砷是廣泛分布在環境中帶有劇毒的類金屬元素, 主要來源于農藥、化肥、生產玻璃制品、冶金工業廢物、熔煉和采礦業等[1].長期接觸砷會導致嚴重的健康問題, 例如角化病、壞疽或癌癥等. 《生活飲用水衛生標準》中規定飲用水中砷含量小于等于0.01 mg·L-1.全世界不同的水域環境中受到砷污染影響的人已超過1億.因此, 人類需要開發一種高效率、低成本的方法從水環境中將As(Ⅴ)溶液去除.
Lee等使用胺摻雜的丙烯酸離子交換纖維去除10 mg·L-1的As(Ⅴ)溶液, 60 min達到平衡狀態, 去除率為98.5%; Asmel等[6]利用納米鐵離子富集材料(NIIEM)去除1 mg·L-1的As(Ⅴ)溶液, 2 h后去除率達到97%; Li等利用MOF-808納米晶體去除5 mg·L-1的As(Ⅴ)溶液, 30 min后去除率達到95%.但都沒有高級氧化技術更高效、普遍、徹底.
高級氧化技術因具有操作過程簡單、反應物易得、費用低、無需復雜設備、不會分解產生新的有害物質、對后續處理無毒害作用、對環境友好等優點已被廣泛使用.與其他過渡金屬相比, Fe2+原料易得、價格便宜, 但是體系中過量的Fe2+和硫酸根自由基(SO4-·)會發生反應, 使得SO4-·的利用率降低.零價鐵(zero valent iron, ZVI)可充當鐵源, 持續釋放Fe2+, 激活過硫酸鈉(sodium persulfate, PS).且有學者研究發現, 使用ZVI作為Fe2+來源比直接加入亞鐵鹽的效果好, 因為ZVI可以附著在固體上形成過濾的效果. PS因具有高水溶性、成本低廉、易儲存、在地下有更好的化學穩定性等優點使其成為最有前景的原位化學氧化劑(ISCO). ZVI活化PS是一種成本低廉、高效且環保的技術.
鑒于國內外采用ZVI活化PS處理水體中As(Ⅴ)溶液的研究鮮見報道, 本文將采用此方法, 通過改變PS和ZVI投加量、反應溫度、pH值、As(Ⅴ)溶液初始濃度, 分析ZVI活化PS對As(Ⅴ)溶液的去除效果和動力學的影響.
1 材料與方法
1.1 藥品與儀器
過硫酸鈉(PS)購于天津大學科威公司、零價鐵粉(ZVI)購于天津市福晨化學試劑廠、硝酸(HNO3)購于天津化學試劑廠、氫氧化鈉(NaOH)購于天津市風船化學試劑科技有限公司. 1 g·L-1 AsCl5購于中國國家標準物質研究中心, 實驗用水均為去離子水, 所用藥品均為分析純.
電子分析天平AL204(上海伊準儀器公司)、水浴恒溫振蕩器XMTB(天津市中環實驗電爐有限公司)、場發射掃描電子顯微鏡SUPRA 55VP(德國ZEISS公司)、X射線光電子能譜分析儀PHI1600(美國PE公司)、電感耦合等離子質譜儀ELAN 900(美國PerkinElmer公司)、pH計雷磁-360(上海雷磁儀器廠).
1.2 試驗方法
本實驗采用的廢水為自行配置, 首先檢測1 g·L-1 As(Ⅴ)標準溶液的pH值為1.17, 將其稀釋到所需濃度, 并調節pH值后放入容量瓶中備用.
稱取一定量的PS、ZVI放入100 mL聚乙烯瓶中.用量筒取100 mL的As(Ⅴ)溶液倒入聚乙烯瓶中, 將其放在水浴恒溫振蕩器上振蕩(160 r·min-1), 設定溫度.分別在0.5、1、2、5、10、20、30、60、120 min時用注射器取樣, 并將樣品經0.42 μm針頭濾膜過濾后, 利用3%的硝酸定容, 等待檢測.所有批實驗如表 1所示.
表 1

表 1 批實驗的控制變量
2 結果與討論 2.1 表征
為了觀察ZVI反應前后表面形貌的變化, 對其進行了環境掃描電鏡(SEM)分析. 圖 1(a)為加入ZVI的SEM照片, 從中可以看出直徑大約為6 μm的ZVI呈現出不規則、凹凸不平的光滑表面, 其他學者在相關研究中也得到了類似光滑表面的ZVI[11, 16, 17]. 圖 1(b)為ZVI活化PS后去除As(Ⅴ)溶液的SEM照片, 反應后團聚成直徑大約為12 μm的ZVI其表面呈現明顯的裂紋和孔穴, 外貌變得較為蓬松, 出現了腐蝕產物層[18].其他學者用ZVI活化PS后也得到了鐵腐蝕產物[19, 20].經ZVI活化PS后更容易被腐蝕, 進而更有利于溶液中As(Ⅴ)的去除.
圖 1

圖 1 ZVI和PS+ZVI的SEM照片
2.2 ZVI活化PS去除水中As(Ⅴ)溶液的影響因素
反應條件對去除率有重要的影響, 結果如圖 2所示.僅加入0.5 g的ZVI, 僅加入0.1 g的PS與加入0.1 g的PS、0.5g的ZVI去除As(Ⅴ)溶液的三組實驗對照[圖 2(a)].結果表明:利用ZVI活化PS產生的SO4-·對As(Ⅴ)溶液的去除能力遠遠大于PS或ZVI.利用ZVI活化PS在10 min時基本達到平衡狀態, As(Ⅴ)溶液的去除率在98.78%~99.95%之間.而在只有PS的條件下, As(Ⅴ)溶液的去除率最大為14.57%, 在只有ZVI的條件下, As(Ⅴ)溶液的去除率最大為10.85%. ZVI活化PS后, 產生了更多的吸附位點, 吸附能力也大大提高.因此, 在僅加入PS或ZVI的條件下不能快速、有效地去除As(Ⅴ)溶液.
圖 2

圖 2 反應條件對As(Ⅴ)溶液去除率的影響
PS的投加量對As(Ⅴ)溶液去除率的影響[圖 2(b)], 其實驗條件為:反應溫度20℃、As(Ⅴ)溶液初始濃度20 mg·L-1、初始pH值7、ZVI投加量0.5 g, PS投加量分別為0.01、0.02、0.05、0.1 g, 考察不同PS投加量對水中As(Ⅴ)溶液去除效果的影響.由圖可知, 對于不同ZVI投加量, 120 min后基本達到平衡狀態, As(Ⅴ)溶液的去除率達到90.55%~99.95%之間, 由于用量少, 因此需要較長的反應時間.當PS投加量為0.1 g和0.02 g時, As(Ⅴ)溶液的去除率隨時間的增加而提高, 少量的ZVI不能很好地活化PS; 當PS投加量為0.1 g時, 去除效果最好, 因此選擇PS投加量為0.1 g進行以下各步驟實驗.當ZVI投加量為0.5 g, PS投加量為0.1 g的實驗中, 0.5 min時檢測pH值為2.77, 有利于ZVI的腐蝕.與其它學者的研究結果一致, 即酸性有利于零價鐵的腐蝕[21].
ZVI的投加量對As(Ⅴ)溶液去除率的影響[圖 2(c)], 其實驗條件為:反應溫度20℃、As(Ⅴ)溶液初始濃度20mg·L-1、初始pH值7、PS投加量0.1 g, ZVI投加量分別為0.1 g、0.2 g、0.5 g時, 考察不同ZVI投加量對水中As(Ⅴ)溶液去除效果的影響.由圖可知, 對于不同ZVI投加量, As(Ⅴ)溶液的去除效率隨時間的增加而提高, 20 min后基本達到平衡狀態, As(Ⅴ)溶液的去除率在98.20%~99.95%之間.隨著ZVI的投加量增大, 使得ZVI活化PS后其表面的裂紋和孔穴增多[17], 從而ZVI有更多的活性位點與溶液中的As(Ⅴ)發生反應, 去除率隨之升高. ZVI不僅可以作為緩慢持續的釋放Fe2+的鐵源, 而且避免了導致SO4-·減少的陰離子和氧化效率的降低[22, 23].通過對比可得, 當ZVI投加量為0.5g時是最佳用量, 因此, 選擇ZVI投加量為0.5 g, PS投加量為0.1 g進行以下各步驟實驗.
溫度對As(Ⅴ)溶液去除率的影響[圖 2(d)], 其實驗條件為:As(Ⅴ)溶液初始濃度20 mg·L-1、初始pH值7、ZVI投加量0.5 g、PS投加量0.1 g, 反應溫度分別為20、25、30、35℃的條件下, 考察不同溫度對水中As(Ⅴ)溶液去除效果的影響.由圖可知, 對于不同溫度, As(Ⅴ)溶液的去除率隨溫度的升高而降低, 30 min后基本達到平衡狀態, As(Ⅴ)溶液的去除率在94.31%~99.95%之間.在實驗過程中, 將As(Ⅴ)溶液倒入裝有ZVI、PS的聚乙烯瓶中,反應過程中有放熱的現象, 根據勒夏特列原理[26]可知, 溫度升高不利于放熱反應的進行, 導致反應不夠充分.該反應放熱且自發, 是一個熵減過程.溫度升高時, 離子的遷移率隨之增加, 因此表面沉淀減少.也就是吸附表面的吸附位點逐漸減少, 且與砷的結合穩定性隨溫度的升高而減弱[25].因此選擇在20℃進行以下各步驟實驗.
溶液的初始pH值對As(Ⅴ)溶液去除率的影響[圖 2(e)], 其實驗條件為:反應溫度20℃、As(Ⅴ)初始濃度20 mg·L-1、ZVI投加量0.5 g、PS投加為0.1 g, 初始pH值分別為1、2、3、5、7、9時, 考察不同pH值對水中As(Ⅴ)溶液去除效果的影響.由于PS溶解度大, 適用pH廣泛[26], 對于pH值在1~9之間, 除pH=1以外, 其他pH條件下30 min后基本達到平衡狀態, As(Ⅴ)溶液的去除率在97.38%~99.95%之間, 因此pH對ZVI活化PS去除As(Ⅴ)溶液的影響甚小.研究表明, 酸性條件下SO4-·為主要的自由基; 中性及弱堿性條件下SO4-·和·OH同時存在; 強堿性條件下·OH為主要的自由基[27, 28].因此, 當pH=7和pH=9時, 產生了具有強氧化性的SO4-·和·OH使得As(Ⅴ)溶液得到快速去除.文獻[29]將納米零價鐵顆粒固定在氧化多壁碳納米管上進行As(Ⅴ)的去除, 在pH=7的條件下As(Ⅴ)溶液的吸附量最大; El-Moselhy等[30]利用HFO-Si(二氧化硅負載的水合氧化鐵)去除As(Ⅴ)溶液, 在pH=7的情況下對As(Ⅴ)溶液的去除率最高.且本文經過對比得出pH=7更利于溶液中As(Ⅴ)溶液的去除, 因此選擇pH值為7時進行以下各步驟實驗.
As(Ⅴ)溶液初始濃度對As(Ⅴ)溶液去除率的影響[圖 2(f)], 其實驗條件為:反應溫度20℃、初始pH值7、ZVI投加量0.5 g、PS投加量0.1 g, As(Ⅴ)溶液初始濃度分別為20、40、80、100 mg·L-1的條件下, 考察不同As(Ⅴ)溶液初始濃度對水中As(Ⅴ)溶液去除效果的影響. As(Ⅴ)溶液的濃度從20 mg·L-1升高到100 mg·L-1, ZVI活化PS對As(Ⅴ)溶液都有較好的去除效果, 30 min后反應達到平衡狀態, 去除率在98.33%~99.95%之間.反應初始階段, 去除效率隨著濃度的升高而降低, 這是因為初始濃度越高, 氧化底物濃度越大, 反應時間相同時, 其剩余絕對濃度也高于初始濃度低的反應體系[31].也就是說, 30 min后As(Ⅴ)溶液的去除達到飽和, 但一定質量的PS和ZVI反應后所能提供的活性位點是有限的, 平衡后的去除率隨As(Ⅴ)溶液的初始濃度增大而減小.
2.3 動力學影響
在許多文獻中, 準一級動力學和準二級動力學已得到廣泛運用[32].準一級動力學研究了擴散控制過程, 是內擴散方程[33~37], 準二級動力學由液體/固體界面的吸附反應所控制.通過數據擬合發現本實驗符合準二級動力學.
利用準二級動力學方程對數據進行擬合, 研究ZVI活化PS去除As(Ⅴ)溶液的吸附過程, 反應方程式為[38]:

式中, k2為準二級吸附反應速率常數[g·(mg·min)-1]; qe為平衡吸附量(mg·g-1); qt為t時刻的吸附量(mg·g-1); t為吸附時間(min).
t時刻對于As(Ⅴ)溶液的吸附量qt, 按照如下公式計算[39]:

式中, c0為As(Ⅴ)溶液的初始濃度(mg·L-1); ct為t時刻As(Ⅴ)溶液的濃度(mg·L-1); V為As(Ⅴ)溶液的體積(mL); m為ZVI的質量(g).
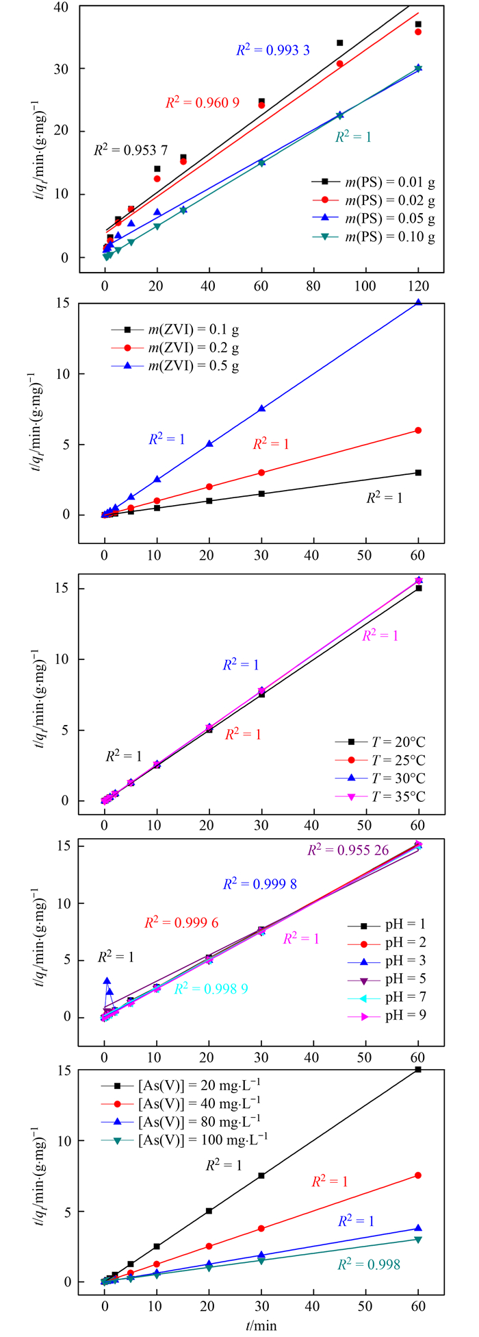
通過對實驗數據進行擬合, 結果如圖 3所示.隨著反應時間t的增加, t/qt也在同比例增加, 不同反應條件擬合后的曲線R2均大于0.95.因此, ZVI活化PS去除As(Ⅴ)溶液的反應過程符合準二級動力學方程.
圖 3

圖 3 ZVI/PS體系去除不同反應條件As(Ⅴ)溶液反應的準二級動力學擬合曲線
2.4 PS活化ZVI去除水中As(Ⅴ)溶液的機制分析
圖 4為與As(Ⅴ)溶液反應前及反應后ZVI/PS體系的XPS圖譜.通過對比其中曲線發現, 去除As(Ⅴ)溶液后, 出現了一個As的新特征峰[40].這說明As(Ⅴ)溶液已經從水中分離出來吸附在ZVI/PS體系表面.
圖 4

圖 4 ZVI/PS體系處理As(Ⅴ)溶液前后的XPS圖譜
圖 5(a)為ZVI/PS體系與As(Ⅴ)溶液反應后的As的窄軌道XPS圖譜. As3d的電子結合能譜峰出現在45.5 eV處, 其對應為As(Ⅴ)[41].結果表明, 在ZVI/PS體系表面As(Ⅴ)溶液發生了物理吸附過程. ZVI活化PS后表面出現明顯的裂紋和孔穴, 增加了比表面積.
圖 5

圖 5 ZVI/PS體系的窄軌道XPS圖譜
圖 5(b)為ZVI/PS體系與As(Ⅴ)溶液反應后S的窄軌道XPS圖譜. S2p的電子結合能譜峰分別出現在162.80 eV、168.40 eV處, 分別可能對應為FeS2、Na2S2O3[42].如圖 6所示, ZVI中只加入As(Ⅴ)溶液時, 為無色; 再加入PS, 反應0.5 min后, 為淡灰色; 反應1 min時開始出現黃色, 之后黃色逐漸加深, 靜置1 d出現明顯的黃色沉淀, 其黃色沉淀可能為FeS2沉淀[42].
圖 6

圖 6 ZVI活化PS反應過程的顏色變化
通過對照實驗可知, 利用ZVI活化PS產生的SO4-·對As(Ⅴ)溶液的去除能力遠遠大于PS, 這是因為ZVI與PS反應持續釋放Fe2+, 主要作用機制[43]如式(1)~(4) 所示.
好氧條件:
厭氧條件:
ZVI和PS的組合實現了高級氧化技術, 在ZVI/PS體系中, 過硫酸根離子可將ZVI氧化為Fe2+[方程式(1)], 之后, Fe2+使得過硫酸根離子減少, 生成具有強氧化性的SO4-·[方程式(5)][44]. ZVI將Fe3+還原成Fe2+, Fe2+與S2O82-反應又生成Fe3+, 體系中形成一個Fe2+/Fe3+的循環, 以確保As(Ⅴ)溶液被完全去除.
有研究表明, 在堿性條件(pH > 8.5) 和所有pH的條件下, SO4-·可以與OH-或H2O反應生成·OH[45], 如式(6)、(7) 所示, SO4-·和·OH作為強氧化劑, 均可有效去除As(Ⅴ)溶液.
堿性條件:
所有pH:
并在最佳實驗條件中的取樣時間點檢測pH值, 0.5 min時, pH迅速降為3.17, 20 min時pH開始升高到5.50.可能是由于部分SO4-·與H2O反應, 生成了·OH, 使得水溶液整體顯酸性, 20 min時基本進入平衡狀態, 因此pH有所升高.
選擇草酸、EDTA和檸檬酸分別為0.1 mol·L-1, 這3種螯合劑用于調控體系中Fe2+的濃度, 考察pH=7的條件下加入螯合劑對As(Ⅴ)溶液去除率的影響, 結果如圖 7所示.加入3種螯合劑后, As(Ⅴ)溶液的去除率明顯得到抑制. 60 min時, 加入草酸、EDTA、檸檬酸3種螯合劑的實驗中As(Ⅴ)溶液的去除率分別為40.70%、51.17%、68.12%, 且草酸的抑制作用最強, 在20 min后達到平衡狀態.在中性條件下, 草酸、EDTA、檸檬酸分別與Fe2+絡合后屏蔽亞鐵離子, 使其失去原有游離金屬離子的性質, 溶液中缺乏足量的亞鐵離子活化過硫酸鈉, 抑制了SO4-·的生成, 降低了體系中自由基濃度, 表現出抑制作用[46].
圖 7

圖 7 螯合劑對As(Ⅴ)溶液去除率的影響
氧化劑能快速、持續驅動零價鐵腐蝕, 活化零價鐵表面[47].反應產生的SO4-·和·OH使得ZVI發生腐蝕, 且酸性條件更有利用ZVI腐蝕[23], 腐蝕后As(Ⅴ)溶液被吸附在腐蝕層表面, ZVI氧化形成的Fe2+、Fe3+發生水解生成Fe(OH)2、Fe(OH)3沉淀[48], 且沉淀與砷會發生共沉淀[49].通過XPS圖譜看出砷的價態沒有發生變化, 所以反應過程物理吸附為主導.因此, ZVI活化PS去除As(Ⅴ)溶液的機制主要包括吸附、沉淀和共沉淀作用。其機制模型如圖 8所示.
圖 8

圖 8 PS活化ZVI去除水中As(Ⅴ)溶液的機制模型
3 結論
(1) 通過對照實驗可知, 利用ZVI活化PS對As(Ⅴ)溶液的去除能力遠遠大于PS或ZVI本身.
(2) 當As(Ⅴ)溶液濃度為20~100 mg·L-1, As(Ⅴ)溶液的去除率都大于98%, 并且反應符合準二級動力學.
(3) 采用ZVI活化PS能有效地去除水中As(Ⅴ)溶液污染物.通過改變初始pH值、As(Ⅴ)溶液初始濃度、反應溫度、PS投加量、ZVI投加量研究了去除As(Ⅴ)溶液的效果和動力學的影響, 對于濃度為20 mg·L-1的As(Ⅴ)溶液最佳實驗條件為:反應溫度20℃、初始pH值7、PS投加量0.1 g, ZVI投加量0.5 g.
(4) ZVI活化PS去除As(Ⅴ)溶液的機制主要包括吸附、沉淀和共沉淀作用.(來源:環境科學 作者:周孜邁)


