電子傳遞體系廣泛存在于動植物體內及微生物細胞中,其通過接受電子體釋放的電子氫并將基質脫下的電子傳遞給最終電子受體,同時伴隨著腺嘌呤核苷三磷酸的生成,進而為微生物生長代謝提供足夠的能量,在微生物生長代謝過程中起著重要的作用。微生物電子傳遞體系主要由脫氫酶組成,當微生物受到外界環境脅迫時脫氫酶活性受到影響,從而使微生物電子傳遞體系的活性遭到破壞,進而影響微生物正常的生長代謝。因此,研究污染物對微生物電子傳遞體系活性的影響具有重要意義。不同污染物對微生物電子傳遞體系活性產生的影響不同,并且微生物電子傳遞體系活性隨著污染物濃度的變化而變化。然而,目前研究主要集中在單一污染物對微生物電子傳遞體系的影響,較少有混合污染物的影響研究,而環境中的污染物大多是以混合物的形式存在,混合污染物的影響更復雜,因此,具有更重要的研究意義。
垃圾滲濾液中普遍存在鈣、鎂離子,濃度為幾十到數千mg/L。但鈣、鎂離子對垃圾滲濾液厭氧生物處理過程中微生物電子傳遞體系的影響研究較少。鑒于此,筆者首先研究了單獨鈣離子和鎂離子對垃圾滲濾液處理過程中厭氧微生物電子傳遞體系的影響,然后重點研究了鈣、鎂離子的聯合作用。首先采用直接均分射線法設計3種不同濃度配比的鈣、鎂離子混合物,分別采用非線性回歸方法S型、J型曲線對濃度-效應數據進行擬合,并繪制濃度-效應曲線;利用等效線圖法分析鈣、鎂離子混合物對微生物電子傳遞體系的聯合作用,進而全面系統地分析不同濃度鈣、鎂離子對微生物電子傳遞體系的影響,以期為垃圾滲濾液生物處理中鈣、鎂離子的影響提供參考。
1、材料與方法
1.1 試驗設置及種泥來源
試驗中的垃圾滲濾液及種泥均取自合肥市某垃圾滲濾液處理廠。試驗設置不同濃度梯度的鈣離子、鎂離子和兩者混合物的厭氧序批式活性污泥反應器,反應器有效容積為500mL,直徑為8cm,高為12cm,試驗裝置如圖1所示。反應器水力停留時間為36h,其中進水1h、反應34.6h、沉淀0.2h、出水0.2h。振蕩頻率為140r/min,試驗溫度維持在35℃左右。鈣、鎂離子采用電感耦合等離子發射光譜法檢測。電子傳遞體系活性采用碘硝基氯化四氮唑藍作為電子受體進行測定。

1.2 污染物抑制率及作用效應分析
向反應器中投加不同濃度的鈣、鎂離子及其混合物,待反應器穩定后,分別檢測其電子傳遞體系活性,計算不同濃度鈣離子、鎂離子及其混合物對厭氧微生物電子傳遞體系活性的抑制率X,如下:

式中:C0為空白對照組的厭氧微生物電子傳遞體系活性,μg/(mg‧h);C為不同濃度鈣離子、鎂離子及其混合物影響下厭氧微生物電子傳遞體系活性,μg/(mg‧h)。
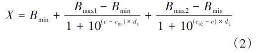
采用BiPhasic函數擬合J型濃度-效應試驗數據。BiPhasic函數如下:

式中:c為鈣離子、鎂離子或兩者混合物濃度,mg/L;c01、c02為鈣離子、鎂離子或兩者混合物的半數有效濃度EC50,mg/L;Bmin為最低抑制率(即濃度-效應曲線的最低點,也是最大促進效應點);Bmax1為達到Bmin之前的最高抑制率;Bmax2為達到Bmin之后的最高抑制率;d1、d2為斜率。
采用Logistic函數擬合S型濃度-效應試驗數據。Logistic函數如下:

式中:Amax為不同濃度下鈣離子、鎂離子或兩者混合物對厭氧微生物電子傳遞體系活性的最大抑制率;A0為空白對照組的抑制率;α為鈣離子、鎂離子或兩者混合物的潛在抑制能力常數;c為鈣離子、鎂離子或兩者混合物的濃度,mg/L;c0為鈣離子、鎂離子或兩者混合物的半數有效濃度EC50,mg/L。
1.3 鈣、鎂離子濃度設計

為了研究鈣、鎂離子二元混合物的聯合作用效應,先采用直接均分射線法構建鈣離子和鎂離子二元混合體系,如圖2所示。鈣、鎂離子設置3種配比:當鈣、鎂離子配比為L1時,鈣、鎂離子的占比分別為0.27和0.73;當鈣、鎂離子配比為L2時,鈣、鎂離子占比分別為0.52和0.48;當鈣、鎂離子配比為L3時,鈣、鎂離子占比分別為0.77和0.23。再采用稀釋因子法確定不同配比下不同濃度組合的鈣、鎂離子混合物,其中稀釋因子的確定方法如下:

式中:W為稀釋因子;Pmin為最低濃度,mg/L;Pmax為最高濃度,mg/L;n為濃度點個數。
1.4 鈣、鎂離子混合物作用關系分析
該試驗采用等效線圖法分析不同濃度配比的鈣、鎂離子對垃圾滲濾液處理過程中厭氧微生物電子傳遞體系的作用關系。等效線圖法如圖3所示。A、B分別表示鈣、鎂離子在單獨作用條件下達到某一相同作用效應時對應的濃度值,連接點A和點B,形成的線段AB稱為加和作用線,該線段表示鈣、鎂離子混合物對厭氧微生物電子傳遞體系的作用關系為加和作用。白色區域表示鈣、鎂離子對電子傳遞體系的作用關系為拮抗作用;藍色區域表示鈣、鎂離子對電子傳遞體系的作用關系為部分加和作用;黃色區域表示鈣、鎂離子對電子傳遞體系的作用關系為協同作用。

2、結果與討論
2.1 鈣離子對微生物電子傳遞體系的影響
不同濃度鈣離子對厭氧微生物電子傳遞體系活性的抑制作用隨時間的變化如圖4所示?芍,不同周期條件下,不同濃度鈣離子對厭氧微生物電子傳遞體系的濃度-效應曲線形狀均為J型,而且鈣離子對厭氧微生物電子傳遞體系活性的促進和抑制作用的轉折點濃度為687mg/L。當鈣離子濃度<687mg/L時,隨著反應的進行,對厭氧微生物電子傳遞體系活性有一定的促進作用,促進效應最高達到14.7%;當鈣離子濃度>687mg/L時,隨著鈣離子濃度的增加,對厭氧微生物電子傳遞體系活性的促進作用逐漸降低并向抑制作用轉變,而且隨著反應周期的增加,鈣離子對厭氧微生物電子傳遞體系活性的抑制作用逐漸增強;當鈣離子濃度達到8000mg/L時,對厭氧微生物電子傳遞體系活性的抑制率達到了77%左右。以上說明,低濃度的鈣離子對厭氧微生物電子傳遞體系活性具有促進作用,而高濃度的鈣離子對厭氧微生物電子傳遞體系活性具有抑制作用,并且隨著鈣離子濃度和作用時間的增加,抑制作用也逐漸增強。

2.2 鎂離子對微生物電子傳遞體系的影響
不同濃度鎂離子對厭氧微生物電子傳遞體系活性的抑制作用隨時間的變化見圖5。鎂離子對厭氧微生物電子傳遞體系活性的抑制作用具有明顯的時間依賴性,表現為在一定濃度條件下,抑制作用隨著暴露時間的延長而逐漸增強。另外,當鎂離子濃度在549~8000mg/L時,厭氧微生物電子傳遞體系活性受到的抑制作用隨鎂離子濃度的增加而顯著增強,當鎂離子濃度為8000mg/L時,抑制率達到了81.4%,說明高濃度的鎂離子對厭氧微生物電子傳遞體系的抑制作用具有明顯的濃度依賴性。

2.3 鈣、鎂離子對微生物電子傳遞體系的影響
不同濃度配比的鈣、鎂離子混合物對厭氧微生物電子傳遞體系活性的抑制作用隨時間的變化見圖6?芍,3種不同濃度配比的鈣、鎂離子混合物對厭氧微生物電子傳遞體系的濃度-效應曲線均呈現J型曲線。在鈣、鎂離子配比為L1的條件下,當鈣、鎂離子混合物濃度549mg/L時,對厭氧微生物電子傳遞體系的抑制作用隨著濃度的增加而逐漸升高。在鈣、鎂離子配比為L2和L3的條件下,當鈣、鎂離子混合物濃度687mg/L時,對厭氧微生物電子傳遞體系的抑制作用隨著濃度的增加而逐漸升高。不同配比的鈣、鎂離子混合物在相同濃度條件下,隨著作用時間的延長,對厭氧微生物電子傳遞體系活性的抑制作用逐漸增強。這說明不同濃度配比的鈣、鎂離子混合物對厭氧微生物電子傳遞體系活性的作用效應既具有濃度依賴性又具有時間依賴性。綜上,不同濃度配比的鈣、鎂離子混合物對厭氧微生物電子傳遞體系活性均表現出低濃度促進、高濃度抑制的作用,并且促進作用隨著鈣離子占比的增加而逐漸降低。

2.4 鈣、鎂離子與電子傳遞體系的作用關系
采用等效線圖法分析不同周期下不同濃度配比鈣、鎂離子混合物對厭氧微生物電子傳遞體系的作用關系,結果如圖7所示。

當反應器運行到第1周期時,可畫出EC20和EC30效應濃度水平下的等效線圖。由圖7(a)、(b)可知,在第1周期,當鈣、鎂離子配比為L1時,鈣、鎂離子的濃度點均落在白色區域,表明鈣、鎂離子混合物對厭氧微生物電子傳遞體系的作用關系為拮抗作用;當鈣、鎂離子配比為L2時,鈣、鎂離子的濃度點由白色區域逐漸過渡到藍色區域,表明鈣、鎂離子混合物對厭氧微生物電子傳遞體系的作用關系由拮抗作用逐漸轉變為部分加和作用;當鈣、鎂離子配比為L3時,鈣、鎂離子的濃度點均落在黃色區域,表明鈣、鎂離子混合物對厭氧微生物電子傳遞體系的作用關系為協同作用。
當反應器運行到第2~3周期時,可畫出EC30和EC40效應濃度水平下的等效線圖。由圖7(c)~(f)可知,在第2~3周期,當鈣、鎂離子配比為L2和L3時,鈣、鎂離子混合物對厭氧微生物電子傳遞體系的作用關系為協同作用;當鈣、鎂離子配比為L1時,鈣、鎂離子混合物對厭氧微生物電子傳遞體系的作用關系為拮抗作用。
當反應器運行到第4周期時,可畫出EC50和EC60效應濃度水平下的等效線圖。由圖7(g)和(h)可知,在第4周期,當鈣、鎂離子配比為L1時,鈣、鎂離子混合物對厭氧微生物電子傳遞體系的作用關系由拮抗作用轉變為協同作用;當鈣、鎂離子配比為L2和L3時,鈣、鎂離子混合物對厭氧微生物電子傳遞體系的作用關系為協同作用。
當反應器運行到第5周期時,可畫出EC60和EC70效應濃度水平下的等效線圖。由圖7(i)和(j)可知,在第5周期,當鈣、鎂離子配比為L1時,鈣、鎂離子混合物對厭氧微生物電子傳遞體系的作用關系由部分加和作用轉變為協同作用;當鈣、鎂離子配比為L2和L3時,鈣、鎂離子混合物對厭氧微生物電子傳遞體系的作用關系為協同作用。
綜上可知,鈣、鎂離子混合物對厭氧微生物電子傳遞體系的作用關系隨著兩者配比的不同而發生變化。微生物電子傳遞體系主要由脫氫酶組成,在微生物代謝過程中,基質脫氫是生物進行氧化分解的關鍵步驟,在微生物降解有機污染物的過程中發揮著重要作用,微生物脫氫酶活性易受外界環境的影響,進而影響電子傳遞體系的活性。當鈣、鎂離子混合物配比為L1時,鎂離子占比較高,鈣離子占比較低,較高的鎂離子可能會阻礙鈣離子與脫氫酶結合,而鈣離子在低濃度條件下對脫氫酶活性具有促進作用,會削弱鎂離子對脫氫酶的抑制作用,因此,當鈣、鎂離子混合物配比為L1時,鈣、鎂離子混合物對微生物電子傳遞體系的作用關系主要表現為拮抗作用。當鈣、鎂離子濃度配比為L3時,鈣離子起主導作用,高濃度的鈣、鎂離子均會對脫氫酶產生抑制作用,進而影響微生物電子傳遞體系活性,因此,當鈣、鎂離子濃度配比為L3時,鈣、鎂離子混合物對微生物電子傳遞體系表現的作用關系主要為協同作用。不同配比鈣、鎂離子混合物對厭氧微生物電子傳遞體系的作用機制有待進一步研究。
3、結論
①鈣離子對厭氧微生物電子傳遞體系的作用呈現低濃度促進、高濃度抑制的特點;而鎂離子對厭氧微生物電子傳遞體系的作用均為抑制。在同一濃度條件下,鈣離子或鎂離子對厭氧微生物電子傳遞體系的抑制作用隨作用時間的增加而逐漸升高。
②不同濃度配比的鈣、鎂離子混合物對厭氧微生物電子傳遞體系的作用效應均具有濃度依賴性和時間依賴性。不同濃度配比的鈣、鎂離子混合物對厭氧微生物電子傳遞體系均表現出低濃度促進作用,但是該促進作用隨著鈣離子占比的增加而逐漸降低;而高濃度鈣、鎂離子混合物對厭氧微生物電子傳遞體系具有抑制作用。隨著作用時間的增加,促進作用逐漸降低,抑制作用逐漸升高。(來源:安徽建筑大學環境與能源工程學院,環境污染控制與廢棄物資源化利用安徽省重點實驗室)



