申請日2016.05.27
公開(公告)日2016.12.14
IPC分類號C02F9/14; C02F11/04; C02F11/00
摘要
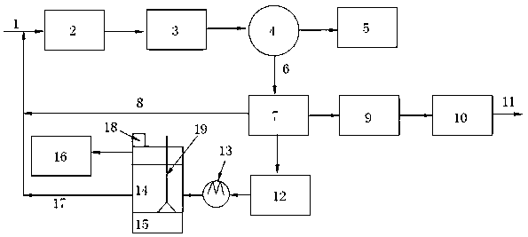
一種改進型污泥減量系統,屬于污水處理技術領域。這種改進型污泥減量系統的儲泥池經回流污泥管連接污水進水管,儲泥池有一路連接1號濃縮池和脫水間,另一路連接2號濃縮池。污泥泵的進口連接2號濃縮池,出口連接厭氧消化池。厭氧消化池設有微波加熱器、氣體收集裝置、加藥口和攪拌器。該污泥減量系統采用活性污泥法進行污水處理,針對污泥脫水運行壓力大,處置不及時會增加運行系統壓力,增加運行成本,影響出水水質的弊端,引入厭氧消化系統,減少剩余污泥量,進而克服上述因剩余污泥量大而引起的弊端,并且在傳統厭氧消化系統中增設微波輻照過硫酸鉀產生硫酸根自由基的技術加速污泥的破解,提高厭氧消化速率。
摘要附圖
權利要求書
1.一種改進型污泥減量系統,它包括A池(2)、O池(3)、二沉池(4)、深度處理池(5)和儲泥池(7),所述A池(2)設有污水進水管(1),A池(2)經管道依次連接O池(3)、二沉池(4)、深度處理池(5),所述二沉池(4)經活性污泥管道(6)連接儲泥池(7);其特征是:它還包括1號濃縮池(9)、脫水間(10)、2號濃縮池(12)、污泥泵(13)和厭氧消化池(14),所述儲泥池(7)經回流污泥管(8)連接污水進水管(1),儲泥池(7)有一路連接1號濃縮池(9)和脫水間(10),另一路連接2號濃縮池(12);所述污泥泵(13)的進口連接2號濃縮池(12),出口連接厭氧消化池(14);所述厭氧消化池(14)設有微波加熱器(15)、氣體收集裝置(16)、加藥口(18)和攪拌器(19),所述厭氧消化池(14)經消化液回流管(17)連接污水進水管(1)。
說明書
一種改進型污泥減量系統
技術領域
本實用新型涉及一種改進型污泥減量系統,屬于污水處理技術領域。
背景技術
在采用活性污泥法進行污水處理業中,活性污泥在凈化水質中起著主導作用,由于活性污泥的不斷繁殖,需要將過量的污泥通過污泥脫水后排出系統,這部分污泥稱為剩余活性污泥。
隨著我國城市化進程的不斷加快,城市污水處理廠處理量呈逐年提高的趨勢,城市污水處理廠的污泥產量也急劇增加。大量的剩余污泥如不及時排出系統,會增加運行系統的壓力,增加運行成本,影響出水水質,因此污泥脫水間必須及時將剩余污泥排出系統,大量的剩余污泥增加了污泥脫水間的處理壓力,影響了污泥的脫水效果,進而影響后續的污泥處置效果,若處置不當的污泥進入環境,將對生態環境和人類活動構成嚴重威脅。
發明內容
為了克服現有技術中存在的問題,本實用新型提供一種改進型污泥減量系統,該污泥減量系統采用活性污泥法進行污水處理,引入厭氧消化系統,減少剩余污泥量,進而克服上述因剩余污泥量大而引起的弊端,并且在傳統厭氧消化系統中增設微波輻照過硫酸鉀產生硫酸根自由基的技術加速污泥的破解,提高厭氧消化速率。
本實用新型采用的技術方案是:一種改進型污泥減量系統,它包括A池、O池、二沉池、深度處理池和儲泥池,所述A池設有污水進水管,A池經管道依次連接O池、二沉池、深度處理池,所述二沉池經活性污泥管道連接儲泥池;它還包括1號濃縮池、脫水間、2號濃縮池、污泥泵和厭氧消化池,所述儲泥池經回流污泥管連接污水進水管,儲泥池有一路連接1號濃縮池和脫水間,另一路連接2號濃縮池;所述污泥泵的進口連接2號濃縮池,出口連接厭氧消化池;所述厭氧消化池設有微波加熱器、氣體收集裝置、加藥口和攪拌器,所述厭氧消化池經消化液回流管連接污水進水管。
本實用新型的有益效果是:這種改進型污泥減量系統的儲泥池經回流污泥管連接污水進水管,儲泥池有一路連接1號濃縮池和脫水間,另一路連接2號濃縮池。污泥泵的進口連接2號濃縮池,出口連接厭氧消化池。厭氧消化池設有微波加熱器、氣體收集裝置、加藥口和攪拌器。該污泥減量系統采用活性污泥法進行污水處理,針對污泥脫水運行壓力大,處置不及時會增加運行系統壓力,增加運行成本,影響出水水質的弊端,引入厭氧消化系統,減少剩余污泥量,進而克服上述因剩余污泥量大而引起的弊端,并且在傳統厭氧消化系統中增設微波輻照過硫酸鉀產生硫酸根自由基的技術加速污泥的破解,提高厭氧消化速率。


