國內外在解決城市缺水問題時,會將污水廠尾水作為二次水源回用于城市內河和作為地下水源的補充水.城市內河多為城市的納污河,多數執行《地表水環境質量標準》(GB3838—2002)IV類(TN 1.5 mg · L-1)和V類(TN 2.0 mg · L-1)標準.但污水廠排水執行《城鎮污水處理廠污染物排放標準》(GB18918—2002)一級A標準,TN排放限值為15 mg · L-1,遠遠不能滿足城市內河IV類和V類標準及地下水源補充水的要求.因此,當污水廠尾水作為城市內河和地下水源補充水時,亟需對其TN進行深度處理以提供高再生水品質.GB18918—2002中NH4+-N和TN的一級A標準排放限值分別為5 mg · L-1和15 mg · L-1,二者相差10 mg · L-1,表明硝態氮是污水廠尾水中氮的主要形態(劉成等,2011;劉秀紅等,2013),成為TN深度處理的重點.
近年來,污水廠尾水深度處理工藝發展迅速,主要有曝氣生物濾池、超濾及其組合工藝、接觸過濾/磁性樹脂工藝、MBBR(Moving Bed Biofilm Reactor)工藝等,其中,MBBR工藝因具有脫氮性能高、抗沖擊負荷強、運行簡單、管理方便等優勢逐漸成為脫氮工藝研究的熱點,并廣泛應用于生活污水脫氮.挪威3個MBBR污水廠的運行數據顯示,11 ℃時硝化速率高達1.2 g · m-2 · d-1(以NH4+-N計),反硝化速率達3.5 g · m-2 · d-1(以NO3--Nequiv.計).Labelle等(2005)以聚乙烯為填料,利用反硝化MBBR處理海水中的硝氮,反硝化速率達(17.7±1.4)g · m-2 · d-1(以N計).Rusten等(1995)對比研究了MBBR前置和后置的反硝化效果,發現后置反硝化對COD和TN的去除效果更好,去除率分別達到80%和90%.王慶等(2012)采用厭氧MBBR-好氧MBR工藝處理高氨氮PU合成革廢水,在進水NH4+-N濃度小于40 mg · L-1和TN濃度為150~300 mg · L-1條件下,出水濃度分別低于8 mg · L-1和15 mg · L-1.
在MBBR應用中,填料的選擇尤為重要,要求填料具有機械強度高、耐磨耐腐蝕、密度稍小于水,當掛上生物膜后密度與水相當,可以懸浮于水中,以及比表面積大、表面粗糙、利于微生物附著等特點.國內外研究者多采用聚乙烯、聚丙烯、聚氨酯泡沫體和陶粒等作為MBBR填料處理工業廢水、生活污水和海水等,并實現了工程化應用.
國內外各研究和工程應用中,MBBR多用于處理高濃度廢水,應用于污水深度處理的研究較少,并且低負荷下,填料的選擇也會影響生物膜的活性,何種填料適合污水廠尾水的脫氮也是亟需解決的問題.因此,為解決污水廠一級A尾水作為缺水城市內河補充水和地下水源補充水TN難于達標的問題,針對城市污水廠一級A排水中NO3--N含量高(約60%)的特點.本研究擬采用MBBR對污水廠一級A排水中的NO3--N進行深度處理,并對MBBR填料種類進行比較研究,達到高效去除NO3--N、提高TN去除率的目的,為污水廠尾水回用于城市內河和作為地下水源補充水提供理論依據.
2 材料與方法(Materials and methods) 2.1 試驗裝置
MBBR反硝化反應器為有機玻璃制成的圓柱體,內徑120 mm,高500 mm,反應器底部為錐形(0.38 L),反應器總體積6.03 L,有效體積5.65 L,工藝流程如圖 1所示,4套工藝裝置同時運行.采用聚乙烯、聚丙烯、聚氨酯泡沫和陶粒4種填料進行MBBR脫氮對比試驗,填料的參數如表 1所示.

圖 1 MBBR反硝化裝置圖
表1 填料參數
2.2 試驗設計和運行條件
試驗分為兩個階段,反應器啟動馴化階段(1~33 d)和穩定運行階段(34~52 d).穩定運行階段對比4種填料下MBBR 對NO3--N、TN和有機污染物的去除效能,篩選出最優填料.
運行條件:反應器溫度用加熱棒控制為24~26 ℃;4個MBBR反應器采用蠕動泵(BT100-1L)連續進排水方式運行,HRT為12 h,填料填充率為30%,攪拌速率控制在30 r · min-1;以甲醇作為補充碳源,投加量為25.5 mg · L-1,COD/N比為3~6.
2.3 污泥接種和進水水質
反應器接種污泥取自北京市某水廠卡魯塞爾3000氧化溝的缺氧段,接種污泥MLSS為7000 mg · L-1,MLVSS為3549 mg · L-1,MLVSS/MLSS為0.507,SV為66%、SVI為94 mL · g-1.接種污泥投加量為2 L,并加入4 L污水.試驗進水為某水廠二沉池出水,其水質如表 2所示.
表2 進水水質
2.4 主要儀器與分析方法
試驗中測定的水質指標、所用儀器和分析方法如表 3所示.水樣經0.45 μm濾膜過濾,測定TN、NO2--N、NO3--N和三維熒光.試驗中,每2 d取樣1次并測定,測定指標為進出水的pH、溫度、COD、NH4+-N、NO2--N和NO3--N和TN濃度.分析測試所用藥劑均為化學分析純試劑.
表3 分析方法和主要儀器
2.5 填料生物量測定和SEM觀察
生物量測定:穩定運行階段,取一定量的生物填料浸沒于20 mL 1 mol · L-1的NaOH溶液中,80 ℃水浴 30 min,100 W超聲1 min,渦旋振蕩30 s,測定溶液中SS.
SEM觀察:穩定階段取適量掛膜填料,從填料上剪下約5 mm×5 mm的帶有生物膜的小塊,經過戊二醛固定、磷酸緩沖液清洗、乙醇梯度脫水等預處理后進行臨界點干燥和離子濺射金,最后進行掃描電鏡觀察.
3 結果與討論(Results and discussion) 3.1 不同填料下MBBR中NO3--N去除效能比較
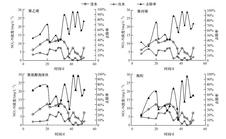
城市污水廠尾水中NO3--N去除情況是考察不同填料MBBR運行效果的重要指標,不同填料下MBBR的NO3--N去除效能如圖 2所示.由圖 2可知,在啟動階段,各MBBR反應器的NO3--N去除率隨進水NO3--N濃度的變化而變化,尚不穩定,進水NO3--N濃度為6.2~12.4 mg · L-1時,聚乙烯、聚丙烯和陶粒填料MBBR的NO3--N平均去除率均較低,在30%~40%之間;而聚氨酯泡沫體填料的NO3--N去除率較高,為29.3%~76.9%,平均為54.4%.這可能是因為聚氨酯泡沫體比表面積較大(2000 m2 · m-3),內部網絡結構有利于微生物的附著(郭靜波等,2008),生物量高于其他填料,因此,在啟動階段表現出較好的NO3--N去除能力.
圖 2(Fig. 2)

圖 2 聚乙烯、聚丙烯、聚氨酯泡沫體和陶粒MBBR對NO3--N的去除效果
在穩定運行階段,各MBBR反應器NO3--N去除率相對較為穩定.進水NO3--N濃度為2.2~12.4 mg · L-1(表 2),聚乙烯MBBR出水NO3--N濃度為0.2~2.6 mg · L-1,平均濃度為1.3 mg · L-1,NO3--N去除率為52.4%~ 95.1%,平均去除率為74.7%;聚丙烯MBBR出水NO3--N濃度為0.2~2.4 mg · L-1,平均濃度為1.2 mg · L-1,NO3--N去除率為56.3%~97.0%,平均去除率為76.3%;聚氨酯泡沫體MBBR出水NO3--N濃度為0.1~3.7 mg · L-1,平均濃度為1.7 mg · L-1,NO3--N去除率為31.7%~96.7%,平均去除率為68.2%;陶料MBBR出水NO3--N濃度為0.2~4.7 mg · L-1,平均濃度為4.2 mg · L-1,NO3--N去除率為11.4%~96.2%,平均去除率為57.5%.
Stinson等(2009)采用MBBR進行反硝化處理,當模擬進水NO3--N濃度為5.1 mg · L-1時,出水NO3--N濃度為0.5 mg · L-1,這與本研究各填料MBBR 的NO3--N去除效果一致.
對穩定運行階段各填料MBBR進出水NO3--N平均濃度和NO3--N平均去除率進行比較(圖 3).在進水NO3--N平均濃度為5.9 mg · L-1條件下,聚丙烯填料MBBR出水NO3--N平均濃度(1.2 mg · L-1)最低,去除率(76.3%)最高,其次是聚乙烯MBBR(74.7%)和聚氨酯泡沫體MBBR(68.2%),陶粒MBBR的去除率最低(57.5%).表明在反應器穩定運行階段,聚丙烯和聚乙烯填料MBBR的運行效果優于其他兩種填料,聚丙烯和聚乙烯處理效果接近.

圖 3 各填料MBBR進出水NO3--N平均濃度和NO3--N平均去除率
Stinson等(2009)利用聚乙烯填料MBBR處理模擬生活污水,當填充率為30%、溫度為20~24 ℃、進水NO3--N濃度為5.1 mg · L-1時,出水NO3--N濃度為0.5 mg · L-1,NOx-N(NO2--N和NO3--N之和)負荷為1.3~1.6 g · m-2 · d-1,NOx-N去除率為90%.本研究進水為實際污水廠尾水,進水水質波動性較大,且水質較模擬水更為復雜,NO3--N平均負荷為24.6 g · m-2 · d-1,也遠遠高于上述文獻中的負荷,因此,本研究中NO3--N平均去除率相對較低.
Welander等(1998)以聚丙烯PP Natrix 6/6為MBBR填料處理垃圾滲濾液,最大反硝化速率達15.7 g · m-2 · d-1,Marianne等(2006)利用聚丙烯填料處理封閉海水,最大反硝化速率為27 g · m-2 · d-1.本文中聚丙烯填料MBBR的最大反硝化速率23.0 g · m-2 · d-1,與上述文獻數值接近.
3.2 不同填料下 MBBR中TN 去除效能比較
各填料MBBR的TN去除效能如圖 4所示.啟動階段,進水TN濃度為9.0~15.2 mg · L-1,聚乙烯、聚丙烯和陶粒填料MBBR的TN去除率均較低,在35%~40%之間;聚氨酯泡沫體填料的TN平均去除率較高,為23.3%~ 79.0%,平均為47.0%.這與NO3--N的去除規律相似,亦得益于聚氨酯泡沫體內豐富的微生物.

圖 4 聚乙烯、聚丙烯、聚氨酯泡沫體和陶粒下MBBR的TN去除效果
穩定階段,MBBR進水TN濃度為7.5~13.3 mg · L-1,聚乙烯填料MBBR出水TN濃度為2.8~7.0 mg · L-1,平均濃度為4.9 mg · L-1,TN去除率為26.2%~75.4%,平均去除率為46.9%;聚丙烯填料出水TN濃度為2.4~6.8 mg · L-1,平均濃度為4.5 mg · L-1,TN去除率為30.7%~79.8%,平均去除率為50.8%;聚氨酯泡沫體填料出水TN濃度為2.1~7.9 mg · L-1,平均濃度為5.0 mg · L-1,TN去除率為19.2%~82.4%,平均去除率為46.1%;陶粒填料出水TN濃度為2.7~8.5 mg · L-1,平均濃度為5.8 mg · L-1,TN去除率為11.8%~66.0%,平均去除率為38.2%.各填料MBBR的TN去除率從大到小依次為聚丙烯(50.8%)、聚乙烯(46.9%)、聚氨酯泡沫體(46.1%)和陶粒(38.2%).
對穩定運行階段各填料MBBR進出水TN平均濃度和TN平均去除率進行比較(圖 5).在進水TN平均濃度為9.7 mg · L-1的條件下,聚丙烯填料MBBR出水TN平均濃度最低(4.5 mg · L-1),去除率最高(50.8%),其次是聚乙烯MBBR(46.9%)和聚氨酯泡沫體MBBR(46.1%),陶粒MBBR的TN去除率最低(38.2%).表明在反應器穩定運行階段,聚丙烯填料MBBR的運行效果較優.

圖 5 各填料MBBR進出水TN平均濃度和TN平均去除率
3.3 不同填料下MBBR中有機污染物去除效能比較
本試驗根據多段活性污泥法甲醇投加量計算 公式,結合進水NO3--N濃度(平均濃度為8.3 mg · L-1)計算出甲醇投加量為25.5 mg · L-1.穩定運行階段各填料MBBR進水COD平均值為48.2 mg · L-1,出水COD平均值均小于30 mg · L-1(分別為28.1、25.6、29.4和26.9 mg · L-1),滿足GB3838-2002地表水IV類標準限值(30 mg · L-1).
利用三維熒光研究不同填料下MBBR對有機物的去除效能,結果如圖 6所示.各MBBR進出水主要有兩個熒光區,分別代表類溶解性微生物代謝產物(SMP)和易生物降解有機物BOD5,其熒光中心強度分別為I280/350和I230/345,屬于典型城市污水中的熒光類物質,可能來源于蛋白質類物質.

圖 6 不同填料MBBR進出水三維熒光圖譜
MBBR進水和不同填料下MBBR出水中均含有SMP,但各填料MBBR出水中的I280/350值均小于進水,排序為:MBBR進水(1764)>聚氨酯泡沫體MBBR出水(1560)>聚乙烯MBBR出水(1498)>聚丙烯MBBR出水(1460)>陶粒MBBR出水(1414),表明部分SMP可以被MBBR內微生物降解利用(Barker et al., 1999),MBBR反硝化脫氮時對尾水中的SMP也能進一步去除,且陶粒和聚丙烯MBBR的去除效能更好.
水中另一類物質是BOD5,各填料下MBBR出水的I230/345均小于進水,排序為:MBBR>聚氨酯泡沫體MBBR(2664)>聚乙烯MBBR(2280)>聚丙烯MBBR(2046)>陶粒MBBR(1819),但差別不大,陶粒和聚丙烯MBBR的BOD5去除效能更好.
3.4 不同填料下MBBR的生物量及微生物特性
在穩定運行階段的第48 d,采集4個反應器的填料進行生物量測定和SEM觀察.聚乙烯、聚丙烯、聚氨酯泡沫體和陶粒4種填料下MBBR的生物量分別為3.29、4.81、89.41和14.40 mg · g-1(表 4).已有研究表明,10 mm×10 mm×10 mm聚氨酯泡沫體的生物量為67 mg,聚乙烯填料生物量為0.95~5.00 mg · g-1,陶粒填料生物量為30 mg · g-1.本研究MBBR中聚乙烯和陶粒填料生物量分別為3.29 mg · g-1和14.40 mg · g-1,與上述研究結果接近.
表4 各填料下MBBR生物量
對比4種填料下MBBR的生物量(表 4),聚氨酯泡沫體的生物量最高(89.41 mg · g-1),這是因為聚氨酯泡沫體比表面積為2000 m2 · m-3(表 1),遠遠高于聚乙烯(620 m2 · m-3)、聚丙烯(460 m2 · m-3)和陶粒(3.5~4.0 cm2 · g-1).聚氨酯泡沫體內部存在大量的微孔通道,微生物不僅可以在填料表面生長,還可以在填料內部繁殖,相對于只能在表面附著的聚乙烯和聚丙烯,生物量大大增加,這也是啟動期聚氨酯泡沫體MBBR對NO3--N、COD和TN去除率明顯高于其他填料MBBR的原因.但在穩定期聚氨酯泡沫體填料MBBR反硝化效能(NO3--N去除率68.2%)低于聚丙烯填料MBBR(NO3--N去除率76.3%),可能是因為聚氨酯泡沫體填料內部無機灰分的積累,不利于傳質,從而使生物活性降低.郭靜波等(2008)發現聚氨酯泡沫填料表面灰分占40.4%,填料內部灰分占70%以上,嚴重阻礙了填料的傳質效果,影響了生物膜活性.
由圖 7可知,4種填料附著的微生物均以球菌、桿菌和絲狀菌為主,聚乙烯填料上的球菌最多;聚丙烯填料上球菌、桿菌和絲狀菌共生在一起,絲狀菌發達,使生物膜更加密實;聚氨酯泡沫體填料上生物膜相對稀疏,不如聚丙烯填料上的生物膜致密;陶粒填料上微生物較為分散,并且粘性物質較多.4種填料的微生物種類豐富,系統穩定,且反硝化菌多為球菌與桿菌,與已有研究相一致,其中以聚丙烯填料上的微生物最為豐富和致密.

圖 7 聚乙烯(a1.×3000,a2.×8000)、 聚丙烯(b1.×2000,b2.×8000)、 聚氨酯泡沫體(c1.×5000,c2.×8000)和陶粒(d1.×5000,d2.×8000)填料SEM圖
3.5 MBBR填料篩選
由3.1及3.2節可知,聚丙烯和聚乙烯MBBR的脫氮效能較好(其NO3--N和TN的去除率分別為76.3%和50.8%、74.7%和46.9%),高于聚氨酯泡沫體和陶粒(其NO3--N和TN的去除率分別為68.2%和46.1%、57.5%和38.2%);而COD和三維熒光圖譜表明,聚丙烯和陶粒對有機污染物的去除效果最優,電鏡觀察聚丙烯填料上微生物最為豐富和致密.綜上,最終篩選出聚丙烯為MBBR反硝化脫氮的最優填料,可以作為后續MBBR填料填充率優化試驗的對象.聚丙烯填料為多面空心球,內有24片球瓣翼片,該結構有利于微生物的附著生長,孔隙率也較大,密度略小于水,掛膜后懸浮在水中,當反應器曝氣或攪拌時,填料在水中呈流化狀態,具有良好的過水、通氣性能,不易發生堵塞,動力消耗低.利用聚丙烯作為好氧MBBR填料,反應器即使在高有機負荷和高氨氮負荷條件下依然表現出較強的脫氮能力,附著在載體上的生物相較豐富,可以觀察到較多的絲狀菌,大量的鐘蟲、纖毛蟲等原生動物,以及少量的輪蟲、線蟲等微型后生動物.
4 結論(Conclusions)
采用反硝化MBBR反應器處理實際污水廠一級A尾水,在pH值為7.1~7.9、溫度為24~26 ℃、HRT為12 h、甲醇投加量為25.5 mg · L-1、填料填充率為30%、進水TN濃度為7.5~13.3 mg · L-1、NO3--N濃度為2.2~12.4 mg · L-1的條件下,對聚乙烯、聚丙烯、聚氨酯泡沫體和陶粒4種填料下MBBR的脫氮效能進行比較,穩定運行階段結果表明:
1)聚丙烯填料MBBR的NO3--N和TN去除率最高(分別為76.3%和50.8%),其次是聚乙烯MBBR(74.7%和46.9%)和聚氨酯泡沫體MBBR(68.2%和46.1%),陶粒的去除率最低MBBR(57.5%和38.2%).表明聚丙烯填料MBBR的運行效能優于其它3種填料MBBR,最大反硝化速率可達10.6 g · m-2 · d-1(以NO3--N計).
2)各填料下MBBR出水COD平均值滿足GB3838—2002地表水IV類標準限值(30 mg · L-1).三維熒光圖譜顯示,MBBR進水和各填料MBBR出水中均含有溶解性微生物產物MBBR和BOD5,MBBR對上述物質均能部分去除,其中,陶粒和聚丙烯MBBR對其去除效能較好.
具體參見污水寶商城資料或http://www.dongaorq.cn更多相關技術文檔。3)聚氨酯泡沫體、聚乙烯、聚丙烯和陶粒MBBR的生物量分別為89.41、3.29、4.81和14.4 mg · g-1,但聚氨酯泡沫體內部結構易造成灰分積累,影響傳質效率.掃描電鏡顯示,4種填料上均有大量的反硝化球菌、桿菌和絲狀菌,其中,聚丙烯填料的微生物相最為豐富和密實.
4)綜合比較4種填料MBBR的脫氮效能、有機物去除效能、生物量及微生物特性等,選擇聚丙烯作為MBBR的優選填料.






