養殖廢水為畜禽養殖場產生的尿液、糞便及圍欄沖洗水, 由于一般工藝無法低成本、高效率去除其中的污染物, 畜禽廢水的治理已經成為養殖業持續良性發展的瓶頸.人工濕地集中凈化養殖廢水有諸多優勢, 解決了工業化處理模式運行成本高等缺陷.但是隨著養殖業發展, 養殖規模逐漸擴大, 其有機物含量較高, COD、NH4+-N及SS質量濃度高達5 000~10 000、1~500及1 000~5 000 mg ·L-1等, 養殖廢水原液直接排入人工濕地會導致植物死亡, 去除效率低等現象, 如何使養殖廢水經過前期生態處理, 使出水達到濕地植物耐受范圍的研究較少.此外, 冬季濕地系統中多數植物停止生長甚至死亡, 導致人工濕地的凈化能力降低.因此采用耐受低溫環境的前期生態處理, 有助于彌補冬季濕地植物的不足.
結合國內外對養殖廢水處理研究, 發現基質填料是污染物凈化的功能主體, 是生態治理的重要環節.傳統基質材料價格低、易獲取, 但有機物的累積會導致濕地基質堵塞, 影響基質材料對磷的吸附能力, 增加后期管理與維護成本, 令廣大養殖戶難以接受.同時, 許多研究表明, 向基質池投加不同類型的液體有機碳源如甲醇、乙醇或乙酸等, 可為反硝化提供碳源.但與液態碳源相比, 固體有機物質可以避免反硝化過程碳源過量或不足量的問題, 易于控制劑量且價格低廉.如Liu等的研究發現, 聚(丁二酸丁二醇酯)/竹粉(PBS/BP)作為碳源可有效去除循環水產養殖系統中硝酸鹽, 且沒有亞硝酸鹽和低氨積累, 同時添加竹粉可降低經濟成本.而針對農村地區高負荷畜禽養殖廢水的C/N比較低的情況, 來源廣、成本低的農作物秸稈可作為基質材料的首選.雖然秸稈高溫煅燒而成的生物炭具有較優的吸附性能, 可用于污水處理并有降低污水中的氨氮和磷酸鹽的作用, 在短時間內就能達到很好去除效果, 其作用原理主要在于其疏松多孔的生物質炭結構易于促進微生物的大量繁殖, 但是由于有機碳源不足縮短了基質材料的使用與更換周期, 因此生物炭更適合與濕地植物搭配填充促進植物根系生長.玉米稈、稻草與麥秸等木質纖維類物質, 纖維素、木質素和半纖維素, 纖維素所占比例最大, 約為40%, 這3種成分的質量占植物纖維質原料總質量的80%~95%.因此, 未加工的玉米稈、稻草、麥秸、蘆葦、軟硬木材等生物基質材料也可在微生物的作用下轉化, 釋放出單糖為反硝化提供碳源, 還可作為基質填料中微生物生長的載體提升脫氮效率, 并且滲透系數高.同時, 作物秸稈與水生植物莖葉類似, 其表面的附著層為反硝化作用提供了微環境和物質基礎.
因此, 選用作物秸稈作為基質池填料的前期生態處理既能滿足廣大養殖戶對污水治理的需求, 又能降低管理難度.李裕元等的研究發現, 稻草對養豬場廢棄物中N、P和COD有極好的處理效果, 在長江中下游廣大亞熱帶地區有很好地推廣應用前景.南北方地區耕地類型存在差異, 主要農作物不盡相同.為了就地取材, 降低成本, 現研究比較三大糧食作物秸稈——稻草、麥秸和玉米稈對養殖廢水處理效果及基質材料降解過程, 以期為秸稈應用于養殖廢水處理提供科學依據, 并對減少農副產品對生態環境的污染具有重要的科學意義和實踐價值.
1 材料與方法
1.1 研究區概況
野外控制實驗位于湖南省長沙縣金井鎮(112°56′~113°30′E、27°55′~28°40′N), 實驗小區地處典型亞熱帶濕潤季風氣候區.年平均氣溫17.5℃, 氣溫在-5.2~40.1℃范圍內, 無霜期274 d.降水集中于4~10月, 多年降雨量在1 200~1 500 mm.
1.2 實驗設計
實驗小區設置4個處理, 稻草、麥秸、玉米稈與空白對照, 各處理由3個同等大小基質池串聯(長×寬×深:100 cm×50 cm×50 cm)組成, 每級基質池內填充12.5 kg大小均勻風干處理的作物秸稈, 每個處理3次重復(空白對照設置兩個重復).進水由蠕動泵連續泵入基質池內, 水力停留時間為7 d(圖 1).實驗觀測于2017年9月開始, 2018年3月結束.
圖 1

1.3 實驗材料
稻草、玉米稈取自中國科學院長沙農業環境站附近牛場, 并從河南省開封市采購麥秸, 3種秸稈常規營養成份含量見表 1.
表 1 秸稈常規營養成份含量/g ·kg-1
本實驗進水取自白沙鄉大花養豬場經過厭氧處理的沼液廢水, 水質具有一定的波動性, 各主要污染物成分(COD、TN、NH4+-N、NO3--N和TP)質量濃度變化范圍分別為1454.49~1851.17、308.73~433.89、259.81~347.21、0.40~1.27和53.17~77.27 mg ·L-1.
1.4 樣品采集與分析
1.4.1 養殖廢水的采集與分析
每周收集基質池進水和出水的水樣各200 mL.取100 mL左右的水樣進行離心, 取上清液放入干凈的采樣瓶中, 用于NO3--N和NH4+-N的測定, 剩余的水樣(未離心的水樣)用于COD、總氮、總磷的測定.分析測定指標包括:pH、溫度(T)、氧化還原電位(Eh)、溶解氧(DO)、NH4+-N、NO3--N、TN、TP和COD.物理指標(pH、T、Eh和DO)用便攜式DO測定儀對每次進水前的進水和收集后的瞬時出水進行測量, 水樣中NH4+-N的濃度直接用流動注射儀(AA3, 德國SEAL公司)測定; TN濃度采用堿性過硫酸鉀消解-流動注射儀法(GB11894-89); TP濃度測定采用過硫酸鉀消解-鉬酸銨分光光度法(GB 11893-89); COD濃度測定采用重鉻酸鹽法(GB 11914-89).
1.4.2 基質材料的采集與分析
基質材料樣品每月采集一次.總計采集7次(含背景值), 共165個樣品.取預先填埋于基質池中的白色尼龍網袋, 清洗后放于信封袋內, 于105℃烘箱中殺青30 min, 然后于80℃下烘至恒重, 稱干重.將剩余樣品研磨、過篩(40目)處理后裝于自封袋保存.進行纖維素、木質素、半纖維素的測量.使用FT12自動纖維分析儀, 采用中性、酸性洗滌纖維測定步驟.后經72%硫酸溶液浸泡, 除去酸性洗滌木質素, 置于550℃馬弗爐中灰化3h得到粗灰分.
1.5 數據處理與統計
1.5.1 水質指標計算方法
各污染指標去除率(r)、進水負荷(m0)、出水負荷(m1)及去除負荷(p)分別采用如下公式計算:

式中, c1和c2為基質池進, 出水濃度(mg ·L-1); Q為基質池進水流量(L ·d-1).
1.5.2 纖維素、木質素和半纖維素含量計算方法
通過中性、酸性洗滌纖維質量間接計算纖維素、半纖維素及酸性洗滌木質素(ADL)含量.中性洗滌纖維(NDF)包括纖維素、半纖維素、木質素(ADL)、硅酸鹽, 酸性洗滌纖維(ADF)包括纖維素、木質素、硅酸鹽.各纖維成分質量分數計算公式如下:
式中, m1為纖維袋和NDF的質量(g); m2為纖維袋的質量(g); m為樣本質量(g); m3為纖維袋重和ADF的質量(g); CZ為經72% H2SO4處理后的殘渣的質量(g); 粗灰分為馬弗爐灼燒后殘余物質量(g).
1.5.3 數據處理與統計
采用Excel 2013進行數據分析, OriginPro 8作圖, 并用SPSS 19進行one-way ANOVA單因素方差分析, 在顯著性水平P < 0.05或0.01下表示差異顯著.水樣數據及基質材料樣品均在重復實驗中取平均值與標準差.
2 結果與討論
2.1 3種基質材料去除效果分析
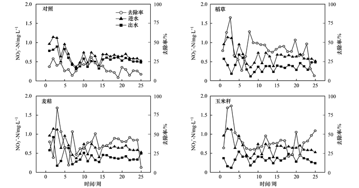
經基質池處理后出水COD、TN、NH4+-N、NO3--N和TP質量濃度分別下降到1115.78~1146.01、223.36~263.99、167.08~200.12、0.34~0.41和43.67~47.51 mg ·L-1均低于對照處理, 對照組出水COD、TN、NH4+-N、NO3--N與TP質量濃度分別為(1459.2±150.9)、(306.9±27.6)、(251.3±13.7)、(0.59±0.12)和(62.8±12.8) mg ·L-1.經基質池處理后, 廢水濃度降至綠狐尾藻人工濕地耐受范圍, 適宜綠狐尾藻生長以便其資源化利用[16].
從圖 2~6可以看出, 實驗開展后0~5周不同基質材料對不同污染物的去除差異不大, 這有可能跟基質材料剛投加到廢水中, 各基質材料表面附著微生物需馴化一段時間有關.總體上, 稻草對COD、TN、NH4+-N、NO3--N和TP質量濃度分別降低到(1 115.78±161.28)、(226.77±46.80)、(171.39±31.56)、(0.41±0.16)和(43.75±10.41)mg ·L-1, 麥秸對COD、TN、NH4+-N、NO3--N和TP質量濃度分別降至(1 146.01±218.59)、(223.36±50.88)、(167.08±39.91)、(0.30±0.13)和(43.67±9.05)mg ·L-1, 玉米稈對COD、TN、NH4+-N、NO3--N和TP質量濃度分別處理至(1 124.86±161.66)、(263.99±50.52)、(200.12±34.75)、(0.34±0.10)和(47.51±9.93)mg ·L-1.
圖 2基質池COD進出水濃度及去除率動態變化


圖 4基質池NH4+-N進出水濃度及去除率動態變化


實驗5周后, 稻草及麥秸對污染物去除率呈現升高-降低-平穩下降的變化趨勢, 11~12月處理效率逐漸升高達到極大值.玉米稈對NH4+-N、TN和TP去除率緩慢增長, 這有可能與材料表面性質及木質素、纖維素分解效率等相關.從植物學的角度分析, 玉米稈的外皮部, 木質素含量最高, 韌皮堅硬, 外皮部分細胞壁木質化程度較高, 需要更充分的時間用于微生物的繁殖與纖維素的分解, 因此玉米稈對污染物去除率在12月前后達到極大值.進入12月后期受溫度影響去除率大幅下降.次年3月溫度回升后去除率趨于穩定.具體聯系污水寶或參見http://www.dongaorq.cn更多相關技術文檔。
經過6個月實驗周期, 秸稈材料作為基質材料處理高濃度養殖廢水效果明顯, 麥秸對COD、TN、NH4+、NO3-和TP平均去除率分別為32.1%、40.9%、42.2%、38%和33.3%;稻草對COD、TN、NH4+、NO3-和TP平均去除率分別為30.8%、39.7%、43.4%、40.7%和32.7%;玉米稈對COD、TN、NH4+、NO3-和TP平均去除率分別為31.6%、28.8%、41.7%、31.56%和27.1%, 而對照組對COD、TN、NH4+、NO3-和TP平均去除率分別為12.25%、13.55%、11.96%、16.40%和11.26%.自然條件下未添加秸稈材料的對照組, 底泥微生物參與硝化反硝化作用, 且存在氨揮發可少量去除污染物.不同秸稈生物基質材料對TN和TP的去除能力大小為麥秸>稻草>玉米, 氨氮的去除能力為稻草>麥秸>玉米稈, 而對COD的去除能力則為麥秸>玉米稈>稻草.
2.2 生物基質池逐級去除效率分析
各級基質池對污染物去除均有貢獻. NH4+-N、TN與TP質量濃度總體呈遞減趨勢, NH4+-N、COD與TN在一級基質池遞減量最大, 占遞減量的58.5%、65.5%和63.2%; TP、NO3--N占總遞減量的65.6%、74.7%.由于麥秸、稻草、玉米稈三者均為作物秸稈, 短期內3種秸稈材料在一級, 二級基質池內的處理效果存在差異但不顯著, 而在前兩級處理效果的基礎上, 廢水經第三級基質池時產生顯著差異, 見圖 7.添加生物基質材料對養殖廢水有較好的去除效果.隨時間變化, 受環境因素及生物基質材料自身變化的影響, 稻草材料對各指標去除效果的變化幅度最大.
圖 7

2.3 污染物去除效果與環境因子間相關性分析
基質池系統中pH、Eh及DO的變化特征見圖 8.本實驗期間, 養殖廢水流經基質池過程中Eh和DO的變化范圍為-37.4~-29.3 mV和0.04~0.17 mg ·L-1, 兩者均表現出隨梯級的增加而不斷上升的變化趨勢.廢水流經基質池前后DO < 0.2 mg ·L-1, 長期處于厭氧條件, 經基質池處理后, 廢水中溶解氧逐漸增加.系統中pH值的變化范圍為7.05~7.74, 呈弱堿性條件.隨著濕地梯級的增加緩慢降低.各級基質池Eh、pH及DO差異顯著(P < 0.05).將水體TN、TP去除效果與水環境因子(pH、Eh及DO)進行Pearson分析(表 2), 結果表明養殖廢水污染物去除效率受Eh值、DO濃度影響較大, TN和NH4+-N去除率均與DO呈正相關(P < 0.01), 與Eh、pH負相關(P < 0.01).說明DO是影響其去除效果的重要因素.實驗過程中, 水中的溶解氧質量濃度不高于0.3 mg ·L-1.徐偉鋒等的研究表明, 當人工濕地基質內的溶解氧小于2 mg ·L-1時, 有利于污水中硝態氮的去除. Liu等的研究也發現高DO能提高濕地系統中NH4+-N的去除率.由于當濕地系統中DO濃度增加時, 好氧硝化細菌的硝化速率增強, 進而有更多的NH4+-N被氧化, 濕地系統中TN去除率隨之增高.
圖 8
表 2 生物基質材料去除效果與環境因子間相關性分析
養殖廢水濕地TN、TP濃度與Eh、DO顯著負相關(P < 0.01), 與pH顯著正相關(P < 0.01).趙發敏等的研究表明當pH值大于7或小于5時, 氨氮的去除率迅速下降, pH值對吸附除磷的影響不明顯, 基本上與本實驗結果一致.溫度對吸附除磷的影響表明, 在35℃時, 達到吸附平衡后最優.盡管基質池內溶解氧質量濃度低至0.05~0.21 mg ·L-1, 此時對聚磷菌釋磷過程仍有抑制作用.聚磷菌厭氧釋磷、好氧吸磷, 溶氧含量過低也抑制了好氧吸磷的進程.溫度與各污染物去除效率相關性較弱是由于秸稈材料投加正值夏季高溫期, 高溫條件會抑制人工濕地對污染物的去除; Zhang等的研究指出, 硝化反硝化是濕地系統N去除的主要途徑, 而高溫(>30℃)則抑制反硝化速率, 從而降低濕地對N的去除.投加前期各污染物去除效率隨纖維素的分解而緩慢上升, 但同時溫度的上升削弱了秸稈材料硝化反硝化作用.總體上, 生物基質材料對氮磷去除效率較為穩定.
2.4 降解周期比較與分析
2.4.1 生物基質材料木質素、纖維素及半纖維素含量變化分析
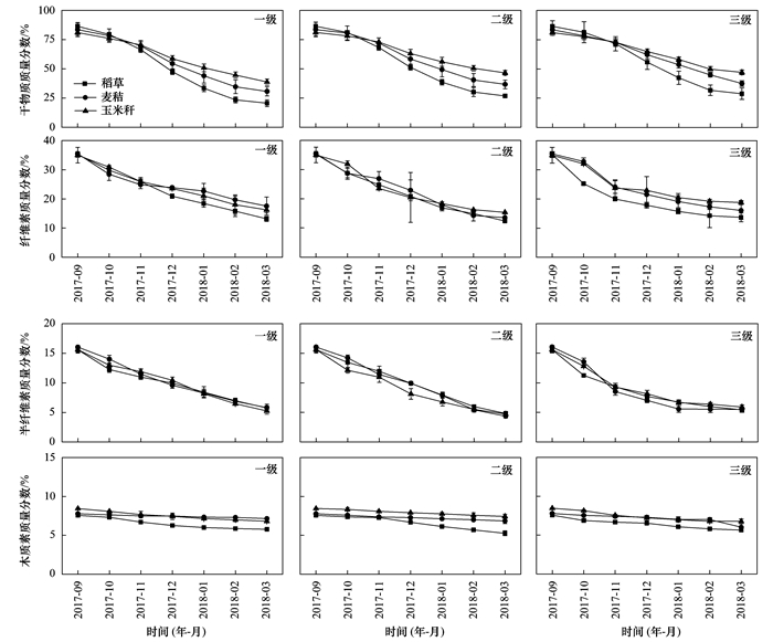
從圖 9可以看出, 各基質材料干物質、木質素、纖維素與半纖維素質量分數變化.稻草、麥秸與玉米稈中干物質由初始的86.33%、83.48%和81.05%降至20.62~28.79%、30.75~37.55%和38.78~47.07%.同級基質材料纖維素降解分解速率要高于木質素及半纖維素.纖維素及半纖維素質量分數前期下降較快, 4~5個月后趨于平緩.且隨秸稈分解, 各處理間差值逐漸變大.實驗運行6個月時稻草、麥秸、玉米稈中木質素、纖維素和半纖維素質量分數分別由初始時的:稻草7.57%、35.2%、15.6%下降至3.3%~5.78%、12.3%~13.7%、4.9%~5.8%;麥秸7.8%、35.5%、16.1%下降至6%~7.2%、13.5%~17.6%、4.4%~5.9%;玉米稈8.5%、35%、15.7%下降至6.8%~7.4%、15.3%~18.8%、4.8%~5.9%.分析發現, 同級間木質素、纖維素分解速率為:稻草>麥秸>玉米稈; 半纖維素:麥秸>玉米稈>稻草.濕地中碳源主要源于纖維素的分解, 纖維素下降趨于平緩時, 應對秸稈材料進行補充更新.在實驗進行5個月左右時干物質與纖維素分解速率下降, 提議5個月為更新周期, 與國內外眾多研究結果較為一致.
圖 9

2.4.2 生物基質材料成分變化差異分析
為探究各級基質池內纖維成分降解速率是否產生差異, 取各纖維成分的月平均含量進行分析(見表 3).每級基質池內秸稈材料初始成分相同, 與廢水反應后稻草與麥秸中纖維素及半纖維素含量逐級產生差異(P < 0.05), 玉米稈中半纖維素含量產生差異(P < 0.05), 但在細胞壁中, 纖維素被木質素和半纖維素包裹著, 而木質素有完整堅硬的外殼, 不易被微生物降解, 因此木質素質量分數變化量小于纖維素, 且前期木質素的分解速率較低, 受到限制.在不同處理條件下, 同級秸稈中木質素、纖維素含量存在差異, 但由于初始含量各有不同, 說明差異性并沒有隨纖維的分解而消失.相反, 細胞壁中的半纖維素較之木質素而言更易分解, 因此半纖維素是微生物較易攻破的防線, 導致各秸稈中半纖維素含量的差異逐漸減小.有機物厭氧降解過程主要分為水解發酵、產氫產乙酸及產甲烷這3個階段.秸稈材料的厭氧降解需要不同階段的微生物協同作用完成.秸稈經長時間處理粗纖維可被有效降解, 表面有大量的小孔隙分布, 是微生物降解秸稈后打通的孔道.
表 3 生物基質材料成分逐級差異性分析
3 結論
(1) 稻草、麥秸對COD、氨氮、總氮和總磷有良好的去除效果(COD>30%、TN>40%、TP>30%).玉米稈、稻草對硝氮去除效果較高(NO3--N>40%).生物基質材料對高負荷養殖廢水去除效果顯著.
(2) 實驗進行6個月后, 秸稈中各成分均未完全分解.纖維素, 半纖維素分解速率快于木質素.稻草木質素和纖維素分解速率最快, 麥秸半纖維素分解速率最快, 且逐級差異顯著(P < 0.05).
(3) 秸稈中易分解成分的快速分解階段大概為5個月左右, 殘余成分主要為木質素, 因此在長沙地區秸稈的補充周期建議為5個月左右.(來源:環境科學 作者:劉銘羽)







