近年來,隨著城鎮化的快速發展,我國城市人口迅速擴大,人口增長導致生活污水排放量增大,城市河流水污染情況愈發嚴重。此外,城市水流上游工業化的發展與農業肥的使用進一步導致下游城市水體的污染情況惡化,為市政水處理工程帶來巨大的挑戰。
城市水污染的主要矛盾集中在水體富營養化問題上,較為常見的水體富營養化污染治理手段包括混凝沉淀法、生物治理法吸附法以及結晶法,這些方法能夠取得一定的治理效果,但整體上來說均存在一定的局限性,如治理效果不夠、恢復時間過長、經濟成本高及水體二次污染等問題。王鑫勇等以城市污水為研究對象,通過展開不同接觸時間、Ca2+濃度、及干擾元素等多因素條件下水化硅酸鈣材料額污水除磷試驗研究,發現水化硅酸鈣材料能夠高效回收富磷污水中的污染元素。曹德平等考察了反應時間、初始磷濃度、投加量對除磷率的影響,同時采用以水化硅酸鈣為填料的濾床,指出初始磷濃度為0.3mg/L的低濃度模擬水,在投加量為1500mg/L、反應時間為24h時,水化硅酸鈣對模擬水中除磷率達到60%以上,針對濃度為0.50mg/L的實際景觀水,投加量為800mg/L時,除磷率達到65.0%。動態試驗中,水力停留時間為60min、初始磷濃度為0.15~0.3mg/L,運行8d后,過濾床除磷率保持在44%以上。
上述富營養化水污染治理磷元素去除技術手段仍存在一定的局限性,而水化硅酸鈣技術也存在反應較慢、材料利用不充分的問題。因此,本文通過對水化硅酸鈣技術改進得出,多孔水硅酸鈣技術是對混凝沉淀發與吸附法的結合,具有反應時間快、除磷效果好等優勢,為我國城市水污染治理提供了良好的范例。
一、水污染現狀與試驗設計
1.1 城市水污染現狀
本文研究在依托我國某城市市政污水治理工程基礎上展開。根據現場調查研究結果顯示,該城市水污染情況較為嚴重,如圖1所示,不僅造成河道范圍內魚類及水生植物的大范圍死亡,散發出的異樣氣味對城市居民生活造成極大困擾。通過污水成分檢查試驗,發現區域水污染主要是由于水成分的富營養化導致,主要營養元素為磷氮元素。經過對水的成分及周圍環境的調查,認為該區域水污染的主要原因為居民生活污水、上游農業廢水及郊區工業廢水的排放。

1.2 試驗研究設計
調查顯示,目前河道富營養元素的主要治理方法有混凝沉淀法、生物治理法、吸附法以及結晶法,而多孔硅酸鈣是綜合采用混凝沉淀法及吸附法形成的新型水污染治理技術,具有材料足、成本低、反應充分、污染去除高效等優勢。圖2為多孔硅酸鈣材料除磷研究技術流程圖。室內試驗設計配置不同濃度的含磷廢水,濃度分別為1.0、2.0、5.0mg/L。進一步設計不同多孔硅酸鈣投加量(0.4、0.8、1.2、1.6、2.0g)、不同溫度(20、25、30、35、45℃)條件下,以pH值及鈣離子濃度為反應指標,研究投加量及反應溫度對多孔硅酸鈣污水處理效果。為避免時間效應對試驗結果的影響,反應時間均控制在6h,且初始條件下污水的pH值為7.45,鈣離子濃度為22.05mg/L。由此可見,本次試驗共涉及30個不同條件下的污水處理樣本,對應為不同濃度、投加量、溫度條件下的多孔硅酸鈣污水處理效果研究。

二、試驗結果分析
2.1 投加量影響
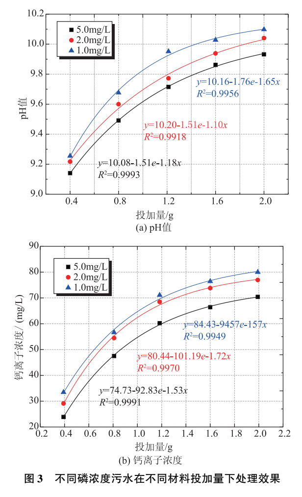
圖3為污水酸堿度pH值及鈣離子濃度隨多孔硅酸鈣材料投加量的變化關系,由圖可知,對于1.0mg/L磷濃度污水,不同投加量下,污水的pH值及鈣離子濃度逐漸較原污水升高,污水的最終pH值分別為9.14、9.49、9.71、9.86、9.93,污水中鈣離子濃度23.89、47.49、60.20、66.40、70.41mg/L,這表明多孔硅酸鈣對污水磷成分具有良好的處理效果,且隨著多孔硅酸鈣材料投加量的增加,酸堿度pH值及鈣離子濃度升高,由此可見處理效果隨多孔硅酸鈣投加量的增加逐漸提高,但相對提升效果逐漸降低。處理效果與多孔硅酸鈣材料投加量之間成指數型關系,且對于pH值-投加量、鈣離子濃度-投加量之間擬合函數線性相關系數R2均在0.99以上。
對于不同磷濃度污水試樣,由圖可知,對于2.0mg/L磷濃度污水,污水的最終pH值分別為9.25、9.67、9.9511、10.02、10.09,污水中鈣離子濃度為33.46、56.63、71.08、76.41、79.98mg/L,隨著投加量增加,pH值及鈣離子濃度表現出相同的變化趨勢,但高濃度溶液的最終pH值及鈣離子濃度均較低,這表明高磷濃度污水處理難度更大,處理效果也較差。

2.2 溫度影響
不同濃度污水溶液在不同溫度條件下處理效果如圖4所示,可見污水磷濃度對處理效果依然有較大的影響。由圖4可知,20℃條件下,污水的pH值及鈣離子濃度逐漸較原污水亦有所升高,污水的最終pH值分別為9.52、9.57、9.61,污水中鈣離子濃度分別為46.6、49.61、53.44mg/L。且隨著溫度的逐漸升高,酸堿度pH值及鈣離子濃度升高,以磷濃度為1.0g/L濃度為例,污水的最終pH值分別為9.52、9.57、9.62、9.67、9.70,污水中鈣離子濃度分別為46.61、52.57、61.52、66.21、75.71mg/L,由此可見隨著反應溫度的提升,多孔硅酸鈣與污水中了富營養元素之間的反應更加劇烈,處理效果逐漸提高。對試驗結果進行線性擬合,得出處理效果與多孔硅酸鈣材料投加量之間成線性關系,且對于pH值-投加量、鈣離子濃度-投加量之間擬合函數線性相關系數R2均在0.90以上。

2.3 機理分析
由上述試驗結果可知,多孔硅酸鈣材料對污水營養化治理取得了顯著的效果。進一步分析多孔硅酸鈣對污水處理的內在機理,認為材料的治理主要包括以下兩個方面:
(1)化學反應。部分鈣離子在水中與富營養元素產生化學反應,產生含磷元素固態鹽并在水中沉淀,主要產物為羥基磷灰石(HAP)。其主要化學反應機理如下式所述:

溫度是影響化學反應的重要因素,一般而言,溫度越高,化學反應速度也越快,同時最終反應程度也越高,這也在上述試驗結果分析中得到了印證。
(2)吸附作用。多孔硅酸鈣材料內部具有大量的貫通性通道,因此具有很大的比表面,因此能夠高效吸收磷酸根,并在材料表面形成沉淀結晶,達到除磷效果。
三、結論
本文以某城市河道污染治理工程為例,深入探討了多孔磷酸鈣材料技術在污水富營養化治理中實踐應用,并進一步研究分析、合理評價不同磷濃度、不同材料投加量及不同溫度條件下該新技術的治理效果,得出以下結論:
(1)多孔磷酸鈣材料技術對富營養化污水中磷元素的去除具有良好的處理效果,處理后污水溶液的酸堿度pH值與鈣離子濃度均發生了大量提高,磷元素濃度相對降低。
(2)多孔硅酸鈣除磷效果隨材料投加量升高逐漸增加,但增加速度逐漸降低,二者之間符合指數型關系,相關系數均在0.99以上。多孔硅酸鈣除磷效果隨反應溫度的升高逐漸增加,二者之間成線性關系,相關系數均在0.90以上。
(3)多孔硅酸鈣除磷內在機理主要為多孔材料的吸附作用及鈣離子與磷離子之間的化學反應產生羥基磷灰石并進一步沉淀,除磷效果高效無污染。(來源:山東省水利勘測設計院)


