以六價鉻廢水為處理對象,采用電絮凝過程研究了槽電壓、初始濃度、初始pH值、電極材料等工藝參數對電絮凝過程分離Cr(Ⅵ)離子效率的影響機理。結果表明,采用Fe/Fe電極,對初始濃度為105 mg/L的Cr(Ⅵ)離子廢水,最優槽電壓為4 V,初始pH值為6,電解60 min,去除率可達到98.84%。Cr(Ⅵ)的去除率隨著槽電壓的升高而增大,隨著初始濃度以及初始pH值的增加而減小。
研究發現,初始pH值決定電絮凝過程中Cr(Ⅵ)的主要去除方式,在偏中性范圍內Cr(Ⅵ)主要通過絮體吸附作用去除。對不同電極材料的電絮凝過程電解產生的絮體進行了初步分析,結果表明,絮體成分因電極不同而異,不同絮體對重金屬離子吸附能力的差異也較大。
重金屬鉻是電鍍行業中最主要的污染物。根據世界衛生組織(WHO)公布的資料,鉻是已被確證的致癌物質之一,且六價鉻(Cr(VI))已被美國環境保護局(EPA)確定為17種高度危險的毒性物質之一。當前含鉻廢水 的處理工藝主要有化學絮凝、化學沉淀、吸附法、膜分離法。傳統的化學絮凝、化學沉淀法會產生二次污染且效率低,同時,吸附法和膜分離法成本均較高。電絮凝過程兼具電化學氧化、絮凝和氣浮3種作用,產生的污泥量少,絮體易脫水、更穩定、更易分離,無二次污染,是近幾年發展起來的頗具競爭力的鉻離子廢水處理方法。
近年來,電絮凝(electrocoagulation,EC)過程去除廢水引起了許多學者關注。相對于化學絮凝,電絮凝過程產生的吸附絮體,顆粒尺寸要遠小于化學絮凝,分散程度較為均勻。同時陰極電解產生的微米尺寸的氫氣起到了氣浮作用,其氣浮效果要遠好于化學絮凝中曝氣系統的氣泡。相對于傳統的化學方法,電絮凝過程得到的污泥量更少,污泥脫水性能更好,有利于最終的污泥處理。在對氯離子、pH值、Cr(III)初始濃度、電流等因素對去除效果的影響研究中發現,串聯連接電極比并聯去除效果更好,但電流效率較低,電能消耗和電極材耗分別高出并聯時40%和43%。
由此可見,對電絮凝技術處理含鉻廢水過程中的不同影響參數已經有了一定的研究,但對電絮凝過程機理的研究卻很少。鑒于電極耗材成本問題,目前工業上主要采用Fe/Fe電極為電極材料,為使研究具備更好的應用價值,實驗同樣以Fe/Fe電極的電絮凝過程為主要研究系統,尋找槽電壓、初始濃度、初始pH值對EC過程分離Cr(VI)的最佳工藝參數,并在此基礎上,對EC產生的吸附絮體進行了初步分析,探索了電極材料對去除Cr(VI)的去除率以及絮體種類、組成的影響。
1 EC過程原理
在EC過程中,犧牲陽極(Fe或Al。)電解產生金屬陽離子,陰極水電解產生H2和OH-,在電場作用下金屬陽離子和OH-發生電遷移,在溶液中互相結合并水解生成單核或多核氫氧化物絮體,最終形成有高比表面積且含有豐富表面羥基的氫氧化物絮體。通過配合吸附、網捕卷掃、吸附架橋等作用吸附水中的有毒物質。同時,陰極電解產生的H2氣泡可將絮體氣浮運輸至溶液表面而分離。
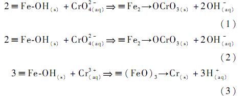
1.1絮體的配合吸附反應
吸附絮體表面分布有表面羥基(以三Fe-OH表示),表面羥基和重金屬Cr的配位反應式為:

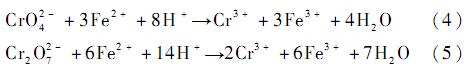
1.2氧化還原反應
溶液中Cr(VI)會被Fe2+還原,反應式為:

2實驗部分
實驗裝置為自行設計的有機玻璃電解槽,內有等間距凹槽以平行固定電極板,尺寸為109mm*74mm*208mm,有效處理體積為1L。電極材料為鐵片和鋁片,尺寸為63mm*147mm*15mm。具體參見http://www.dongaorq.cn更多相關技術文檔。
實驗用廢水為K2Cr2O6配制的Cr(VI)模擬廢水。所有實驗均采用直流恒壓模式,在室溫下進行。
各電極板間采用單級式接法,每次實驗均用6塊極板,陽極板和陰極板各?塊,電極間距為1cm。實驗前先用240目砂紙粗磨,再用500目砂紙對電極進行細磨至光亮,再用約7%~8%的鹽酸浸泡10min,后用自來水沖洗干凈,即刻使用。
詳情請點擊下載附件:電絮凝過程處理含鉻廢水


