厭氧消化技術目前廣泛用于污泥及高濃度有機廢水的處理并可回收沼氣, 但厭氧消化液中存在高濃度氨氮及硫化物.研究發現, 某些工業廢水如制革廢水和采礦廢水等也會產生高濃度的硫化物及氮素污染物(Guo et al., 2016).硫化物具有臭味和腐蝕性, 會嚴重影響人體健康及生活環境, 氮素污染物則是水體富營養化的主要誘因, 因此, 這些廢水排放前需除硫脫氮.近年來出現的微生物燃料電池(Microbial Fuel Cell, MFC)可在去除污染物的同時回收電能, 在廢水脫氮或廢水除硫領域具有較好的發展前景(Sun et al., 2016; Zhao et al., 2008).前期的MFC除硫多采用化學陰極, 以高錳酸鉀或鐵氰化鉀為電子受體(Cai et al., 2015; Lee et al., 2012), 易產生二次污染.以S2-作為陽極電子供體, NO3-為陰極電子受體, 可在單一的反硝化除硫MFC內分別完成陽極除硫與陰極脫氮(魏炎等, 2016), 具有處理含S2-/NH4+廢水的潛力.
值得注意的是, 廢水中的氮主要以NH4+形式存在, 采用反硝化除硫MFC處理含S2-/NH4+廢水之前, 需要先將NH4+氧化為NO3-.主要方法有:在陽極和陰極之間外接硝化反應器產生NO3-(Virdis et al., 2008); 耦合好氧生物陰極MFC和反硝化MFC, 以好氧陰極MFC產生的NO3-為反硝化MFC提供陰極電子受體(Xie et al., 2011); 直接將含NH4+廢水充氧, 在MFC陰極進行同步硝化/反硝化(Virdis et al.2010).相比而言, 在MFC陰極進行同步硝化/反硝化時, 氧作為更強的電子受體會抑制反硝化效果, 需謹慎控制陰極曝氣量.因此, 如以MFC同時進行陽極除硫與陰極硝化, 可克服化學陰極的缺點, 陰極硝化產生的NO3-還能為將來的反硝化除硫MFC提供陰極電子受體, 降低了氧對陰極反硝化的影響, 但這方面的研究目前還鮮見相關報道.
MFC除硫時, S2-在陽極被氧化為S和SO42-, 陽極微生物作用加速了S向SO42-的轉換(Sun et al., 2009).含硫廢水處理中產生的SO42-直接排入水體時, 易于在厭氧條件下重新生成S2-, 造成水體的二次污染.如定期清洗并更換陽極電極, 通過清除陽極微生物的方式減少SO42-的形成, 既有利于回收硫資源, 又能降低硫的二次污染.換水周期長短也可影響S2-氧化的產物形式, 因此, 有必要研究換水周期內的S2-轉化情況.
本研究采用MFC處理含S2-/NH4+廢水同時回收電能, 含S2-/NH4+廢水先在陽極去除S2-, 陽極出水再進入陰極完成NH4+氧化.同時, 研究不同進水S2-濃度下的除硫硝化及產電性能, 并探討不同陽極碳刷清洗周期和換水周期內的污染物去除、產電性能及陽極室硫累積情況, 為MFC處理含S2-/NH4+廢水奠定基礎.
2 材料與方法(Materials and methods) 2.1 除硫硝化MFC
雙室型除硫硝化MFC采用有機玻璃制成(圖 1), 陰、陽極室以經預處理(于景榮等, 2001)后的質子膜(Dupont, 美國)隔開.MFC的陰、陽極室的有效容積均為300 cm3, 以碳刷(新浩特, 荊州)作為電極.陰、陽極通過可調電阻箱連接成回路, 外電阻設為100 Ω.陰極室通過氣泵曝氣供氧, 陽極室通過底部的磁力攪拌器混合陽極液.除硫硝化MFC采用分批進水方式運行, 每隔11.5 h更換進水(即換水周期為11.5 h).環境溫度為(25.0±0.5) ℃.
圖 1(Fig. 1)

圖 1 除硫硝化MFC裝置示意圖
2.2 模擬廢水與接種污泥
陽極進水為含S2-/NH4+的模擬無機廢水, 其基礎營養溶液成分為:NaHCO3 8.4 g·L-1, MgCl2 4.25 mg·L-1, CaCl2 2.5 mg·L-1, 微量元素溶液1 mL·L-1(Virdis et al., 2008).另以Na2S提供陽極電子供體, NH4Cl(28 mg·L-1)作為氮源.陰極進水在第1個換水周期時的主要成分為上述基礎營養溶液(其中, NaHCO3濃度改為0.5 g·L-1)加NH4Cl(28 mg·L-1), 隨后的換水周期以陽極出水為陰極進水.陽極不接種污泥 , 陰極接種污泥取自武漢市龍王嘴污水處理廠缺氧池.
2.3 研究方案
除硫硝化MFC前期已在試驗室完成啟動.將陽極進水S2-濃度分別設定為(60.8±2.9)、(131.7±2.4)、(161.7±4.5) 和(198.1±3.1) mg·L-1進行本試驗.為抑制陽極微生物作用, 促進S的生成, 定期清洗并更換陽極碳刷.陽極出水SO42-濃度發生驟升前更換并清洗陽極碳刷, 即為一個碳刷清洗周期.每個濃度下進行2個碳刷清洗周期試驗.第1個碳刷清洗周期內, 分析各換水周期的污染物去除和產電情況, 并測定極化曲線.第2個碳刷清洗周期內, 分析最后一個換水周期中不同時間段的污染物去除及產電情況, 最后取出陽極碳刷和陽極液測定碳刷清洗周期內的沉積硫累積量.對應每個進水S2-濃度設置3組無菌對照試驗, 對照1的陰、陽極開路且陰極不曝氣, 對照2的陰、陽極閉路但陰極不曝氣, 對照3的陰、陽極閉路且陰極曝氣.每組對照重復3個換水周期, 探究除硫硝化MFC的兩極反應途徑.對照試驗前, MFC裝置采用紫外滅菌燈照射20 min, 模擬廢水的基礎溶液先通過121 ℃滅菌處理, 再以0.22 μm濾頭過濾加入相應的S2-和NH4+, 進水方式與前述試驗相同.
2.4 測試與分析方法
S2-和NH4+-N采用標準方法分析(國家環境保護局, 2002), SO42--S、NO3--N和NO2--N采用ICS-900型離子色譜儀(Dionex, 美國)測定.沉積硫參照文獻方法測定(Jiang et al., 2009).采用UT71D萬用電表每4 min記錄一次輸出電壓U, 根據歐姆定律計算相應的電流I及功率密度P.通過穩態放電法擬合MFC極化曲線(梁鵬等, 2007).陽極庫侖效率CE采用式(1) 計算, 實際電荷量CA采用式(2) 計算, 理論釋放電荷量CT采用式(3) 計算.
(1)
(2)
(3)
式中, 240為記錄時間間隔(s), U為電壓(V), R為外阻值(100 Ω), F為法拉第常數(96485 C·mol-1), V為陽極或陰極周期換水量(0.3 L), n1=2, △C1為陽極進出水S2-濃度差(g·L-1), n2=6, △C2為陽極進出水SO42-濃度差(g·L-1), M為硫的摩爾質量(32 g·mol-1).
采用ULTRA plus型電子顯微鏡(Zeiss, 德國)觀察陽極碳纖維絲沉積物形態.(131.7±2.4) mg·L-1 S2-濃度下第1個清洗周期結束后, 離心分離陽極碳纖維絲及懸浮液沉積物, 冷凍干燥后采用ESCALAB 250Xi型X-射線光電子能譜(XPS) (Thermo Fisher, 美國)分析S2-氧化后的價態分布.以非單色化的Mg Kα X-射線(1253.6 eV)作為激發源, 分析室底真空度低于1×10-8 Pa, 以石墨C1s結合能284.3 eV作為標準對其它譜線校正.分峰擬合時, 采用Shirley本底扣除法對包絡峰扣除本底, Gauss-Lorentz混合型函數對譜峰解疊化.
3 結果與討論(Results and discussion) 3.1 除硫硝化MFC的反應機理分析
如表 1所示, 對照3(即無菌對照MFC)中產生了電量, 表明除硫硝化MFC可通過非生物電化學作用產電.相同進水濃度下對照1、2、3的陽極S2-去除率依次增加, 對照1中未檢測到SO42-, 而對照2和3中形成了少量SO42-(一般約2.2~8.2 mg·L-1), 這是由于不同對照試驗中發生的陽極反應不同.好氧陰極MFC中, 氧能透過質子膜從陰極室向陽極室滲漏(Chae et al., 2008), 進而對陽極S2-的氧化去除產生影響.對照1只能存在S2-的自發化學氧化, 對照2存在S2-的自發化學氧化和好氧化學氧化, 對照3則存在S2-的自發化學氧化、好氧化學氧化和非生物電化學氧化.正常運行的除硫硝化MFC中還存在微生物作用.不同對照中的SO42-累積量不同則表明自發化學氧化不會形成SO42-, 而好氧氧化和自發電化學作用可形成少量SO42-.進水S2-濃度為(61.5±2.3) mg·L-1時, 對照3的SO42-累積高達(15.4±3.0) mg·L-1, 則是由于陽極S2-幾乎耗盡( < 3.0 mg·L-1), 陰極非生物電化學作用仍需從陽極索取電子, 推動了硫向高價態氧化.Sun等(2009)得出了與此不同的結論:非生物電化學作用難于將S2-氧化為SO42-, 將S2-氧化為SO42-需要微生物作用完成.其可能原因在于:Sun等(2009)采用了表面積較小的陽極材料(親水碳紙), S2-氧化為S和低價硫化合物能夠為陽極提供充足的電子, 非生物電化學作用將S和低價硫化合物進一步氧化為SO42-的推動力不足.
表 1(Table 1)
表 1 無菌對照試驗的S2-轉化及產電量

無菌對照試驗中未發現陰極硝化作用(數據未列出), 但除硫硝化MFC的陰極硝化完全, 說明NH4+的氧化只能通過硝化菌完成.據報道(Freguia et al., 2010; You et al., 2009), MFC好氧生物陰極中可同時存在硝化菌和好氧電活性微生物, 硝化菌不參與電化學反應, 但電活性微生物能以氧為電子受體氧化由陽極傳遞來的電子, 進而提高MFC的產電能力.在前期完成的除硫硝化MFC啟動過程中, 觀察到周期產電量從初期的20 C逐步上升到60 C, 則是電活性微生物逐步增殖并提高產電能力的反映.
比較發現, 相近進水S2-濃度下表 2中的產電量明顯高于表 1中對照3的產電量, 這是因為無菌對照條件下MFC只通過非生物電化學作用產電(表 1), 而正常運行的MFC通過非生物電化學作用和生物電化學作用共同產電(表 2).相近進水S2-濃度下, 對照3產電量(表 1)與MFC產電量(表 2)的比值可近似看作非生物電化學產電量占MFC產電量的比例.根據第1換水周期的產電量, 計算出非生物電化學產電量占MFC產電量的34.9%±7.1%.
表 2(Table 2)
表 2 不同進水S2-濃度下MFC的污染物去除

3.2 不同進水S2-濃度下陽極碳刷清洗周期內的MFC性能 3.2.1 陽極碳刷清洗周期內MFC的污染物去除性能
如表 2所示, S2-去除負荷隨進水S2-濃度的增加而增加, 但進水S2-濃度為(161.7±4.5) mg·L-1時第1周期出水有少量S2-殘余(4.4 mg·L-1), 進水S2-濃度為(198.1±3.1) mg·L-1時各周期出水均有較多的S2-殘余(20.1~35.2 mg·L-1), 表明進水S2-濃度不宜超過161.7 mg·L-1.陽極出水SO42-濃度隨換水周期數及進水濃度的增加而增加.進水S2-濃度為(60.8±2.9)、(131.7±2.4)、(161.7±4.5)、(198.1±3.1) mg·L-1時, 根據SO42-驟升確定相應的碳刷清洗周期分別為3、3、3和4個換水周期.本研究中陽極未接種污泥, 但陽極進水也未滅菌處理, 因此, MFC長期運行過程中仍可能引入硫氧化菌, 并在陽極室器壁及質子膜上繁殖.與無菌對照試驗相比(表 1), 相近進水濃度下MFC的S2-去除率和SO42-產量更高.其主要原因在于:① 陽極室器壁及質子膜上硫氧化菌的生物氧化作用加速了S2-的去除和SO42-的生成; ② 陰極電活性微生物的電化學作用推動了陽極S2-的去除和SO42-的生成.
改變陽極S2-進水濃度對陰極硝化效果無影響, 各濃度下陰極出水NH4+-N及NO2--N的濃度低于檢測限, 硝化完全(數據未列出).這是因為由陽極傳遞到陰極的電子主要通過生物和非生物電化學作用被氧化(而不是被硝化菌利用), 硝化菌不參與陰極電化學反應, 其硝化效果主要與供氧量有關.試驗發現, 換水周期結束時MFC陽極室存在顯著的NH4+損失(損失率約35.2%~58.0%).由于陽極室沒有接種污泥, 且進水pH維持在中性, 推測NH4+由陽極室透過質子膜向陰極室發生了遷移并被氧化為NO3-. Kim等(2008)在MFC研究中也發現了NH4+由陽極室向陰極室的遷移.
3.2.2 陽極碳刷清洗周期內MFC的產電性能
如圖 2a所示, 最大功率密度隨著陽極進水S2-濃度的增加而提升, 陽極進水S2-濃度為(60.8±2.9)、(131.7±2.4) 和(161.7±4.5) mg·L-1時, 最大功率密度分別為3.39、4.15和5.77 W·m-3, 相應的周期產電量分別為(60.0±0.4)、(107.7±5.1) 和(141.0±5.2) C(根據表 2統計). Zhao等(2008)以MFC處理含SO42-廢水時也發現, MFC電流一定程度上取決于S2-濃度的高低.當陽極進水S2-濃度從(161.7±4.5) mg·L-1上升到(198.1±3.1) mg·L-1時, 最大功率密度僅增加0.57 W·m-3.如圖 2b所示, 進水S2-濃度由(60.8±2.9) mg·L-1提高至(131.7±2.4) mg·L-1時, 陽極庫侖效率由21.5%±3.3%增加到32.9%±4.3%.但當進水S2-濃度進一步提高到(161.7±4.5) 和(198.1±3.1) mg·L-1時, 陽極庫侖效率反而下降.可能原因是:陽極碳刷上的電子接受點位和陰極電活性微生物的電子消耗能力有限, 更多比例的S2-主要通過化學氧化作用及生物氧化作用得以去除, 生物氧化由陽極室器壁和質子膜上的硫氧化菌催化完成.在MFC陽極同時去除S2-與NO3-時也發現了高濃度S2-條件下陽極庫侖效率低的現象(Cai et al., 2013).
圖 2(Fig. 2)

圖 2 不同進水S2-濃度下MFC的功率密度曲線(a)和陽極庫侖效率(b)
相同進水S2-濃度下, 同一洗滌周期內陽極庫侖效率隨換水周期的增加而減少.這是因為隨著換水周期增加, 碳刷上的沉積硫增加, 阻礙了電化學反應的進行(Sun et al., 2009).進水S2-濃度為(198.1±3.1) mg·L-1時, 產電量由第1周期的163.0 C逐步下降到第5周期的79.1 C(表 2), 陽極庫侖效率也隨運行周期數的增加快速下降(圖 2b).陽極出水作為下一周期陰極進水時, 殘余的S2-可能對陰極電活性微生物產生抑制作用(Lee et al., 2012), 表明進水S2-濃度不宜超過(161.7±4.5) mg·L-1.本研究中陽極庫侖效率總體較低( < 40%), 原因在于:氧透過質子膜從陰極室向陽極室滲漏(Chae et al., 2008), 進而引起S2-的化學氧化.后期研究中需合理控制陰極曝氣量, 或外接硝化反應器完成硝化作用(Virdis et al., 2008).綜合污染物去除及產電性能, 進水S2-濃度設為(161.7±4.5) mg·L-1較為適宜, 相應的S2-去除負荷為(0.31±0.00) g·L-1·d-1, 周期產電量為(141.0±5.2) C.
3.3 不同進水S2-濃度下換水周期內的MFC性能 3.3.1 換水周期內MFC的污染物去除性能
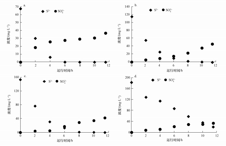
如圖 3所示, 進水S2-濃度為(60.8±2.9)、(131.7±2.4) 和(161.7±4.5) mg·L-1條件下的第3、3和3個換水周期內, S2-耗盡( < 0.5 mg·L-1)的時間依次為6、8和8 h, 與此同時陰極NH4+和NO2-均低于檢測限, 硝化完全(數據未列出).但進水S2-濃度增加至(198.1±3.1) mg·L-1時, 11.5 h后仍有S2-殘余(20.8 mg·L-1).Cai等(2013)也發現陽極S2-在5 h內從61.5 mg·L-1降至1.0 mg·L-1.如3.1節所述, 好氧化學氧化、非生物電化學反應及微生物反應共同催化了SO42-的生成.每個進水濃度下換水2 h內即有SO42-生成(4.0~18.5 mg·L-1), 表明MFC陽極難于使S2-全部氧化為S.每個進水濃度下SO42-濃度隨運行時間緩慢增加, 待S2-耗盡后, 生成的S仍繼續氧化生成SO42-, 硫素平衡分析可知S2-耗盡時S生成量接近最大值.
圖 3(Fig. 3)

圖 3 不同進水S2-濃度下最后一個換水周期內的S2-和SO42-濃度變化(a.(60.8±2.9) mg·L-1條件下的第3個周期, b.(131.7±2.4) mg·L-1條件下的第3個周期, c.(161.7±4.5) mg·L-1條件下的第3個周期, d.(198.1±3.1) mg·L-1條件下的第4個周期)
3.3.2 換水周期內MFC的產電性能
如圖 4所示, 各進水濃度下的MFC輸出電壓和陽極電勢與陽極S2-濃度密切相關.結合圖 3與圖 4發現, 陽極S2-濃度低于6.2~17.4 mg·L-1時, 陽極電勢上升至-23~-70 mV, 電壓值開始快速下降.陽極S2-耗盡( < 0.5 mg·L-1)時, 陽極電勢變為正值, 但電壓并未降至0 mV(16~31 mV), S通過電化學作用進一步氧化成SO42-是MFC繼續產電的原因.由圖 4a可知, 每個進水S2-濃度下最后1個運行周期內MFC的輸出電壓總體呈先上升后下降的趨勢, 更換廢水后MFC需重新適應相應濃度的水質, 因此, 初始電壓并非最高值, 后期隨著S2-的消耗則電壓逐步下降.進水S2-濃度為(198.1±3.1) mg·L-1時, 后期未出現電壓下降, 則是由于11.5 h后仍有充足的電子供體S2- (20.8 mg·L-1).以硫化物和葡萄糖為陽極基質的MFC分批試驗中存在類似的電壓變化趨勢(Zhang et al., 2009).增加進水濃度有利于MFC電壓升高并延長穩定產電時間.進水S2-濃度為(60.8±2.9)、(137.1±2.4) 和(161.7±4.5) mg·L-1時, 換水周期內穩定電壓的持續時間分別為4、6和6 h, 相應的最高電壓分別為371、447和496 mV.進水S2-濃度升為(198.1±3.1) mg·L-1時, 11.5 h后仍可穩定產電( > 377 mV), 但上個換水周期陽極出水殘余的S2-進入陰極后會抑制陰極反應, 導致最高電壓回降到419 mV.綜合MFC的產電與污染物去除情況, 進水S2-濃度為(60.8±2.9)、(137.1±2.4) 和(161.7±4.5) mg·L-1時的換水周期時間可分別縮短為6、8和8 h.
圖 4(Fig. 4)

圖 4 不同進水S2-濃度下最后1個換水周期內的電壓(a)和陽極電勢(b)變化
3.4 MFC陽極的硫累積
SEM觀察發現(圖 5), 空白碳纖維絲表面較光滑, 陽極碳纖維絲上聚積有顆粒狀物質, 結構較松散, 顆粒物呈圓形, 粒徑較均勻, 大小約100 nm, 推測為顆粒硫.與其他研究者(遠野等, 2014)觀察到的的生物硫粒形態相似, 但顆粒更細.圖 5b中還觀測到陽極碳纖維絲上沉積物較厚時, 沉積物有明顯的脫落現象, 這意味著碳纖維絲作為陽極電極材料將有利于后期的沉積硫清除與回收.
圖 5(Fig. 5)

圖 5 陽極碳纖維絲FESEM圖(a.空白碳纖維絲, ×1000; b.陽極碳纖維絲, ×1000; c.陽極碳纖維絲, ×10000;d.陽極碳纖維絲, ×50000)
XPS是重要的元素分析技術, 可用于分析硫在化合物中的狀態及結合方式.如圖 6所示, MFC陽極沉積物和懸浮物的XPS S2p譜圖上有2個特征峰, 這2個峰的歸屬通過與文獻譜圖比較后而得到確認(https://srdata.nist.gov/xps/).159~166 eV處的寬峰通過解疊化分成一個雙峰和一個單峰:在161.5 eV和162.6 eV處的S2p3/2-1/2雙峰屬于S2-, 而163.2 eV處的S2p3/2單峰被歸于S0, 168.2 eV處的S2p3/2寬峰則是S6+的特征峰.陽極懸浮物XPS各個峰S6+:S0:S2-的相對峰面積比為1:0.42:0.31, 陽極沉積物的S6+:S0:S2-的相對峰面積比為1:0.11:0.06.懸浮物與沉積物相比, 懸浮物中S0含量比例較高, 而沉積物中S6+比例較高.可能是硫化物及硫沉積在碳纖維絲后易于進一步氧化, 因此, 如何控制碳纖維絲上的硫進一步氧化是回收硫的關鍵.Sun等(2009)采用以碳紙為陽極的MFC處理含S2-廢水的研究發現, 在進水S濃度為133 mg·L-1條件下, 48 h時非生物MFC陽極沉積物中S6+:S0:S2-的相對峰面積比為1:0.93:0.46;隨著時間延長, S0比例增加而S2-比例減小.相比本試驗采用的碳刷陽極, Sun等(2009)采用的碳紙陽極具有較小表面積和較少的電化學作用位點, 使S0和S2-氧化為S6+的電化學推動力低于本研究, 因此, 其S0和S2-比例高于本試驗結果.
圖 6(Fig. 6)

圖 6 陽極懸浮物(a)和碳刷沉積物(b)的XPS能譜
試驗中未檢測到SO32-, S2O32-也低于1 mg·L-1, 陽極S2-氧化的主要產物為S和SO42-.通過各清洗周期內的硫素平衡, 可計算實測顆粒硫量與S2-去除量的比值, 即顆粒硫累積比(表 3).發現顆粒硫累積比隨著進水S2-總質量的增加而增加.這是因為增加進水S2-濃度可提高溶液電導率, 促進S2-通過電化學作用被氧化為顆粒硫, S2-提供的電子供體充足時還可抑制顆粒硫的進一步氧化.進水S2-濃度為(161.7±4.5) mg·L-1時的顆粒硫累積比可達58%, 繼續增加進水S2-濃度可提高顆粒硫累積比, 但陽極出水S2-殘余明顯(每清洗周期殘留17.8 mg).為避免陽極出水中的S2-進入陰極室后抑制陰極反應, 陽極進水S2-濃度不宜超過(161.7±4.5) mg·L-1.
表 3(Table 3)
表 3 不同進水S2-濃度下碳刷清洗周期內硫積累情況

1) 除硫硝化MFC可用于含S2-/NH4+廢水的同步陽極除硫和陰極硝化, 通過非生物電化學作用和生物電化學作用共同產電, 非生物電化學產電量占MFC產電量的34.9%±7.1%.具體參見污水寶商城資料或http://www.dongaorq.cn更多相關技術文檔。
2) 進水S2-濃度為(60.8±2.9)、(131.7±2.4)、(161.7±4.5) 和(198.1±3.1) mg·L-1時, 最佳陽極碳刷清洗周期分別為3、3、3、4個換水周期, 前3個濃度下的換水周期可分別縮短為6、8和8 h.
3) MFC陰極硝化完全, 不受進水S2-濃度影響, 但氧從陰極向陽極的滲漏導致陽極庫侖效率較低( < 40%).適當增加進水S2-濃度有利于提高S2-去除負荷、顆粒硫累積比和產電性能.適宜的進水S2-濃度為(161.7±4.5) mg·L-1, 相應的S2-去除負荷、顆粒硫累積比、最大功率密度和周期產電量分別為(0.31±0.00) g·L-1·d-1、58%、5.77 W·m-3和(141.0±5.2) C.
4) MFC陽極碳纖維絲上聚積有明顯的顆粒硫沉積物, 粒徑約100 nm.陽極懸浮物與沉積物相比, 懸浮物中S0含量比例較高, 而S6+含量比例較低.


