目前, 城市污水處理主要集中于污水處理廠這種末端處理方式, 隨著城市人口的不斷增長, 工業化的大力推進, 污水處理廠原有設計處理量已然不能滿足社會需求, 這導致污水處理廠不斷擴建、新建, 浪費了不必要的自然資源與社會資源而連接污水處理廠的污水管網系統, 不僅僅是污水的輸送裝置, 也可以看做是一個巨大的反應器, 生活污水從住戶排放, 直到進入污水處理廠, 其間要經過很長的排水管道, 在此期間, 污水水質會發生一定程度變化, 部分大顆粒污染物會沉降至沉積層; 部分溶解態污染物會通過管網中微生物的新陳代謝作用被去除.所以, 探索城市污水管網中污染物質的遷移變化, 不僅可以發揮出管網對污染物質的處理潛力, 也可以有效改善污水處理廠的進水條件, 提升污水處理廠的處理效率.因此, 研究污水管網中污染物質的變化規律十分重要.
有機污染物是污水管網中主要的污染物質之一, 其組成成分主要是蛋白質(40%~60%)、碳水化合物(25%~50%)和脂肪(10%).在城市污水管網的厭氧環境中, 存在著發酵產甲烷、反硝化作用和硫酸鹽還原作用等生化反應, 有機污染物作為基質被產甲烷菌、反硝化細菌和硫酸鹽還原菌所消耗, 有研究表明, 城市污水管網的沉積層中, 含有產甲烷菌和硫酸鹽還原菌, 大分子的有機污染物質可被水解為小分子有機物質, 并生成甲烷與硫化氫氣體; 相關研究也表明, 在城市污水管網中, 由于污水中含有揮發性脂肪酸(VFA)等物質, 為產甲烷和產硫化氫提供了物質基礎, 管網沉積層每平方米的甲烷產量可達(1.56±0.14)g·d-1, 硫化氫產量可達(9.20±0.39)g·d-1; Almeida等的研究認為在城市污水管網的厭氧環境中, 水力停留時間為1.5h, 污水中的溶解態有機污染物通過微生物的水解和發酵作用后, 可被去除19%;氨氮的去除可達6%.目前國內對于城市污水管網的研究, 主要集中于研究污水管網的水力輸送能力, 而忽略了污水管網本身所具有的生化反應能力, 尤其對有機物消耗去向的相關研究較少.為此, 本研究針對城市污水管網中有機物的消耗流向, 建立了一套模擬城市污水管網, 用以研究城市污水管網中不同生化作用的基質流向特性.
1 材料與方法1.1 實驗裝置
本次實驗所用反應器為城市污水模擬管網, 位于西安市第五污水處理廠區內, 以西安市城市污水為原水, 反應器由管徑為200 mm的有機玻璃質圓形管道組成, 總有效長度32 m, 分四層管段設置, 管道可調節坡度, 并設有循環水箱和回流管.為模擬實際管網避光恒溫的真實環境, 在管道外層包裹有2 cm厚的黑色保溫材料.為控制管道內污水流速和流量, 在進水管和回流管上安裝有閥門, 通過調節閥門的開啟度, 實現流速和流量的控制.
1.2 模擬實驗條件及進水水質1.2.1 實驗條件
污水管網模擬裝置在室溫條件下運行, 實驗溫度為(20±2)℃, 裝置密封性良好, 溶解氧為(0.3±0.1)mg·L-1.實驗進水通過污水管道內放置的潛污泵提升至模擬管網系統的循環水箱, 之后在模擬管網系統中進行內循環以模擬實際城市污水管網.
1.2.2 進水水質
實驗進水為西安市城市污水管網中的生活污水, TCOD(總有機物)為417~730 mg·L-1; TN(總氮)為39.80~61.72 mg·L-1; TP(總磷)為6.95~9.68mg·L-1; pH為6.5~7.50.
1.3 樣品采集
實驗第一階段采用污水與實際沉積物的組合, 模擬污水管網在持續運行180 d后, 由于顆粒態物質的沉降, 會在管道底部形成厚度約為60 mm的沉積層, 設置污水流速為0.1 m·s-1, 運行時間為25 d; 實驗第二階段在模擬城市污水管網中鋪設人工配置的石英砂與高嶺土, 模擬實際管道沉積物, 用以研究僅在沉積作用與吸附作用下模擬污水管網中污染物質的變化, 消除了沉積物中污染物反向釋放對污水水質的影響, 鋪設厚度為60 mm, 鋪設沉積物密實度與實際污水管道沉積物相似, 用滅菌污水運行反應器, 并去除管壁生物膜, 設置污水流速為0.1 m·s-1, 運行時間為61 d.
在第一階段和第二階段實驗中, 污水在模擬城市污水管網中停留的時間為14 h, 即每天08:00給模擬污水管網換新污水, 運行15 min穩定后, 在取樣口采集進水樣品、沉積物樣品和甲烷氣體; 每天22:00在取樣口采集出水樣品、沉積物泥樣和甲烷氣體.
1.4 分析方法
CH4的測定選用氣相色譜法, 分析儀器為GC-2014氣相色譜儀(日本島津).檢測器為熱導檢測器(TCD), 色譜柱型號為TDX-01填充柱.柱溫設置為100℃, 保持10 min. N2作為尾氣, 流速為10.0 mL·min-1. Ar作為載氣, 流速為48 mL·min-1.使用標準氣體混合氣校準, 其組分為37%CO2、4%N2、0.802%H2以及CH4.
化學需氧量COD采用重鉻酸鉀法測定; 總氮采用堿性過硫酸鉀消解法測定; 總磷采用鉬銻抗分光光度法測定[21].
實驗所取樣品均為隨取隨側, 每個取樣點的分析都設置3組平行樣測定, 取平均值作為最終的有效數據.
1.5 研究方法
在污水緩流狀態(v=0.1 m·s-1)下的模擬管網中, 導致COD發生變化的原因有兩方面.其一, 污水流速較慢, 部分吸附在顆粒態物質表面的含碳有機物會沉降至模擬管網的沉積層表面, 導致COD發生變化; 其二, 含碳有機物作為微生物的主要營養物質, 通過其新陳代謝作用被降解與消耗, 從而導致COD發生變化, 其中厭氧發酵產甲烷、反硝化作用和硫酸鹽還原菌還原硫酸根是3個主要降解途徑.要探索在生化作用中的基質流向, 需要知道生化作用導致的COD變化量, 以及在厭氧發酵產甲烷、反硝化作用和硫酸鹽還原菌還原硫酸根作用中COD分別被消耗了多少.
1.5.1 生化作用導致COD的變化量
本次實驗分為了兩個階段進行.第一個階段采用污水和城市污水管網沉積物的組合, 通過測量進水、出水的COD, 可得到COD的總變化量; 第二階段采用污水和人工配置沉積物的組合, 通過測量沉積物中COD的變化, 可得到因沉積作用而導致的COD變化量.已知在緩流狀態下, COD的變化是沉積作用與生化因素共同作用的結果, 因此, 生化作用導致COD的變化量為COD總變化量與沉積作用導致COD變化量的差值.
1.5.2 發酵產甲烷與COD變化量的關系
在模擬污水管網中, 產甲烷細菌只能利用“三甲一乙”(甲酸、甲胺、甲醇和乙酸)和氫氣與二氧化碳產甲烷.而以乙酸為底物的甲烷合成途徑占總甲烷產量的60%, 以氫和二氧化碳為底物的占30%, 以甲基化合物為底物的占10%.設總甲烷量為M甲烷(mL), 因為乙酸脫羧產甲烷的過程中, 甲烷的碳原子來自于乙酸(CH3COOH)的甲基, 即產1mol甲烷需消耗1mol的乙酸, 60%的總甲烷量所對應的乙酸量應為M乙酸(mg):
則對應消耗的污水中的乙酸濃度(mg·L-1)為:
式中, 乙酸的摩爾質量為60 g·mol-1; 20℃下氣體的摩爾體積為24.45 L·mol-1. V污水為管道內污水體積(L).因此, 用COD表征的乙酸濃度, 即以乙酸為底物發酵產甲烷使得COD(mg·L-1)產生的變化量為:
因此, 發酵產甲烷消耗的COD總量為:
1.5.3 反硝化作用與COD變化量的關系
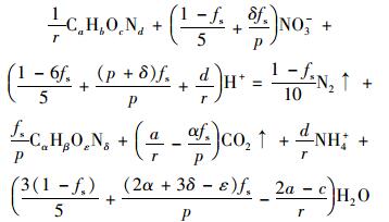
反硝化細菌進行反硝化作用, 有機物作為碳源被轉化.在反硝化過程中, 含碳有機物作為碳源被轉化為反硝化細菌的細胞物質, 設含碳有機物的平均分子式為CaHbOcNd, 細胞物質平均分子式為CαHβOεNδ, 同時NO3-被轉化為N2, 實現了污水的脫氮凈化.有如下化學計量關系:

式中, fs(fs < 1)是反映細胞物質合成的參數, 由生化作用消耗的COD與進水硝態氮濃度的比值(計做ξ)決定其值的大小, r=4a+b-2c-3d, p=4α+β+5δ-2ε.則fs與ξ的關系為:
上述反應中, 1/r CaHbOcNd提供1 mol電子需要1/4 mol氧氣, 因此, 用化學需氧量表征的碳源消耗為1/4 COD.而厭氧條件下的細胞物質平均分子式可表示為C5H7O2N, 所以, 將上述反應式改寫為:

因此, 設NO3--N濃度為MNO3--N(mg·L-1), 則消耗的COD為:

并且p=28, δ=1, 因此:
由式(7)得到:
所以:

1.5.4 硫酸鹽還原菌還原硫酸根作用與COD變化量的關系
硫酸鹽還原菌(SRB)將硫酸鹽還原為硫化氫(H2S)的過程中, 有機物作為電子供體被消耗.根據宋秀蘭等的研究, 硫酸鹽還原菌還原硫酸鹽所消耗的基質中, 60.97%~96.36%為丙酸, 2.16%~9.46%為乙酸, 丙酸消耗量與乙酸消耗量的比例接近10:1.兩種基質參與的硫酸鹽還原過程的化學方程式如下:

將丙酸和乙酸分別用COD進行表征, 表征系數為1.07倍的乙酸量(mg·L-1), 1.51倍的丙酸量(mg·L-1), 即:

設所測得硫酸根的量為MSO42-(mg·L-1), 則:
2 結果與討論2.1 污水管網中有機污染物的沉降、生化代謝規律
模擬污水管網中污水總COD的變化量與沉積作用導致COD的變化量如圖 1和圖 2所示.反應器運行第一階段, 模擬污水管網中鋪設有實際城市污水管網中的沉積物, 污水在0.1 m·s-1的流速狀態下, 經過14 h的水力停留時間, 污水中總COD的平均變化量為170.58 mg·L-1; 反應器運行第二階段, 實際城市污水管網中的沉積物更換為人工配置沉積物, 用滅菌污水運行反應器, 并去除管壁生物膜, 使得管網中僅由沉積作用導致COD發生變化, 由此得到因沉積作用導致污水中COD的平均變化量為101.53 mg·L-1.可見模擬污水管網中的污水在緩流狀態下流動時, 沉積作用是導致COD變化的主要原因, 這一變化量占COD總變化量的59.52%;而沉積物向污水中釋放有機污染物導致的COD變化很小, 可忽略不計.因此, 污水在緩流狀態下, 主要是污水中的有機污染物質向沉積層中遷移, 沉積作用起了主導作用.具體聯系污水寶或參見http://www.dongaorq.cn更多相關技術文檔。
圖 1

圖 2

有機物在模擬污水管網中因沉積作用向沉積層轉移的同時, 也作為微生物的主要營養物質, 通過微生物的新陳代謝作用而被降解轉化.因此, 在緩流狀態下, 模擬污水管網中有機物的變化是沉積作用與生化作用共同作用的結果, 即模擬管網中由生化作用導致COD的總變化量為總COD變化量與沉積變化量之差, 為69.05mg·L-1, 結果表明, 管網中存在的生化代謝過程也是污水中COD降解消耗的重要源頭, 因此, 在管網厭氧條件下, 本研究對厭氧發酵產甲烷、反硝化作用和硫酸鹽還原的3種生化代謝過程中有機質的流向特性開展了進一步的研究.
2.2 厭氧發酵產甲烷降解轉化的有機物量
反應器運行第一階段, 在模擬污水管網中鋪設實際城市污水管網中的沉積物, 使污水在0.1 m·s-1的流速狀態下流動14 h, 得到在這一時間段內甲烷的產量, 如圖 3所示.在模擬污水管網中, 根據產甲烷菌所能利用的基質乙酸、氫和二氧化碳與甲基化合物, 及3種基質在產甲烷時所被消耗的比例關系, 得到了模擬管網中甲烷的產量與消耗的COD之間的關系, 如式(4).
圖 3. 3

模擬污水管網中的污水與沉積物中的有機質共同發酵產生的甲烷平均產量為12.70 mg·L-1(20℃下的體積為19.41mL·L-1); 而單獨由沉積物中基質在14 h內的甲烷平均產率為0.91 g·m-2[17], 模擬污水管網中沉積物的鋪設面積為5.87 m2, 模擬污水管網總容積為1 004.8 L, 氣相體積為472.37 L, 污水體積為429.43 L, 因此, 單獨消耗沉積物中有機物所產生的甲烷為:

其換算為20℃下的體積為8.13 mL·L-1, 所以, 在污水管道內每天由污水產生的甲烷總量為:
M甲烷=(19.41-8 013)×472.37=5 328.33 mL
由此, 根據式(4)可得到發酵產甲烷導致的污水COD消耗量為32.51 mg·L-1.
2.3 反硝化作用降解轉化的有機物量
反應器運行第一階段, 實驗得到了進、出水硝態氮濃度及進、出水時沉積物中所含硝態氮濃度, 如圖 4和圖 5所示.模擬污水管網中的反硝化細菌在進行反硝化作用過程中, 污水及沉積物中的含碳有機物為反硝化細菌提供了碳源, 在此過程中, 含碳有機物被消耗, 導致污水COD降低, 硝態氮被轉化為了氮氣, 污水中硝態氮濃度降低, 污水水質發生變化.
圖 4

圖 5

根據圖 4和圖 5數據, 進水硝態氮濃度的平均值為0.63 mg·L-1, 出水硝態氮濃度的平均值為0.30 mg·L-1, 硝態氮在水力停留時間內的平均變化量為0.33 mg·L-1; 進水時沉積物中硝態氮平均濃度為0.17 mg·L-1, 出水時沉積物中硝態氮平均濃度為0.12 mg·L-1, 平均減少了0.05 mg·L-1, 由于沉積物中硝態氮濃度測定是沉積物間隙水中硝態氮, 可以看出沉積物中硝態氮濃度非常低, 在計算沉積物中硝態氮參與反硝化細菌的反硝化作用時可忽略不計.因此, 根據式(9), 可得到反硝化作用消耗污水中的COD為8.04 mg·L-1.
2.4 硫酸鹽還原菌還原硫酸根降解轉化的有機物量
反應器運行第一階段, 通過實驗, 測得了進、出水中硫酸根的濃度及進、出水時沉積物中所含硫酸根濃度, 如圖 6和圖 7所示.在模擬污水管網中, 硫酸鹽還原菌將污水及沉積物中的硫酸根還原為了硫化氫氣體, 在此過程中, 含碳有機物作為碳源被消耗, 導致污水中COD降低, 污水水質發生變化.根據圖 6與圖 7數據, 進水硫酸根濃度的平均值為64.67 mg·L-1, 出水硫酸根濃度的平均值為43.32 mg·L-1, 硫酸根在水力停留時間內的平均變化量為21.35 mg·L-1; 進水時沉積物中硫酸根平均濃度為10.69 mg·L-1, 出水時沉積物中硫酸根平均濃度為7.73 mg·L-1, 平均減少了2.96 mg·L-1, 相對于污水中的硫酸根濃度變化較小, 可忽略不計.因此, 根據式(10), 可得到硫酸鹽還原菌還原硫酸根消耗污水的COD為6.41 mg·L-1.
圖 6

圖 7

結合上述COD的總變化量、沉積作用導致的COD變化量和生化作用導致的COD變化量可以看出, 模擬城市污水管網中的污水在緩流狀態下流動14 h, 污水COD的總變化量為170.58 mg·L-1, 其中因沉積作用導致COD變化為101.53 mg·L-1, 占COD總變化量的59.52%;生化作用導致COD變化為69.05 mg·L-1, 發酵產甲烷、反硝化作用和硫酸鹽還原菌還原硫酸鹽作用分別消耗的COD為32.51、8.04和6.41 mg·L-1, 總共占生化作用消耗COD的68.01%.可見, 在模擬城市污水管網中污水以緩流狀態運行14 h, 其中的有機污染物的去除方式以沉積作用為主; 而在生化作用消耗的有機物中, 以發酵產甲烷、反硝化作用和硫酸鹽還原菌還原硫酸鹽作用為主.
3 結論
(1) 通過研究模擬城市污水管網中COD的變化規律, 得到沉積作用導致的COD變化占到污水COD總變化的65.38%, 生化作用導致的COD變化占到污水COD總變化的34.62%.這一結果表明, 在污水緩流狀態下, 沉積作用是去除城市污水管網中有機污染物的主要原因, 而生化作用也是有機污染物去除的重要途徑.
(2) 在模擬污水管網的厭氧環境中, 發酵產甲烷作用消耗的COD為32.51 mg·L-1, 反硝化消耗的COD為8.04 mg·L-1, 硫酸鹽還原菌還原硫酸鹽消耗的COD為6.41 mg·L-1.因此, 對有機基質的消耗, 產甲烷菌的產甲烷作用是主要途徑, 其次是反硝化細菌的反硝化作用, 最后是硫酸鹽還原菌還原硫酸鹽.
(3) 在城市污水管網中, 發酵產甲烷作用、反硝化作用和硫酸鹽還原菌還原硫酸鹽作用消耗的COD總共占生化作用消耗COD的68.01%, 再加之污水流速較小時, 沉積作用也會導致污水中有機污染物的減少, 這就會造成污水處理廠進水碳源不足的問題.(來源:環境科學 作者:姚翔譯)


