1 引言
隨著社會和經濟的快速發展,環境保護和可持續發展的觀念日益深入人心,人民對環境的需求也逐漸提高.城市污泥和垃圾作為兩類主要的城市固體廢棄物,對其污染控制成為環保領域的重要方向.一方面,伴隨我國城鎮污水處理的快速發展,污水廠污泥產量日益增多,截至2012年底,全國市、縣累計建成城鎮污水處理廠共3340座,每日產生污泥6.39萬t(以含水率80%計),其中70%的污泥都僅僅是脫水后外運、
簡單的填埋或堆放.污泥厭氧消化可利用污泥中的有機質,將其轉化為甲烷氣,降低污泥含水率,改善脫水性,實現污泥的穩定化.雖然污泥厭氧消化是污泥資源化處理、利用的重要手段,但目前國內采用污泥厭氧消化的城鎮污水廠并不普遍.以重慶為例,目前重慶主城區建成的城市污水處理廠共18座,但僅有2座采用了污泥厭氧消化設備.重慶主城區污泥具有含砂量大、熱值低(一般介于25%~45%)、C/N比低(介于6~16之間,不滿足消化時最佳C/N比20~30的要求)的特點,厭氧消化效率、甲烷氣產量低.如何提高污泥的厭氧消化效率,強化低熱值污泥產生,逐漸成為厭氧消化領域的研究熱點.
另一方面,隨著人們生活水平的提高和城鎮化發展的加快,生活垃圾產量也大量增加,據2012年中國統計年鑒,我國城市生活垃圾清運量約為16395.3萬t,其中餐廚垃圾不低于6000萬t.填埋處理法是目前垃圾處理的主要方式.但垃圾填埋處理過程中會產生高濃度滲濾液,其水質水量波動大、成份復雜,有毒有害物質含量高,處理困難.目前國內滲濾液處理方法主要有生物處理(厭氧、好氧等)、物化處理(膜法、吸附、過濾等)和化學方法(絮凝、化學氧化、吹脫等)等,其中將垃圾滲濾液與城市污水合并處理最為常見.
以重慶主城為例,目前重慶主城區年生活垃圾產量為140萬t,其中近1/4來自餐廚垃圾,由于餐廚垃圾中含有大量的碳水化合物、油脂、脂肪和糖類等有機物,營養豐富,若能有效利用垃圾滲濾液中的有機物,可望豐富低熱值污泥中的營養成分,彌補污泥熱值低、C/N低的不足,稀釋有毒物質對微生物的毒害作用,最終促進厭氧消化氣產生.前人的研究結果表明,污泥與城市有機固體垃圾相混合進行厭氧消化,消化產氣中的甲烷濃度可增加60%以上,瑞典的一項研究也表明,將豬糞、屠宰場廢物、蔬菜廢物等與城市污泥混合厭氧消化,雖然在高有機負荷率下會促使系統中氨濃度升高,影響厭氧污泥酸化階段的進行,但最終實驗結果表明這種共消化方式能夠促進厭氧消化產氣,提高甲烷產氣量.除此之外,近年來國外已有很多學者研究了將秸稈、蛋糕廠廢棄物、造紙廠廢棄物、咖啡生產廢渣、屠宰廠的含油廢渣等有機物與城市污水廠污泥混合聯合消化,可明顯促進消化氣的產生,Bailey和Muller向厭氧消化池內添加10%~30%的油脂廢水,發現消化池沼氣產量增加了30%~80%.Montusiewicz將填埋期為5~10年的垃圾滲濾液添加入城市污泥中共同消化,發現當滲濾液的投加量適合時,甲烷產量明顯增加.Hombach嘗試了將COD為20400 mg · L-1的垃圾滲濾液添加入污泥中厭氧消化,發現在較低滲濾液投配情況下(<20%)可提高厭氧消化的產氣量.但上述研究主要基于混合厭氧消化強化產氣展開,對不同成分垃圾滲濾液的性質對比及產氣效率對強化產氣能力方面的研究方面較為缺乏.在實際生活中,餐廚垃圾往往分為生垃圾和熟垃圾兩種,兩種垃圾的成分不同,堆肥過程中所產滲濾液性質與濃度各不相同,對共消化所產生的影響如何,尚不得而知.
基于以上分析,本實驗擬開展針對城市污水廠污泥和餐廚垃圾滲濾液聯合厭氧消化產氣的研究,選擇了餐廚垃圾中常用的生垃圾和熟垃圾開展試驗研究,首先對比分析了生、熟垃圾堆肥所產滲濾液性質隨堆肥時間的動態變化,而后著重對比考察了添加生、熟垃圾滲濾液后厭氧污泥的消化產氣量,分析了厭氧污泥的性質變化,以期為污泥資源化和餐廚垃圾滲濾液的處理提供新參考.
2 材料與方法
2.1 實驗材料
污泥取自重慶大渡口污水處理廠的CASS池的排泥,其基本理化性質如表 1所示.接種污泥取自重慶雞冠石污水處理廠厭氧消化池.
表1 污泥的性質

表2 滲濾液的理化性質

餐廚垃圾滲濾液通過餐廚垃圾好氧堆肥獲得,選擇餐廚生垃圾與熟垃圾進行滲濾液性質對比,以明確不同種類的餐廚垃圾堆肥所產的滲濾液性質對厭氧消化產氣的影響.生垃圾(以蔬菜菜葉、根莖為主)、熟垃圾(剩菜、米面、動植物油脂等,約70%為剩飯、米面等,約20%為剩菜、肉骨等,其余為動植物油、水分等)均取自重慶大學某學生食堂.好氧堆肥的方法參見文獻.
由表 1可知,對象污泥的C/N較低,VS/TS低,表明污泥熱值低,C/N不適宜厭氧消化(20~30為較適宜的厭氧消化C/N比范圍).
2.2 實驗設備及方法
本實驗反應器采用比產甲烷活性測試系統(AMPTSⅡ,該監測系統為瑞典碧普公司生產,系統包括:水浴加熱單元、15個獨立的厭氧消化瓶(內置攪拌裝置)、氣體吸收單元(吸收CO2等)、濕式氣體計量單元(計量甲烷氣體體積)),其原理簡圖如圖 1所示.

圖 1 產甲烷勢測試系統(a: 厭氧消化反應瓶;b: 堿液吸收瓶;c: 氣體計量系統;d: 數據采集)
實驗時,將基質與接種污泥混合后裝入反應瓶(總體積640 mL,工作體積420 mL),順序連接各反應瓶并將其置入水浴鍋,設置恒溫為35.0±0.5 ℃,為保證反應瓶內為厭氧環境,先向各反應瓶充氮氣3 min.實驗采用機械攪拌,轉速設定為50 r · min-1.測試過程中,先通過堿液吸收系統來去除消化瓶內所產生的沼氣中的酸性氣體(H2S、CO2等)后,余下的甲烷氣體通過濕式氣體流量計計量,最后連接計算機獲取實驗數據.為便于分析,將污泥+生垃圾滲濾液的運行組稱為R1組,污泥+熟垃圾滲濾液的運行組稱為R2組,僅污泥單獨厭氧消化的對照組稱為R3組(參照樣).
2.3 分析方法
pH值采用pH計直接測定;COD采用重鉻酸鉀法測定;TN采用堿性過硫酸鉀消解紫外分光光度法測定,VS、TS、堿度、VFA 測試根據城市污水處理廠污泥檢驗方法(GJ/T 221—2005)測定.
3 結果
3.1 垃圾滲濾液的性質
生垃圾成分以果蔬根莖為主,熟垃圾成分以飯菜、油脂為主,兩者所產的滲濾液的性質迥異,且滲濾液性質也與垃圾堆肥時間有關,堆肥初期,滲濾液大量產生,有機物大量的由垃圾轉移至滲濾液中,到堆肥的中后期,滲濾液體積減少,營養物被大量利用,滲濾液中有機物的濃度與性質均發生了巨大的變化.為了明確兩種餐廚垃圾滲濾液對污泥厭氧消化的影響,首先需要了解不同堆肥時間所產生的垃圾滲濾液的特性,選擇最佳堆肥時間產生的滲濾液添加入厭氧消化污泥中進行聯合消化,研究二者對消化產氣的影響,為篩選合適的滲濾液種類和堆肥時間提供依據,從而強化共消化的效率.
由圖 2可知,隨著堆肥的進行,垃圾滲濾液中的TN、TCOD的濃度基本呈先上升后下降的變化趨勢.隨著堆肥初期有機物的降解,復雜的有機物迅速分解成蛋白質、氨基酸等有機物,使得TN濃度增加(圖 2a),之后垃圾內含氮固體有機物的含量逐漸減少,有機物的難降解程度增大,局部的堿度積累使得產生的氨氣在通風作用下而揮發,使垃圾滲濾液中的TN有所降低.生、熟垃圾滲濾液的TN含量分別在第17天、21天達到最大值,且TN的最大值分別為889.5、1526.8 mg · L-1.

圖 2 不同垃圾堆肥所得滲濾液中TN(a)、TCOD(b)的變化
滲濾液中的COD則反映了滲濾液中有機物的含量.由圖 2b可知,堆肥初始生、熟垃圾滲濾液中TCOD分別為7.6×103 mg · L-1、1.3×105 mg · L-1,伴隨堆料的分解,固相有機物在微生物分泌的各種胞外酶的作用下被分解為簡單有機物,促使滲濾液中COD濃度上升,生、熟垃圾滲濾液TCOD的最大值分別出現在第21天、第26天,最大值分別為1.5×104 mg · L-1、3.85×105 mg · L-1,隨后微生物對有機物的利用速率增大,TCOD含量迅速下降,直到實驗結束,生、熟垃圾滲濾液的TCOD分別為9.1×104 mg · L-1、8.02×104 mg · L-1,TCOD去除率分別達44.3%、79.2%.
通過對滲濾液的性質的持續監測發現,在經過20 d的堆肥處理后,垃圾滲濾液中的C/N比有明顯提高,分別為:生垃圾為14.7~19.0,熟垃圾為217~290,因此選擇堆肥時間為21 d的垃圾滲濾液作為厭氧聯合消化的滲濾液添加物,以提升污泥的C/N比,形成有利于厭氧消化的營養環境.實驗選用污泥/滲濾液混合比為20 ∶ 1,此時混合污泥的C/N比分別為7.1(添加生垃圾滲濾液)和17(添加熟垃圾滲濾液).
3.2 聯合厭氧消化中甲烷氣產量
首先采用甲烷勢自動測試系統對反應器內混合污泥的甲烷產量和比產甲烷活性進行了測試,甲烷累積產量見圖 3.

圖 3 甲烷累積產量和產甲烷速率隨時間變化
由圖 3可見,垃圾滲濾液的添加對甲烷產量有明顯的影響,各瓶甲烷累計產量及產甲烷速率、產甲烷潛力基本符合:R2>R1>R3,R1、R2、R3累積產甲烷量分別在第20、33、16天趨于穩定,其中R1實際甲烷累積產量為542.3 mL,R2為2102.2 mL,R3為460.3 mL.由圖 3b可知,隨消化時間的增長,R1、R3的產甲烷速率逐漸下降,分別由最初的57.5 mL · d-1、52.3 mL · d-1降低到3 mL · d-1左右;R2的產甲烷速率是先上升到最大值123.7 mL · d-1后,逐漸下降,最終穩定在3 mL · d-1左右.經過計算,R1、R2、R3的標準狀況下的甲烷單位產量分別為:675.8、971、261 L · kg-1(以VS計),可見添加熟垃圾滲濾液的污泥的產甲烷潛力和累積產甲烷量均高于添加生垃圾滲濾液的情況,其中R2的累積甲烷產量是R1的4倍,是R3的4.6倍;而R1的甲烷累積產量是R3的1.2倍.實驗結果表明,反應器的甲烷產量、產甲烷速率與厭氧污泥的比產甲烷活性密切相關,向已有的污泥厭氧消化瓶內添加適當的垃圾滲濾液可以促進厭氧消化產氣,提高產氣量,并在一定程度上調節混合液的C/N比和污泥的生化水解性能,且添加熟垃圾滲濾液比生垃圾滲濾液更能促進厭氧消化產氣.
3.3 pH與揮發性脂肪酸(VFA)濃度變化
實驗過程中pH和VFA濃度變化見圖 4.一般認為在污泥厭氧消化時,產酸菌適宜pH為6.5~7.5之間,產甲烷菌的適宜pH值為6.8~7.2,由圖 4b可知,實驗初期的水解酸化階段,有機物經水解酸化菌作用生成VFA,導致反應初期R1、R3組pH下降,VFA濃度有一定的累積,隨著pH緩沖體系的形成,R1和R2組的pH值分別在第18、22天趨于穩定,R1組pH在6.9~7.8間變動,平均值為7.4,R2組的pH值在6.7~7.4之間,平均值為7.2,由于熟垃圾滲濾液呈酸性(pH為3.8),使得R2組的初始pH較低,導致在共消化反應初期,R2組pH上升速率較快,這同R2的產甲烷速率的變化相一致,受反應初期R2內pH較低的影響,產甲烷菌的活性受到抑制,故R2的產甲烷速率先上升,之后系統內pH穩定在7.2左右,且伴隨著污泥的逐漸水解酸化,產甲烷速率逐漸減低.對照組R3的pH在6.7~7.2之間變動,平均值為6.9,3組反應器內pH基本能滿足產酸菌和產甲烷菌的生長環境條件,然而R3后期已經開始有酸化趨勢.

圖 4 運行期間VFA濃度(a)和pH(b)變化
在污泥厭氧消化期間,VFA濃度能夠一定程度上反映出產甲烷菌的活性,過高或過低都不利于消化產氣的進行,通常當VFA濃度達到6000 mg · L-1時,就會對產甲烷過程產生明顯的抑制作用.由圖 4a可見,各消化瓶的VFA濃度基本呈現先上升后下降并逐漸趨于穩定的趨勢,變化范圍為104~8519 mg · L-1.本實驗中,R1、R2消化瓶的VFA濃度分別在第9、13天左右達到峰值,對照組R3在第8天VFA值達到8519 mg · L-1,開始出現酸化現象,消化瓶內的產甲烷菌活性受到抑制.各消化瓶在厭氧消化過程中VFA濃度范圍分別為104~5223 mg · L-1(R1)、138~1989 mg · L-1(R2)、731~8519 mg · L-1(R3).在消化瓶內VFA濃度達到峰值后,隨著甲烷化過程的開始,各消化瓶的VFA濃度顯著降低,直至趨于平衡,此時產甲烷反應和產酸反應達到平衡,R1、R2反應器在運行期間未出現酸化現象.
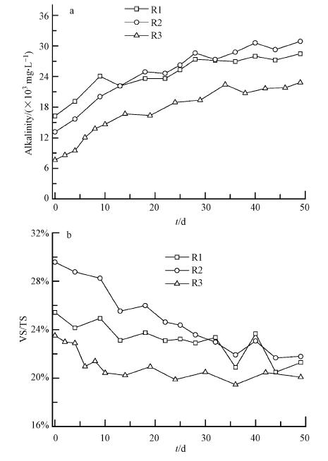
3.4 堿度及VS/TS的變化
厭氧消化過程中,堿度(以CaCO3計)主要來源于產酸產甲烷過程中產生的CO2、HS-、NH3和碳酸氫鹽.運行穩定的反應系統堿度通常維持在1000~5000 mg · L-1.由圖 5(a)可知,R1、R2的堿度在整個厭氧消化過程中濃度逐步上升,均在第28天之后穩定在2850 mg · L-1上下浮動,兩組的堿度變化范圍均在1566~3090 mg · L-1,說明這兩個反應系統均較穩定;且總體來說,R1的VFA值普遍高于R2. 3組的堿度濃度大小為,R2>R1>R3;VS/TS的大小順序為,R2>R1>R3,且R1、R2、R3的VFA/堿度的比值分別為1.7、0.34、4.82.R1、R3的VFA濃度過高,一定程度上抑制了產甲烷菌的活性,故二者甲烷產量低于R2.由圖 5b可知,VS/TS變化呈現先下降后趨于穩定的趨勢,R1、R2的VS/TS初始值分別為0.25、0.30,VS/TS去除率分別為15.3%、26.3%、14.6%,其中R2組的VS/TS去除率是R1組去除率的1.7倍.

圖 5 堿度和VS/TS的變化
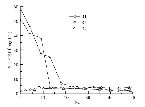
3.5 污泥上清液COD的變化
由圖 6可見,在污泥厭氧消化過程中,隨著酸化和產乙酸階段的進行,液相有機物被大量消耗,使得SCOD濃度降低,而產甲烷階段則進一步降低了SCOD的值,因此R1、R2兩組混合污泥上清液中的COD均呈現先急速下降后趨于穩定的趨勢,而污泥對照組SCOD的變化呈現先上升后下降的趨勢,其中R3的SCOD在第8天達到最大值,為408.3 mg · L-1,此后SCOD緩慢下降;R1、R2兩組的SCOD分別在第13、18天之后趨于平穩,三組的SCOD基本穩定在116.7~408 mg · L-1,表明向已有的厭氧污泥反應器內添加垃圾滲濾液,不會影響該厭氧污泥消化液的COD的值,直至反應結束,三組的SCOD分別為286、408、182 mg · L-1.R1、R2、R3的SCOD去除率分別為92.79%、92.95%、49.31%.具體參見污水寶商城資料或http://www.dongaorq.cn更多相關技術文檔。

圖 6 反應器中SCOD濃度的變化
4 結論
1)餐廚生、熟垃圾滲濾液的TN、TCOD值隨堆肥時間呈先上升后下降的趨勢,生、熟垃圾滲濾液的COD均值分別為1.1×104mg · L-1、1.9×105mg · L-1,C/N比分別為19、229.2.熟垃圾滲濾液較生垃圾滲濾液營養成份更豐富,更能滿足污泥消化對營養物及C/N比的要求.
2)添加垃圾滲濾液顯著提升了甲烷氣的產生,添加生、熟垃圾滲濾液的累計甲烷產量分別是未添加滲濾液污泥消化產氣量的1.2和4.6倍,甲烷單位產量分別為675.8和971 L · kg-1.
3)污泥與垃圾滲濾液共消化促進了VS/TS的去除,添加生、熟垃圾滲濾液的VS/TS去除率分別為15.3%、26.3%、14.6%,是污泥單獨厭氧消化的1.1倍、1.8倍.
4)通過共消化,污泥和垃圾滲濾液均得到了處理,污泥的穩定性增強,厭氧污泥的消化產氣量得到提升,且污泥上清液的COD值也并未因垃圾滲濾液的添加而發生大的波動變化,至反應結束,3組的SCOD分別基本穩定在286、408、182 mg · L-1.


