沼渣是有機物發酵后剩余的固形物質,富含腐殖質、腐殖酸、微量營養元素等多種營養物質,可以作為良好的土壤改良劑。隨著農村沼氣池的普及,沼渣產量越來越大,預計2030年我國的沼氣年產量將超過3.0×1028m3,沼渣年產量將達到3.6×1023t,因此沼渣處置成了亟待解決的環境問題。沼渣還田是目前沼渣資源化的主要方式,然而未充分腐熟的沼渣存在致病菌,而且會在土壤中繼續發酵消耗氧氣而產生較多熱量和有毒有害氣體,因此未充分腐熟的沼渣還田會對農作物生長產生抑制作用,如抑制種子發芽、導致幼苗黃化、致使農作物生長速率低下甚至死亡等。沼渣堆肥處理可以穩定有機物并抑制致病菌。目前,沼渣堆肥效率低是普遍性問題。本研究通過分析沼渣堆肥的微生境因子與沼渣堆肥的水溶性有機物(DOM)穩定化指標的相互關系構建沼渣堆肥穩定化調控技術,用以加速腐殖質向腐殖酸轉化,實現沼渣堆肥的快速穩定化。
1、材料與方法
1.1 堆肥原料
沼渣取自北京順義某農戶家庭,豬糞和雞糞取自河北樂亭某實驗基地,堆肥前將這3種堆肥原料晾干,其中豬糞碳含量較高,雞糞氮含量較高,而沼渣纖維含量較高。玉米秸稈也取自河北樂亭某實驗基地,用于調整堆肥原料的碳氮比(C/N),使用前粉碎至粒徑為0.1~0.5cm。
1.2 堆肥設備
堆肥設備主體部分為盛放堆料的圓柱形反應箱,由不銹鋼罐體構成,高度和底面直徑分別為0.40、0.33m,容積為34L,位于恒溫箱中,通過溫差控制裝置監測和控制溫度,上方有氣體測定裝置,可在線監測O2、H2S、CO2等氣體,同時配備有氣泵、氣體流量計、溫差控制裝置、氣體過濾裝置等,試驗裝置示意圖如圖1所示。

1.3 試驗設計
表1設計了堆肥原料沼渣、豬糞、雞糞的三因素兩水平正交試驗3013,通過玉米秸稈調整堆肥原料C/N后得到T1~T4不同堆肥處理物料的理化性質,如表2所示,堆肥過程中實時監測溫度和含水率變化,分別在第0天(升溫期)、第6天(高溫期)、第14天(降溫期)和第30天(腐熟期)各采兩份約100g的樣品,一份4℃保存用于監測理化指標,另一份-20℃保存用于監測生物學指標。

1.4 指標監測方法
含水率采用差重法3013測定;有機質采用燒失量法測定;總氮采用堿性過硫酸鉀消解/紫外分光光度法測定;氨氮(AN)用納氏試劑光度法測定;pH用梅特勒FE28-StandardpH計測定;總碳用耶拿multiN/C2100總有機碳測定儀測定;纖維素、半纖維素和木質素的測定參照《飼料中粗纖維的含量測定》(GB/T6434—2022);C/N為總碳與總氮的質量比。
種子發芽指數(GI)用油菜種子發芽試驗法進行測定。
用DP336土壤脫氧核糖核酸(DNA)試劑盒提取堆肥樣品中的總DNA,通過質量分數1%的瓊脂糖凝膠電泳檢測DNA提取質量后,以提取的DNA為模板,以534R和357F為特異性引物,進行聚合酶鏈反應(PCR),PCR產物用變性梯度凝膠電泳(DGGE)鑒定,最后通過計算香農指數(SWI)解釋不同堆肥樣品的細菌群落多樣性。
DOM樣品的前處理方法參照文獻,使用總有機碳測定儀測定DOM濾液的溶解有機碳(DOC),然后用UNICOUV-4802雙光束紫外可見分光光度計掃描DOM紫外吸收光譜,掃描波長為200~700nm,掃描間隔為1nm。測定254、280nm的吸光度,并分別計算與DOC的比值,分別記為SUVA254、SUVA280,分別用來表征腐殖酸的腐殖化程度和不飽和度、有機質的芳構化程度和分子量。測定250、365nm的吸光度(分別記為E250和E365),并計算E250/E365,也可用來表征DOM的芳香性和分子量。測定253、203nm的吸光度(分別記為E253和E203),并計算E253/E203,用來表征極性官能團。

1.5 數據處理
用IBMSPSSStatistics22.0軟件進行光譜學指標的單因素方差分析;用Canoco5.0軟件進行冗余分析(RDA),揭示微生境因子對DOM光譜學指標變化的貢獻率;用IBMSPSSAmos26.0軟件構建結構方程模型,識別微生境因子的作用途徑。
2、結果與分析
2.1 細菌群落演替與多樣性變化
DGGE是分析細菌群落多樣性的有效方法,能有效反映不同生態環境中細菌群落的演替。由圖2可見,16SrRNA基因片段的條帶1、2、3、5、7幾乎存在于各個處理的整個堆肥過程中,這些細菌可能在堆肥過程中降解有機物方面起重要作用。4個處理的細菌群落多樣性在高溫期和降溫期發生了明顯變化,說明原料配比不同導致堆肥理化性質不同,進而影響細菌群落多樣性。T2和T3沼渣含量低,雞糞、豬糞的相對含量高,更易于復雜有機物分解轉化為腐殖酸,從而提高了細菌群落的多樣性。

2.2 沼渣堆肥DOM穩定化表征
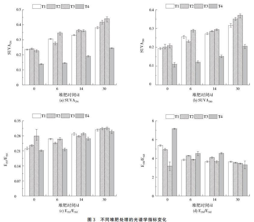
用DOM的4種光譜學指標(SUVA254、SUVA280、E253/E203、E250/E365)表征堆肥腐熟度,結果如圖3所示。4個處理中SUVA254、SUVA280、E253/E203在堆肥過程中總體呈上升趨勢,而E250/E365總體呈下降趨勢,由此說明隨著堆肥進行,DOM分子量、分子結構的縮合度和不飽和度逐漸變大,DOM腐殖化程度加深。單因素方差分析結果顯示,各個處理的4種DOM光譜學指標從升溫期到腐熟期均差異顯著,結合細菌群落DGGE氣泡圖(見圖2),可以說明堆肥從開始到結束由于有機質構成發生變化導致細菌群落發生變化。升溫期的DOM光譜學指標排序發現,SUVA254、SUVA280、E253/E203排序均為T4<T1<T2<T3,堆肥過程總體呈上升趨勢,表明T3處理的堆肥腐熟程度最好,穩定化程度最高。因此按T3處理的原料配比最有利于沼渣堆肥DOM穩定化。

2.3 影響DOM穩定化的關鍵微生境因子識別
RDA通過原始變量與解釋變量之間的相關性分析引起原始變量差異的原因。本研究通過RDA來探究堆肥微生境因子與DOM光譜學指標之間的響應關系,結果如圖4所示,前兩軸的特征值占到了總特征值的99.02%。原始變量為DOM光譜學指標,用實心箭頭連線表示;解釋變量為微生境因子,用空心箭頭連線表示。解釋變量連線在DOM光譜學指標連線上的投影(即余弦值)表示微生境因子對DOM光譜學指標的方差貢獻率大小。連線間的夾角反映了變量間的相關性,夾角越接近0°表示越呈正相關性,越接近180°表示越呈負相關性,越接近90°表示越不相關。由圖4可以看出,SUVA254、SUVA280、E253/E203與GI、pH、SWI呈正相關性,與AN呈負相關性;而E250/E365與GI、pH、SWI呈負相關性,與AN呈正相關性。綜合分析表明,GI對DOM光譜學指標方差貢獻率最大。

2.4 微生境因子的作用途徑分析
為了更深入地探究堆肥微生境因子對DOM光譜學指標的作用途徑,采用能夠直觀表示生態系統復雜網絡關系的結構方程模型進行分析。圖5展示了4種微生境因子和4種DOM光譜學指標之間的因果關系。其中,pH與GI呈顯著正相關性,AN與GI呈顯著負相關性,GI與DOM穩定化指標SUVA254、SUVA280、E253/E203均存在顯著正相關性,與E250/E365存在顯著負相關性,這與KONG等的研究結果一致。由此可以得出,pH、AN通過影響GI間接作用于DOM光譜學指標,因此GI是作用路徑的關鍵。由圖5(b)還可以發現,SWI與SUVA280存在顯著正相關性,表明SWI在堆肥進程中對芳香族化合物含量升高具有促進作用,可能與微生物的芳香性代謝物有關。由圖5(d)發現,AN與E253/E203存在顯著負相關性,這與閆彩紅等的研究結果一致。綜上,GI是DOM穩定化過程的關鍵微生境因子,pH、AN、SWI或直接或間接地也可影響堆肥穩定化過程。

3、結論
(1)沼渣堆肥過程中,原料配比不同導致堆肥理化性質不同,細菌群落多樣性各異,從而改變堆肥穩定化進程,按沼渣5.85kg、豬糞8.490kg、雞糞8.190kg的原料配比,堆肥腐熟程度最好,穩定化程度最高,最有利于沼渣堆肥的DOM穩定化。
(2)GI對DOM光譜學指標方差貢獻率最大,是作用路徑的關鍵樞紐,直接作用于DOM穩定化。pH、AN也可通過影響GI間接作用于DOM穩定化,SWI在堆肥進程中對芳香族化合物含量升高具有促進作用。
(3)可以通過調控堆肥微生境因子(升高pH、GI、SWI,降低AN)來加速腐殖質向腐殖酸轉化,達到提高DOM穩定化程度的目的。(來源:聊城大學生命科學學院,東北農業大學資源與環境學院,聊城大學農學與農業工程學院)



