1 引言(Introduction)
偶氮染料是使用最多的染料,約占全部染料的70%左右(Singh et al., 2011;Çinar et al., 2008).偶氮染料分子結構中一般除了含有氮氮雙鍵外,其化學鍵上還連有苯環、萘環等結構,苯環或萘環上又有—NH2、—CH3、—NO2、—SO3、—Cl和—OH等取代基團.目前國內外處理偶氮染料廢水的方法仍以生化法為主.研究發現,單獨生物處理耗時長、效率低,且厭氧處理產生的中間產物(如苯胺)的毒性甚至比原水更大、更抗生物降解(Harrelkas et al., 2008;Mutambanengwe et al., 2007).而將生物技術與高級氧化技術組合用于印染廢水處理逐漸成為近年來人們關注的焦點(Oller et al., 2011;Chen et al., 2014; Deveci et al., 2016).為了更好地發揮光催化反應和生物降解的協同作用,一種緊密耦合光催化/生物降解體系(Intimate coupling of photocatalysis and biodegradation, ICPB)成為近年來的研究熱點.ICPB體系利用大孔基材使得微生物可在基材內部生長,一定程度上避免了外部光催化效應產生的活性氧物質(· OH、O2 ·、H2O2等)對微生物的毒害作用(Marsolek et al., 2008;Dong et al., 2016;Li et al., 2011).若將ICPB體系用于偶氮染料廢水處理,還存在一些難點需要解決,如高濃度染料可能導致的光能利用率下降或光催化劑中毒現象,以及難降解有機物或其中間產物對微生物細胞的抑制作用.鑒于此,本文提出利用光合細菌(Photosynthetic bacteria,PSB)代替普通的活性污泥或生物膜微生物群落來構建一種新型g-C3N4/TiO2/PSB復合材料.與普通活性污泥相比,PSB具有COD去除效率高、脫色效果明顯、耐高負荷和高鹽度及對有毒有機物有一定降解能力等特點(Wang et al., 2016;Hong et al., 2003;Kuroki et al., 2001).研究表明,g-C3N4和TiO2的復合可以顯著改善可見光的吸收及載流子的分離,能夠克服各自在光催化領域中的缺點,獲得性能優異的光催化材料(Zhang et al., 2010;Song et al., 2015).
本文以光合細菌和自制的g-C3N4-P25復合光催化劑為基礎,采用海藻酸鈉將兩者進行共固定,合成g-C3N4/TiO2/光合細菌復合材料.以模擬印染廢水為研究對象,對比固定光催化劑、固定光合細菌及光催化-微生物復合材料降解染料和COD的規律.最后,利用紫外-可見全波長掃描光譜(UV-Vis)、傅里葉紅外光譜(FT-IR)及氣相色譜-質譜聯用儀(GC-MS)等手段對反應殘留物進行表征,分析光催化與微生物之間相互作用的關系,推測活性艷紅X-3B的降解途徑,以期為這一新型光催化/微生物復合材料在染料廢水處理領域的應用提供理論依據.
2 材料和方法(Materials and methods)2.1 實驗材料2.1.1 實驗試劑
實驗使用的雙聚氰胺(分析純)與海藻酸鈉(化學純)購自索萊寶試劑有限公司,二氧化鈦(P25)購自阿拉丁化學試劑有限公司,無水乙醇、氯化鈣、無水乙酸鈉、碳酸氫鈉、氯化銨、磷酸氫二鉀、氯化鈉、氯化亞鐵、酵母膏、硫酸鎂、硼酸、硫酸錳、二水鈷酸鈉、三水硝酸銅(均為分析純)皆購自天津市福晨化學試劑廠,活性艷紅X-3B(100%強度)購自上海將來試劑有限公司,葡萄糖(分析純)購自西隴科學股份有限公司,實驗中用水為去離子水.
2.1.2 光合細菌
實驗光合細菌選用紅螺菌屬(Rhodospirillum)的商業菌株.基本培養基成分為:無水乙酸鈉3 g、碳酸氫鈉1 g、氯化銨1 g、磷酸氫二鉀0.5 g、氯化鈉1 g、氯化亞鐵0.005 g、酵母膏0.05 g、硫酸鎂0.2 g,蒸餾水定容到1000 mL.微量元素成分為:硼酸0.7 g、硫酸錳0.389 g、二水鈷酸鈉0.188 g、三水硝酸銅0.01 g,蒸餾水定容到1000 mL.取1 mL配制好的微量元素置于基礎培養基溶液中,定容到1000 mL(劉鵬,2012).移取80 mL紅螺菌菌液于1000 mL錐形瓶中,加入配制好的培養基,定容至刻度,置于100 W日光燈下培養(4±1) d,通過離心(5000 r · min-1,5 min)獲得菌液,用去離子水洗滌用于復合材料制備(Saratal et al., 2011).
2.2 實驗方法2.2.1 固定化光催化劑的制備方法
稱取適量雙聚氰胺于坩堝中,并放置在程序升溫馬弗爐中,設置條件為:初始溫度44 ℃,按2.3 ℃ · min-1升至550 ℃,550 ℃下煅燒4 h;將煅燒合成的塊狀g-C3N4研磨成粉末,放置干燥處儲存、備用(Yan et al., 2009);將g-C3N4和P25按一定質量比(g-C3N4 : P25=1.5)混合于無水乙醇中,放置于六聯攪拌器中攪拌4 h,超聲1 h;然后將混合液置于真空干燥箱中,70 ℃干燥24 h(Song et al., 2015),所合成的g-C3N4-P25光催化劑簡稱為PC.
配制50 mL 2%的海藻酸鈉溶液,向海藻酸鈉溶液中加入1 g g-C3N4-P25光催化劑,攪拌并置于超聲清洗儀中(超聲頻率為100 Hz,時間設定為30 min),使其在海藻酸鈉溶液中分散均勻.待超聲完畢,用注射器將含有光催化劑的海藻酸鈉溶液逐滴滴入2%的氯化鈣溶液中,生成的包埋小球放置于4 ℃冰箱固化24 h以提高其硬度,最后用蒸餾水清洗小球備用(Kanakaraju et al., 2016),所合成的固定光催化劑簡稱為CA+PC.
2.2.2 固定化光合細菌的制備方法
配制50 mL 2%的海藻酸鈉溶液,向海藻酸鈉溶液中加入3 g(濕重)光合細菌,攪拌均勻,其余步驟同2.2.1節,所合成的固定化菌簡稱為CA+B.
2.2.3 g-C3N4/TiO2/光合細菌復合材料的制備方法
稱取1 g海藻酸鈉溶于25 mL蒸餾水中,向海藻酸鈉溶液中加入適量g-C3N4-P25復合光催化劑,攪拌并置于超聲清洗儀中(超聲頻率為100 Hz,時間設定為30 min),使其在海藻酸鈉溶液中分散均勻.然后在含有3 g(濕重)光合細菌的離心管中加入25 mL蒸餾水,制成菌懸液.將菌懸液倒入含有光催化劑的海藻酸鈉溶液中,攪拌均勻,其余步驟同2.2.1節,所合成的g-C3N4/TiO2/光合細菌復合材料簡稱為CA+B+PC.
2.3 模擬印染廢水降解試驗
以模擬印染廢水為處理對象,廢水水質如下:染料活性艷紅X-3B濃度為50 mg · L-1,COD(葡萄糖配)約1500 mg · L-1.選用300 W的鹵素燈作為光源模擬太陽光,對比CA+PC、CA+B及CA+B+PC降解染料和COD的規律.反應結束,取樣進行UV-Vis(UV765,中國)、FT-IR(Nicolet iS10,美國)及GC-MS(Agilent5975,美國)分析.
3 結果與討論(Results and discussion)3.1 樣品的表觀形貌和結構表征3.1.1 材料的外觀
試驗制備的CA+B、CA+B+PC、CA+PC材料的外觀見圖 1,合成的材料呈小球狀,直徑約為2~3 mm.
圖 1

圖 1 CA+B (a)、CA+B+PC (b)、CA+PC (c)的外觀形貌
3.1.2 SEM分析
圖 2為海藻酸鈣載體(CA)、CA+PC、CA+B、CA+B+PC的電鏡掃描圖.由圖可見,CA載體含有很多微小的孔道(圖 2a),一方面有利于微生物的附著,另一方面可以為包埋在載體內部的微生物提供生命代謝活動所需營養物質的輸送通道.相比CA載體的孔道,CA+PC的孔道變得更致密,可能是由于納米級的光催化劑分散或附著在孔道中(圖 2b).而CA+B表面相對比較光滑,其表面還可以看到部分光合細菌分散在載體上(圖 2c).從圖 2d中可明顯地看到光合細菌包埋并分布于凝膠網絡結構中,由于納米級材料幾乎觀測不到,因此結合圖 2e可知,該載體含有C、N、O、Ti等元素,說明g-C3N4-P25光催化劑已負載到載體中.理想狀態下,大部分微生物包埋于CA載體內部,由于載體的保護,微生物可免受強氧化性自由基的氧化.光催化劑均勻分散在載體中,而只有小球外表面部分光催化劑可以接受光源的激發從而產生自由基破壞難以生物降解的物質.后續將利用該復合材料同時降解染料和COD的結果來驗證以上猜測.
圖 2

圖 2 CA (a)、CA+PC (b)、CA+B (c)和CA+B+PC (d)的電鏡掃描圖及CA+B+PC的能譜分析圖(e)
3.1.3 材料的N2吸附-脫附曲線分析
圖 3給出了g-C3N4-P25光催化劑、CA+PC及CA+B+PC的吸附脫附等溫曲線,其比表面積、孔隙直徑、孔容等特征見表 1.根據IUPAC分類,圖中的吸附脫附等溫曲線均屬于Ⅲ型,說明該材料吸附作用力弱.在P/P0=0.8處出現明顯滯后回環,滯后回環呈H3型,表明該材料的介孔是由孔型為狹縫形或為兩平板之間的縫隙構成,這主要是由CA+B+PC中負載的g-C3N4-P25介孔引起的.表 1中各材料的比表面積由大至小依次為g-C3N4-P25、CA+PC、CA+B+PC、CA+B,可見各材料比表面積的貢獻主要來自于g-C3N4-P25,CA+B+PC的比表面積小于CA+PC,這是由于光合細菌的加入覆蓋了g-C3N4-P25的表面.
圖 3

圖 3 PC、CA+PC、CA+B+PC的N2吸附-脫附等溫線
3.2 光催化-微生物復合材料去除染料機理探究3.2.1 污染物去除效果分析
試驗對比了CA+B、CA+PC、CA+B+PC材料去除染料及高COD的能力(圖 4).從圖 4a可以看出,在60 min內,3種材料對染料的去除效率都較高,這主要是由于材料的吸附作用.隨著時間的延長,脫色速率減小,反應8 h后,CA載體、CA+B、CA+PC、CA+B+PC對染料的去除率分別為20%、68%、92%和94%.CA+B在前8 h染料去除率低可能是因為細菌剛進入一個新的環境,需要一定的適應期;CA+PC和CA+B+PC的染料去除率也幾乎一致.相應各材料的COD去除能力隨時間變化如圖 4b所示.CA+B+PC中剩余COD僅為200 mg · L-1左右,遠小于CA+PC反應中的剩余COD,而CA+B的剩余COD僅次于CA+B+PC.
圖 4

圖 4不同體系內活性艷紅X-3B濃度(a)和COD (b)隨時間變化曲線(n=5)
繼續進行高COD的模擬印染廢水的降解試驗,收集反應96 h后剩余COD的數據并計算相應COD的去除率(圖 5).由圖 5可見,CA+B、CA+PC和CA+B+PC的COD去除率分別為13.0%、42.9%、84.7%.CA+PC與CA+B+PC對COD去除率的不同在于光合細菌的作用.光催化劑產生的自由基由于受到模擬廢水中加入的NaHCO3、NH4Cl等的影響及氧氣的限制,并不能完全礦化反應體系中的有機物,累積中間產物使得COD去除率較低(Konstantinou et al., 2004;Guillard et al., 2003).相反地,在光催化結合微生物反應體系中,染料隨光催化降解產生的中間產物和可生化降解的葡萄糖一起進入復合材料內部,迅速被光合細菌降解、礦化.
圖 5

圖 5不同體系下96 h的COD去除率(n=5)
3.2.2 UV-Vis分析
分別對CA+B、CA+PC、CA+B+PC降解84 h后的產物及配制的原始染料廢水進行紫外-可見全波長掃描,結果見圖 6.圖中原始染料的全波長掃描圖中活性艷紅X-3B染料的幾個典型特征峰都有出現,其中,染料所具有的共軛顯色體系的特征吸收峰在可見光區域內的540 nm處,染料的脫色原理就是通過氧化途徑破壞其發色基團(N=N結構).在紫外區域內,苯環、萘環等難降解芳香結構的特征吸收峰分別在245、283、324 nm處(黃春梅等,2012).反應結束后,540 nm處的吸收峰消失,說明染料分子中的偶氮結構被光催化體系和微生物共同破壞了.相比反應前活性艷紅X-3B的波長掃描圖,各材料降解反應后產物的萘環吸收峰也消失了,該結果表明萘環結構是不穩定的,相對比較容易被氧化降解;而苯環化學結構穩定,其吸收峰一直存在,反應結束后,245 nm和283 nm處的吸收峰有一定程度的減弱.在283 nm處的苯環吸收峰中,CA+B降解反應后產物的吸收峰明顯高于CA+PC和CA+B+PC反應后產物的吸收峰,其中,復合材料的吸收峰是最小的.而在245 nm處的苯環吸收峰中,同樣是CA+B+PC反應后產物的峰值最小.說明染料分子降解過程中,光合細菌對苯環的降解能力相對較弱,而CA+B+PC發揮了光催化劑的作用,從而使得苯環的吸收峰大大減小.
圖 6

圖 6不同反應體系下的紫外-可見吸收光譜
3.2.3 FT-IR分析
在活性艷紅X-3B的FT-IR光譜中(圖 7),3435 cm-1處的峰為N—H和O—H的伸縮振動吸收峰,1539、1490和1454 cm-1處的峰為苯環、萘環或三嗪環的骨架振動吸收峰,1220、1172、1140和1051 cm-1處的峰為染料分子結構中R-SO3-的吸收峰,1629 cm-1對應的峰為N=N的吸收峰(Kaewsuk et al., 2010).由圖可見,3種材料的降解產物中都含有O—H和N—H的吸收峰,1634 cm-1處的強吸收峰為C=O的伸縮振動峰.結合表 2可知,3種材料降解反應結束后,pH值都有所下降,其中pHCA+PC>pHCA+B+PC>pHCA+B,說明反應體系中都有羧酸產生.羧酸的可能來源是葡萄糖的生物降解及光催化降解活性艷紅X-3B所產生.在1450~1540 cm-1處仍存在吸收峰,這可能為苯環、萘環或三嗪環的骨架振動吸收峰,表明活性艷紅X-3B染料分子沒有被100%的降解即完全礦化,苯類物質很難進一步被分解.由圖 7還可發現,CA+B反應產物中苯環的吸收峰(1450~1540 cm-1)比CA+PC與CA+B+PC反應產物的苯環吸收峰更強烈,說明光合細菌對苯環類物質降解能力較差,這與紫外-可見全波長掃描譜圖分析的結論一致.CA+B+PC的FT-IR光譜中沒有1220、1172、1140和1051 cm-1的吸收峰,說明R-SO3-的吸收峰消失,表明—SO3Na基團被破壞降解.具體聯系污水寶或參見http://www.dongaorq.cn更多相關技術文檔。
圖 7

圖 7活性艷紅X-3B染料和不同體系反應殘余物的紅外譜圖
3.2.4 GC-MS分析
通過GC-MS測定CA+B、CA+PC和CA+B+PC降解活性艷紅X-3B染料的產物.圖 8是氣相色譜的出峰圖,表 3是相應停留時間對應的物質.結合圖 8和表 3可發現,反應體系結束后,CA+B降解染料的中間產物主要是具有苯環結構的芳香烴物質,以及少量的短鏈烷烴物質.而CA+PC體系中累積的中間產物主要為高分子量的長鏈烷烴物質,芳香烴類的有機物相對較少.此外,在CA+B+PC反應體系中,相比于CA+B,芳香烴類化合物含量減少,而對比于CA+PC,該反應溶液中的長鏈烷烴類物質類型和含量都有所降低.基于以上試驗結果,可以推測CA+B+PC中光催化與微生物的相互作用關系如下:最初,由于反應溶液中含有大量的DO,在模擬太陽光的照射下(鹵素燈,全波長),光催化活性強,活性艷紅X-3B染料的發色基團在光催化與微生物的共同作用下被破壞,使其溶液脫色,此時光催化的脫色速率遠遠大于微生物脫色速率.然后,光催化劑產生的自由基繼續攻擊染料分子中的苯環結構,開環及一系列的加成聚合等反應生成長鏈烷烴化合物.隨著時間延長,DO量減少,光催化活性也隨之降低,長鏈烷烴類物質就很難繼續被降解.此時由于光合細菌的存在,長鏈烷烴化合物易被微生物降解.總的來說,光催化劑的存在可以降低芳香烴物質的累積量從而減少該化合物對微生物的影響,而體系中光合細菌又可以彌補光催化的缺點.這就是復合材料降解模擬印染廢水中芳香烴與烷烴化合物濃度相對較低,COD和染料去除率高的原因.
圖 8

圖 8不同體系反應殘余物的GC圖譜
為了更進一步了解CA+B+PC降解染料的途徑,試驗每隔12 h取樣,測定其COD(表 4),并利用GC-MS對中間產物進行檢測分析(圖 9).反應12 h的氣相出峰圖中,停留時間為58.90、62.86、66.42、71.02、72.91 min時的物質都為長鏈烷烴類化合物,而隨著反應時間的延長,長鏈烷烴物質逐漸減少,36和48 h時幾乎不存在這些物質.圖 9中停留時間約為19.15、35.89和54.72 min左右的物質分別為2, 4-二叔丁基苯酚、鄰苯二甲酸二丁酯、2, 2′-亞甲基雙-(4-甲基-6-叔丁基苯酚),這些具有芳香烴結構的化合物峰面積變化規律如表 5所示.根據試驗結果可以推測,反應前12 h,光催化降解染料速率遠遠大于光合細菌的降解速率,光催化起主導作用,此時溶液在脫色的同時,一些自由基會破壞染料分子中的苯環結構,使其生成長鏈烷烴類化合物.12 h后,由于光合細菌已經開始適應體系中的新環境,光合細菌降解染料生成苯環結構化合物的同時,可以即時迅速地將光催化氧化生成的長鏈烷烴降解礦化.這也是CA+B+PC降解染料中后期一直沒有長鏈烷烴化合物出現的原因.在12~24 h期間,可以發現芳香烴化合物迅速增加,24 h后減少,可能是因為此時光合細菌作用大于光催化作用,酚類、酯類化合物生成量大于其降解量,使其累積,而后緩緩降解.
圖 9

圖 9不同反應時間降解活性艷紅X-3B中間產物的GC圖譜
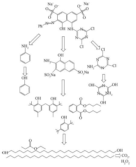
基于以上中間產物的測定及結合相關文獻報道(涂盛輝等,2015;Wu et al., 2000;Liu et al., 2015;Xu et al., 2009),推測出CA+B+PC降解染料(活性艷紅X-3B)的途徑(圖 10)為:首先,由光催化產生的自由基和光合細菌共同破壞染料的偶氮結構,生成苯胺類化合物及多種具有苯環結構的化合物;然后,自由基繼續破壞苯環結構產生長鏈烷烴,光合細菌及時利用光催化生成的長鏈烷烴,使其降解礦化.此外,光合細菌也可將部分含有苯環結構的中間產物緩慢降解為分子量較小的烴類、酚類、醇類、酯類,最后礦化成CO2和H2O.
圖 10

圖 10 g-C3N4/TiO2/光合細菌復合材料降解活性艷紅X-3B的路徑
4 結論(Conclusions)
利用海藻酸鈣共固定光合細菌與可見光響應的g-C3N4-P25光催化劑,成功合成了同時具有光催化氧化和生物降解作用的g-C3N4-P25/光合細菌復合材料.研究發現,該復合材料對染料X-3B的降解效率為94%,COD去除率為84.7%,遠遠優于固定化微生物及固定化光催化劑.結合SEM及采用UV-Vis、FT-IR和GC-MS等手段對反應后的產物進行檢測分析,發現染料的可能降解途徑為:由光催化產生的自由基和光合細菌共同破壞染料的偶氮結構,生成苯胺類化合物及多種具有苯環結構的化合物,自由基繼續破壞苯環結構產生長鏈烷烴,光合細菌及時利用光催化生成的長鏈烷烴,使其降解礦化.此外,光合細菌也可將部分含有苯環結構的中間產物緩慢降解為分子量較小的烴類、酚類、醇類、酯類,最后礦化成CO2和H2O.(來源:環境科學學報 作者:張新穎)







