1 引言
據統計,至“十二五”期末我國濕污泥量(含濕量80%)將突破4600萬t,而污泥厭氧消化技術以其低能耗、高產出的經濟優勢成為污泥資源化利用的主要技術之一.除厭氧消化產甲烷以外,污泥產揮發性脂肪酸(VFA)也是實現污泥資源化的有效途徑,近年來,越來越多的學者開始關注污泥厭氧發酵產揮發性脂肪酸.目前,有關污泥厭氧發酵產酸的研究主要集中在通過改進裝置構型、產酸微生物生態、優化控制運行條件,如控溫、pH等條件因素來提高產酸效率.已有研究表明,通過調節發酵污泥底物的C/N比可增加發酵產酸量并調控其產酸類型,然而,目前研究人員對污泥厭氧發酵產酸過程中不同C/N比與關鍵酶酶活及有機酸產酸量間的關系并不清楚.僅有為數不多的研究,如優化C/N比條件作為酒精發酵的實驗模型研究,而對于數學模型則沒有報道.數學模型法作為現代科學研究的重要手段,它有助于描述和理解生物處理系統的反應過程,可為工程設計提供理論上的指導;還有助于工藝的優化和控制,從而更好地指導實際生產運行.
多元線性回歸是一種理想的描述多個因素之間關系的數學方法,能較好地確定被解釋變量和解釋變量之間的關系,在很多領域得到了應用(常盛等,2011).因此,本研究通過設置不同C/N比條件來調控污泥厭氧發酵產酸,在Matlab7.0平臺上建立多元線性回歸函數模型,擬合C/N比、關鍵酶酶活和產酸類型之間的關系,以期為今后污泥發酵產酸條件調控研究和工程放大提供參考.
2 材料與方法
2.1 實驗材料
2.1.1 污泥與種泥
原始污泥取自無錫市太湖新城污水處理廠,發酵底物是經過熱堿預處理的污泥上清液.污泥采集后置于陰涼處,風干10 d,采用機械粉碎儀粉碎,再過30目篩,密封置于-15 ℃冰柜中保存.
接種污泥來源于無錫某檸檬酸廠上流式厭氧污泥反應器(UASB)中的厭氧顆粒污泥.在100 ℃下煮沸2 h以殺死產甲烷菌(Logan et al., 2002),然后導入有效容積為2 L的UASB中進行馴化,活化種泥中的產酸菌(郭磊等,2008),馴化溫度為35 ℃.每日監測馴化種泥的pH值,待種泥馴化后出水pH值降低至4.0左右,穩定3~5 d后,認為種泥馴化成功.原始污泥和污泥預處理液及接種種泥的性質見表 1.
表 1 原始污泥、污泥預處理液和接種污泥的性質
2.1.2 厭氧發酵
調節熱-堿預處理后離心液pH為10.0,取500 mL離心液置于1000 mL的厭氧反應瓶中,分別加入不同量葡萄糖,以使得底物混合液的初始C/N比為12、56、69、156.接入馴化后的種泥,種泥接種量為10%(種泥和待處理水的體積比).污泥發酵前充氮氣10 min以去除氧氣,然后迅速密封置于轉速為120 r·min-1和溫度(35±1)℃的搖床厭氧發酵.在發酵期間,每12 h調節pH為初始的10.0(Logan et al., 2002).每24 h取樣1次,用針管吸出部分發酵液,取樣完成后調節pH并充氮氣保持厭氧.
2.1.3 實驗藥品和材料
本實驗采用的藥品包括4-甲基戊酸(0.83 g·L-1)、磷酸溶液(3 mol·L-1)、NaOH(3 mol·L-1)、HCL(3 mol·L-1)等;主要儀器包括pH計(Mettler Toledo,Switzerland)、氣相色譜儀(GC-2010 Shimadzu Corporation,Tokyo,Japan)、馬弗爐、凱氏定氮儀(Buchi,Switzerland),離心機(Eppendorff,Germany)等.
2.2 試驗方法 2.2.1 污泥初始指標測定
污泥預處理前后的總固體(TS)、溶解性固體(SCOD)及污泥揮發性固體(VS)的測定采用重量法(Bligh et al., 1959),具體操作詳見GB11901-89和《水和廢水監測分析方法》.pH值測定參照國標法.
污泥中的總脂類物質采用Bligh-Dyer方法提取后,在 80 ℃下干燥直至溶劑完全揮發后,采用重量法測定(Bligh et al., 1959).總氮采用凱氏定氮法測定.總蛋白含量通過凱氏氮減去氨氮后再乘以 6.25計算得到(Miron et al., 2000).氨氮采用納氏試劑比色法測定,污泥中的總碳水化合物采用甲醛離心法提取后(Aquino et al., 2004),再用苯酚-硫酸法測定(Dubois et al., 1956).用 Liquid TOC 分析儀測定總有機碳,詳見《水質總有機碳的測定燃燒氧化-非分散紅外吸收法》(HJ/T71-2001).污泥中的總磷含量用鉬酸銨分光光度法測定,詳見《水質總磷的測定鉬酸銨分光光度法》(GB11893-89).
2.2.2 關鍵酶活測定
乙酸激酶(AK)的活性采用文獻(Rose,1955)的方法提取并測定.磷酸轉移乙酰酶(PTA)的提取方法同乙酸激酶,活性測定參照文獻(Andersch et al., 1983)方法.丁酸激酶(BK)微生物細胞的破壁方法和提取方法同乙酸激酶,活性測定采用文獻(Zhu et al., 2003)方法.磷酸轉移丁酰酶(PTB)微生物細胞的破壁和提取方法同乙酸激酶,活性測定采用文獻(Zhu et al., 2003)方法. 甲基丙二酰CoA變位酶(MCM)活性測定采用文獻(Kellermeyer et al., 1969)方法.
2.2.3 揮發性短鏈脂肪酸的測定
采用GC法檢測揮發性短鏈脂肪酸的質量濃度,樣品處理及色譜條件等參見文獻(Liu et al., 2008).為方便不同條件下產酸效率的比較,將測得的VFAs濃度折算成 COD值,換算方法參見文獻(Liu et al., 2008).
3 結果與討論
3.1 有機酸濃度的變化
分別設定底物初始C/N比值為12、56、156,進行厭氧發酵.發酵過程中時,體系中有機酸的產量分別如圖 1所示.由圖 1可以看出,底物初始C/N比不同,厭氧發酵產生的末端酸化產物也不同.C/N比為12時,產量最大的為乙酸,在第5 d達到9.45 kg·m-3(以COD計,下同);其次是丙酸,第5 d時可以達到3.55 kg·m-3;最低是丁酸,第5 d時產量約為2.35 kg·m-3(圖 2a).當C/N比為56時,產量最大的為丙酸,在第5 d可達到10.36 kg·m-3;其次是乙酸,可以達到7.79 kg·m-3;最低是丁酸,產量約為2.79 kg·m-3(圖 2b).當C/N比為156時,產量最大的為丁酸,在第5 d達到13.59 kg·m-3;其次是乙酸,可以達到5.89 kg·m-3;最低是丁酸,產量約為4.72 kg·m-3(圖 2c).

圖 1 C/N比對發酵產酸的影響(a.C/N=12,b.C/N=56,c. C/N=156)

圖 2 底物發酵產酸的代謝途徑
3.2 多項式關系的數學模型的建立
在發酵過程中,通過設定不同C/N比條件,測定不同C/N比下關鍵酶的酶活和產酸量,則三者可以建立函數關系.短鏈脂肪酸的生成途徑如圖 2所示(Feng et al., 2009),乙酸生成的關鍵酶分別為乙酸激酶(AK)和磷酸轉移乙酰酶(PTA),丁酸合成的關鍵酶有丁酸激酶(BK)和磷酸轉移丁酰酶(PTB);丙酮酸轉化為乙酸過程中,關鍵酶為甲基丙二酰CoA變位酶(MCM).由于底物C/N比的改變會導致產酸微生物體內的酶活性改變,從而改變微生物不同代謝途徑的代謝通量,并最終導致各種短鏈脂肪酸的生成受到影響,由此產生了不同的產酸類型.因此,C/N比是自變量,而關鍵酶活性和產酸類型是因變量.
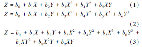
根據以上理論分析,為了建立C/N比、關鍵酶活、不同酸產量之間的函數關系模型,采用多元非線性回歸(霍倩等,2002)的方法,建立了二元二次多項式模型(1)、二元三次多項式模型(2)、二元三次多項式模型(3).

式中,Z為因變量,表示有機酸產量,X和Y為自變量,分別表示C/N比和關鍵酶活性,bi表示函數中的常數.根據實測數據對以上3種多項式模型進行擬合優度的檢驗,結果如表 2所示.
表 2 模型擬合優度分析


表 2中,A、B、C分別表示3種關系式模型,乙酸-AK、乙酸-PTA等分別表示各種產物酸與其對應的關鍵酶.根據優度擬合理論,R2大于 0.9的較好,因此,在多項式A乙酸-AK、B乙酸-AK和C乙酸-AK的R2檢驗中,C乙酸-AK效果最好,為0.9327.同樣的,C乙酸-PTA、C丙酸-MCM、C丁酸-BK、C丁酸-PTB的R2分別為0.9348、0.9494、0.9880和0.9771,均具有最高的R2.模型擬合優度檢驗同時要求模型殘差平方和越小越好,因此,在多項式A乙酸-AK、B乙酸-AK和C乙酸-AK的殘差平方和檢驗中,C乙酸-AK的效果最好,為0.0292.同樣的,C乙酸-PTA、C丙酸-MCM、C丁酸-BK、C丁酸-PTB的殘差平方和分別為0.0076、1.8556、0.0038和3.1362,均具有最小的殘差平方和.綜合以上分析,可以判定二元三次多項式C模型擬合度最好.依據二元三次多項式C標準結構,結合實驗測得的不同C/N比條件下的關鍵酶活和各種有機酸產量,建立了可視化的三者之間的曲面模型.
3.3 C/N比-關鍵酶-乙酸曲面模型的建立
根據上述多項式C的形式,利用Matlab軟件進行擬合,得到多項式當中相應bi的值,進而得出C/N比-關鍵酶AK-乙酸之間的定量關系表達式(4)和C/N比-關鍵酶PTA-乙酸之間的定量關系表達式(5).

根據定量關系式(4)和(5)繪制得到圖 3的可視化曲面模型.從圖 3的曲面模型可以看出:在初始C/N比為10~50時,酶活性較低,乙酸激酶(AK)和磷酸轉乙酰酶(PTA)平均酶活性分別為1.06 U·mg-1和0.67 U·mg-1,而乙酸濃度從2.8 kg·m-3(以COD計,下同)上升到7.8 kg·m-3.在初始C/N比為50~150時,AK和PTA酶活性較高,平均值分別為2.79 U·mg-1和1.08 U·mg-1,而乙酸濃度為2.6 kg·m-3.從以上數據可知,酶活性水平和乙酸產量不一致,說明在此C/N比條件下,乙酸主要不是通過丙酮酸途徑合成,而可能是通過丙酸、丁酸的轉化形成.其他學者的研究都表明(任南琪等,2005;劉曉玲,2008),C/N比通過直接或間接影響產能過程及NADH(或NADPH)/NAD+(或 NADP+)的氧化還原偶聯過程,促使不同發酵產酸類型的形成.在低C/N比條件下,乙酸的產生主要是通過氨基酸之間的Stickland反應形成,本文的曲面模型很好地解釋了這一結論.

圖 3 C/N比、產乙酸關鍵酶和不同酸產量之間的曲面模型(a.乙酸激酶(AK),b.磷酸轉移乙酰酶(PTA)
3.4 C/N比-關鍵酶MCM-丙酸曲面關系的數學模型的建立
C/N比-關鍵酶MCM-丙酸之間的定量關系表達式如式(6)所示.由C/N比-關鍵酶MCM-丙酸曲面模型可以看出,當 C/N比為 55~70時,甲基丙二酰CoA變位酶(MCM)活性都有大幅度增加,同時丙酸的產量也開始上升,這與任南琪等(2005)的研究一致,表明丙酸型發酵中,丙酸產生于糖酵解丙酮酸途徑.根據已有的理論研究,通常情況下,丙酸型發酵代謝途徑有利于NADH+H+的氧化,而丁酸型發酵缺乏對 NADH 的再生能力.所以當 C/N 值處于56~69(王勇等,2004;任南琪等,2005)時,微生物的細胞合成速率較小,丙酸型發酵比丁酸型發酵有更高的穩定性,產酸結果就形成丙酸型發酵,這也解釋了本文曲面模型當中丙酮酸的產量和關鍵酶活性大幅提升的原因.

3.5 C/N比-關鍵酶BK-丁酸曲面關系的數學模型的建立
C/N比-關鍵酶BK-丁酸之間的定量關系如式(7)所示,C/N比-關鍵酶PTB-丁酸之間的定量關系如式(8)所示.

在初始C/N比為150及更高時,丁酸激酶(BK)和磷酸轉移丁酰酶(PTB)的活性均有大幅度增加.以前的研究表明,丁酸的產生主要由糖酵解丙酮酸形成(任南琪等,2005).隨著C/N值升高到156,碳作為微生物細胞的重要組成元素,促使了細胞合成代謝速率的提高,有機質分解代謝過程中產生的部分NADH(或NADPH)能夠被厭氧微生物迅速地用于細胞合成而得以再生,所以,呈現較穩定的丁酸型發酵類型.
已有研究表明,通過調控污泥預處理液的初始 C/N 值可實現乙酸、丙酸和丁酸不同厭氧發酵類型之間的轉變.在初始C/N比為10~50時,此時發酵是乙酸型發酵.而當 C/N 值為 55~70時,此時厭氧發酵類型則轉變為丙酸型.在初始C/N比為150及更高時,此時,丙酸型發酵類型則轉變為丁酸型(任南琪等,2005).本文圖 3~5建立的曲面模型結果表明,所建立的模型能很好地反映這一趨勢,說明模型能較好地模擬C/N比調控下的污泥發酵產酸實驗結果.具體參見污水寶商城資料或http://www.dongaorq.cn更多相關技術文檔。

圖 4 C/N比、丙酸關鍵酶-甲基丙二酰CoA變位酶和不同酸產量之間的曲面模型

圖 5 C/N比、丁酸關鍵酶活和不同酸產量之間的曲面模型(a.丁酸激酶(BK),b.磷酸轉乙酰酶(PTB)
4 結論
1)采用多元非線性回歸的方法建立了不同C/N比、關鍵酶活和酸產量之間的函數關系模型.經擬合優度、顯著性和殘差平方和等指標的比較,發現二元三次多項式模型的擬合優度系數和顯著性高、殘差平方和較小,表明該模型能較好地擬合三因素之間的定量關系.
2)調節污泥水解液的C/N比分別為12、56、156,將測定的關鍵酶酶活和乙酸、丙酸、丁酸的結果代入建立的多項式模型,應用Matlab 7.0 軟件得到了相應的定量關系式和可視化的曲面模型,曲面模型的結果很好地驗證了不同C/N比條件下的產酸代謝途徑.


