金川集團股份有限公司(以下簡稱金川公司)現有2520kt/a鎳、銅冶煉煙氣制酸能力,硫酸生產凈化工序會產生大量的酸性廢水,通過不斷技改減排和綜合治理,目前已經初步實現了源頭控制,分質規范排放、分級處理、集中回用的目標,使制酸酸水排放已縮減至22~30m3/h,這部分酸性廢水需要經過處理以達到國家排放標準。
1、工藝方案
1.1 流程簡述
金川公司酸性廢水采用硫化鈉除銅、EX2000除砷工藝進行初步處理后,再利用石灰中和法對硫化后酸性水進行中和處理,中和后廢水送至公司水處理廠進一步處理。
銅冶煉系統酸性廢水處理系統是在充分利用公司內部閑置設備和廠房基礎上,采用石灰-鐵鹽法處理工藝,主要流程分為硫化工序、中和工序兩部分。
硫化工序將制酸系統凈化除塵、除鉛后的酸性水加Na2S反應,通過硫離子與重金屬的高效沉淀機理,除去酸水中的重金屬和砷,反應生成的沉淀通過板框壓濾機壓濾為干渣,清液進入中和工序繼續處理。同時設置H2S吸收塔和脫氣裝置,可將反應產生H2S氣體進行吸收后達標排放。
中和工序使用漿化后的氧化鈣溶液與硫化后的酸性水分別進行一段中和與二段中和,兩段中和液分別進入一、二段濃密機并投加絮凝劑,濃密后底流液通過底流輸送泵進入壓濾機壓濾除渣,濃密與壓濾的清液可作為中水回用。
1.2 反應原理
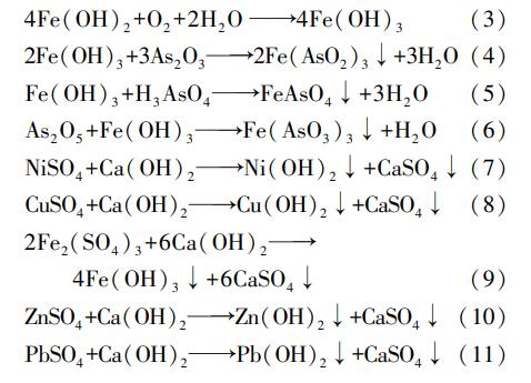
石灰-鐵鹽法是通過調節pH值來控制反應程度,通入一定量的Ca(OH)2溶液將酸性廢水中和,再在堿性條件下沉淀砷、氟、鋅、鐵、鎳、鉛等微量有害元素,同時加入硫酸亞鐵、絮凝劑等凈水劑進行混凝沉淀,最終使廢水達到排放要求。
基本原理如下:
一段中和反應控制pH為4~5。

二段中和反應控制pH為8~10。


1.3 工藝配置
1.3.1 硫化工序
銅系統制酸所產生的酸性廢水中加入Na2S除去重金屬和砷,反應生成的沉淀通過板框壓濾機壓濾為干渣,壓濾液送至中和工序。另增加H2S吸收塔和脫氣裝置,確保反應生成的H2S氣體能夠達標排放。工藝流程如圖1。

1.3.2 中和工序
中和工藝流程如圖2。

硫化后壓濾液進入中和工序,進入一段中和反應罐。同時在石灰配置槽內配置質量分數為10%~12%的石灰漿液,通過石灰輸送泵送入一段中和反應罐進行逐級反應。并在一段中二級、四級反應罐進行pH值監測,經過四級中和反應的一段中和液通過自流進入一段濃密機進行固液分離。一段濃密機上清液自流進一段濃密清液罐,底部稠液通過底流輸送泵輸送至一段壓濾機,進行渣水分離,濾液進入壓濾清液儲罐。
來自一段濃密清液罐和壓濾清液儲罐的水進入二段中和反應罐。同時加入石灰乳進行二段中和反應,并在二段中二級、四級反應罐進行pH值監測。經過反應的二段中和液通過自流進入二段濃密機進行固液分離,清液自流進中和二段濃密清液罐,底部稠液通過底流輸送泵送至二段壓濾機,進行渣水分離。來自壓濾清液儲罐和二段濃密清液罐的達標清水可在系統內進行回用。
1.3.3 主要工藝指標
設計正常處理水量200m3/d,處理后達標水送制酸系統凈化工序回收利用。
主要工藝指標為:
酸水處理量/(m3•d-1)200
酸水溫度/℃≤50
酸水質量濃度,%≤10
一段中和后pH值4~5
二段中和后pH值8~10
濃密機底排含固量(w),%15~25
濾渣含固量(w),%45~50
2、閑置設備改造
該項目中和工序利舊,改造廠房內一套粗粒合金加壓浸出系統,設備已閑置多年。在充分論證工藝可行、現有閑置設備可恢復的基礎上,重新配置工藝管道,對泵及攪拌裝置進行填平補齊,達到酸性水處理要求,同時大大降低項目投資。此次改造共利舊設備23臺,新增泵類設備14臺、攪拌設備2臺、管道2700m、閥門60件及電氣儀表設備29臺。改造所用設備見表1。

3、結語
該硫化工序改造費用220萬元,中和工序改造費用273.41萬元,其中建筑安裝費用120萬元,管道閥門安裝費用29.04萬元,電氣儀表安裝費用78.8萬元,其他費用45.57萬元。該酸性廢水處理裝置投產后運行穩定,實現了銅系統制酸廢水的達標排放,取得了較好的經濟效益和環境效益。(來源:金川集團股份有限公司鎳冶煉廠)



