔隙、裂隙潛水、承壓水。枯水期鐵嶺河及牡丹江河道水位較低,地下水會側向補給鐵嶺河及牡丹江,汛期由于徑流量增加,鐵嶺河及牡丹江水位抬高,河水補給兩岸地下水,但由于洪水期河道流量大幅增加,本項目所排污染物可得到充分的稀釋,污染物濃度大幅降低,因此降低了對地下水產生污染。
陽明經濟開發區及磨刀石鎮產生的工業廢水及生活污水經污水處理廠處理后,排入鐵嶺河,由于滲透作用排入河流中的污染物可能對河兩岸的淺層地下水產生影響,但對承壓水不會產生影響。
四、結論
通過對牡丹江陽明經濟開發區污水處理廠退水區水文設計條件下,主要控制指標(COD、NH3-N)濃度的預測分析,本工程入河排污口污水的排放不會對鐵嶺河、牡丹江水體產生不良影響,對鐵嶺河、牡丹江水生生物、第三者合法權益等不會造成明顯不利影響。該項目為減排項目,削減后的污染物入河量符合水功能區限制排污總量要求,在正常排放情況下對入河污染物削減比較明顯,可以有效減輕鐵嶺河及牡丹江城區段的現有水污染負荷,改善河流的水環境狀況。該排污口所處位置和布置方式合理,不會對河岸穩定產生危害,不會影響鐵嶺河和牡丹江行洪和防洪。(來源:牡丹江市河道管理處,牡丹江市基層水利管理分站


