近年來,國內外對于水中嗅味事件的報道日益增多,我國各大城市均發生過影響供水安全的嗅味事件,甚至引發大范圍的供水危機。2-甲基異莰醇(2-MIB)和土臭素(GSM)是飲用水中代表性的嗅味物質,分布廣泛且為土霉味,其存在會影響飲用水的感官特征,從而造成消費者對飲用水品質的不信任。我國新修訂的《生活飲用水衛生標準》(GB5749—2022)將2-MIB和GSM由之前附錄A中水質參考指標列入正式名目加以控制。然而我國現有的常規水處理工藝(混凝-沉淀-過濾-消毒)對GSM和2-MIB的去除率不足20%,難以保證出廠水水質。目前的水廠嗅味去除工藝主要包括氧化和吸附兩種類型:粉末活性炭(PAC)吸附應用廣泛,但存在投加量大、成本高、易堵塞等問題;而常見氧化劑包括次氯酸鈉(NaClO)、二氧化氯(ClO2)等,去除效果差且二次污染風險高。因此,有必要開發一種節能、高效、清潔的除嗅技術。
利用硫酸根自由基(·SO4-)氧化降解水體中的難降解有機污染物是近年來一種新興的技術。相對于常見的羥基自由基(·OH),基于·SO4-的高級氧化技術(SR-AOPs),具有氧化還原電位高、存在壽命長和反應效果受pH的影響小等優勢,可以降解一些·OH無法降解的污染物!SO4-可以由活化過硫酸鹽產生,包括單過硫酸鹽(PMS)和過二硫酸鹽(PDS),其中PMS是非對稱結構,而PDS是對稱結構,因此PMS更容易被活化。目前,廣泛使用的金屬催化劑活化方式容易造成二次污染且粉末狀金屬難以回收,其他的活化方式如熱活化、超聲活化尚處于實驗室階段,應用難度較大。微納米氣泡(MNBs)作為一種新型的清潔技術,能夠提高氣液傳質效率、產生·OH等,在殺菌、修復沉積物等領域都有一定應用。MNBs坍塌時會引起周圍化學勢的激增,并產生瞬態高溫高壓的局部熱點,能夠達到活化PMS的目的。將上述兩種技術結合有望減少其他化學物質的添加,降低二次污染風險,同時通過生成高活性的自由基,提升體系的降解能力和降解效率,為降解飲用水中難去除的痕量有機物提供了思路。目前已有研究證明MNBs和過硫酸鹽結合能夠有效去除二甲苯等污染物,但對于降解水中痕量有機物的研究相對有限。
為此,以典型痕量嗅味物質2-MIB為目標污染物,分析了基于微納米氣泡與過硫酸鹽的協同技術(MNBs-PMS)對嗅味物質的去除效果,考察了PMS投加量、MNBs特征(進氣量和氣源)、水環境條件(pH、常見無機天然陰離子和腐殖酸)等因素對降解效果的影響,并對2-MIB降解的中間產物進行界定,由此來探討其降解機理,為采用MNBs-PMS體系降解嗅味物質提供理論依據。
1、材料和方法
1.1 主要儀器與試劑
實驗所用試劑包括:2-MIB購自上海安譜實驗科技有限公司;過硫酸鹽(PMS)和硫代硫酸鈉(Na2S2O3·5H2O)、5,5-二甲基-1-吡咯啉-N-氧化物(DMPO)和2,2,6,6-四甲基哌啶氧化物(TEMPO)購自上海阿拉丁生化科技有限公司;磷酸氫二鈉(Na2HPO4)、磷酸二氫鉀(NaH2PO4)、鹽酸(HCl)、氫氧化鈉(NaOH)、甲醇(MeOH)、硝酸鈉(NaNO3)和硫酸鈉(Na2SO4)等購自上海醫藥集團有限公司;叔丁醇(TBA)和腐殖酸(HA)購自上海麥克林生化科技有限公司。
所用儀器包括:微納米氣泡發生器(LF-1500,上海行恒科技有限公司)、氣相色譜-質譜儀(GC2010-QP2010Plus,日本島津公司)、電子順磁共振儀(A300,德國布魯克公司)、pH計(PHS-3E,上海雷磁儀器有限公司)、納米顆粒跟蹤分析儀(Nano-sightNS500,英國馬爾文儀器有限公司)、納米粒度電位分析儀(NanoZS90,英國馬爾文儀器有限公司)、便攜式溶氧儀(HQ30d,美國哈希公司)。
1.2 實驗過程
1.2.1 降解實驗
實驗裝置如圖1所示,MNBs發生器的初始條件設置如下:通入空氣,進氣量為30mL/min,氣壓控制在0.5MPa。用錐形瓶取1L模擬水樣,插入MNBs進氣管,加入不同濃度的PMS,采用封口膜封口以避免揮發。

配制1L初始濃度為200ng/L的2-MIB溶液,在溶液中添加1mmol/LPMS并置于MNBs曝氣的環境下。然后,依次在裝置運行0、10、30、60、90和120min時從錐形瓶中取樣,在取樣瓶中提前加入過量的Na2S2O3·5H2O以便對水樣進行淬滅處理。采用吹掃捕集-氣相色譜質譜聯用(P&T-GC/MS)的方法對水樣中的2-MIB進行檢測。首先對比單獨PMS、單獨MNBs和MNBs-PMS體系的降解效果,接著探討PMS投加量(0.1、1、5mmol/L)、MNBs特征(進氣量為10、30、50mL/min,氣源分別為空氣、氦氣和氧氣)和水環境特征(pH為3、5、7、9,無機天然陰離子分別為Cl-、HCO3-、SO42-、NO3-,腐殖酸濃度為0、1、4mg/L)對MNBs-PMS體系降解效果的影響。
其中,吹掃裝置在高純氦氣(>99.99%)中工作,40℃吹掃10min,吹掃流量為40mL/min,190℃脫附3min。色譜柱為RTX-5MS柱(30.0m×0.25mm×0.25μm)。GC條件如下:載氣為99.999%高純氦氣;壓強為90kPa;柱中流速為1.45mL/min;不分流進樣;初始柱溫為60℃;進樣口溫度為250℃。MS條件如下:電子轟擊源(EI);電子能量為70eV;離子源溫度為200℃;接口溫度為250℃;離子掃描范圍m/z為45~500;掃描時間為5~20.27min。
1.2.2 自由基捕捉實驗
利用電子順磁共振(EPR)實驗來驗證自由基的種類和貢獻。MeOH和TBA作為自由基淬滅劑,DMPO和TEMPO溶液作為自旋捕捉劑,用以檢測體系中活性物質。EPR光譜儀的輻射頻率設為9.85GHz,功率為20.43mW,中心磁場為0.3455T,掃描寬度為0.0120T。實驗時將適量的樣品溶液與DMPO和TEMPO溶液充分混合后使用100μL毛細管取樣,插入EPR體腔內。
1.2.3 降解中間產物分析
采用GC-MS全掃描模式對處理后的樣品進行掃描,該模式可獲得整個質譜范圍內的所有潛在化合物信息,得到各個峰的分子離子質譜圖,質譜結果采用NIST11.0數據庫進行匹配,以確定2-MIB降解中間產物的化學結構和分子式,GC和MS條件同1.2.1節。
1.2.4 密度泛函理論分析
密度泛函理論(DFT)是一種量子力學計算方法,用于研究多電子體系(如分子、凝聚態物質)中的電子結構和性質。利用GaussView5.0軟件進行DFT計算,采用Multiwfn工具進行波函數分析。采取簡縮福井函數(CFF)和自然布局分析(NPA)預測2-MIB的反應位點。2-MIB分子的結構優化與能量計算使用Gaussian16程序進行,計算采用M06-2X雜化泛函,并使用6-311+G(2d,p)基組對能量進行求解。溶劑效應通過SMD隱式溶劑模型處理,其他參數則使用默認設置。
2、結果與討論
2.1 2-MIB降解效果
反應120min以后,單獨PMS、單獨MNBs以及MNBs-PMS體系對2-MIB的去除率分別為14%、24%和64%。MNBs-PMS體系的去除率可達兩種單獨體系的3~5倍,相比之下,兩種單獨工藝對2-MIB無明顯去除效果。這可能是因為常溫下PMS非常穩定,需通過能量輸入或電子轉移才能活化產生足量的·SO4-。Bu等也指出,·SO4-的生成是氧化2-MIB的限速步驟。而單獨MNBs中氣泡與污染物碰撞的可能性較低,導致去除效果較差。MNBs坍塌能夠使常溫下穩定的PMS結構中—O—O—斷裂,達到活化PMS的目的,使得體系中發生式(1)所示的反應,生成的多種活性自由基(·OH、·SO4-等)和極端高溫高壓能顯著提升去除污染物的能力。

擬一級反應動力學擬合顯示,各體系的-ln(Ct/C0)與t之間有較好的線性關系,線性擬合系數R2>0.95。同時,在將PMS引入MNBs后,反應速率常數k從0.0012min-1增加到0.0081min-1,MNBs-PMS體系的k值是其他兩種反應體系的4~6倍,協同效果十分顯著。
2.2 影響因素分析
2.2.1 PMS投加量
隨著PMS投加量的增加,2-MIB去除率顯著提高(見圖2)。當PMS投加量分別為0.5、1和5mmol/L時,反應120min后2-MIB的去除率分別為45%、64%和74%。投加量從0.5mmol/L增加到5mmol/L時,其反應速率常數也由0.0050min-1增加至0.0112min-1。Liu等使用MnO2催化PMS降解DDT,當PMS投加量從0.81mmol/L增加到3.26mmol/L時,反應240min后降解率從73.9%上升到97.0%。作為氧化過程中的反應物,PMS投加量的增加能夠促進自由基的生成,提高自由基與污染物的碰撞幾率。但過量的PMS會導致自由基消耗,此時·SO4-和·OH會與PMS發生反應,生成氧化能力較低的·SO5-,反應速率難以獲得明顯提升。

2.2.2 進氣量
進氣量對2-MIB去除效果的影響見圖3。可見,2-MIB去除效果與進氣量呈現正相關。反應120min后,進氣量為10、30和50mL/min組的去除率分別為50%、64%和70%。進氣量從10mL/min提高到50mL/min時,k值也從0.0050min-1增加至0.0092min-1。隨著進氣量的增加,體系的去除率和反應速率都明顯提升。這是因為增加進氣量可提高體系內氣泡濃度,有利于產生更多的自由基?梢,進氣量對溶解氧濃度和氣泡生成過程影響顯著。然而,隨著較大氣泡的生成,氣泡濃度會迅速降低,導致氣液接觸面積減少,進氣量的增加并不能線性提升效果,即存在上限。

2.2.3 氣源
氣源會影響體系中自由基的種類和·OH產生量?疾炝说獨狻⒖諝夂脱鯕馊N常見氣源對降解效果的影響,結果表明,三種氣源的降解率分別為31%、64%和80%,氧氣MNBs的k值為0.0125min-1,顯著高于空氣MNBs(0.0081min-1)和氮氣MNBs(0.0027min-1)?梢娫谔^程中產生自由基的能力排序為:氧氣>空氣>氮氣。這可能是由于不同氣源導致體系中溶解氧濃度發生變化,溶解氧的存在能夠降低·SO4-的反應能壘,并且改變反應的化學平衡,使其向產物一側移動,從而促進有機污染物的降解。
2.2.4 pH
pH變化往往會影響水體環境中物質的化學形態和氧化還原反應的平衡,為此考察了不同pH對2-MIB去除效果的影響。當pH分別為3、5、7、9時,2-MIB降解率分別為53%、61%、64%和72%?傮w上降解率隨pH的提高而增加,MNBs-PMS體系在堿性條件下能夠達到更好的去除效果。Ni等采用Co3O4/SnO2催化PMS,也在pH=9左右得到了最佳去除效果。經計算,pH從3提高至9時,反應速率從0.0062min-1增加到0.0107min-1。與氣源的影響類似,pH也可從產生自由基的類型和數量兩個方面影響污染物的去除效果:在酸性條件下,PMS相對穩定,H+會阻礙·SO4-和·OH的生成;在堿性條件下,PMS加速分解,自由基產生速率加快,降解速率明顯提高。但在pH>10的強堿性環境下,·SO4-幾乎都轉化為·OH,·OH成為體系內主要的反應自由基,其氧化電位低于·SO4-,導致體系對污染物的去除效果下降。

2.2.5 無機陰離子
天然水體中普遍存在各種無機陰離子,·SO4-和·OH的高氧化還原電位使它們對目標有機污染物以及水中的天然成分具有很強的反應性。考察了Cl-、HCO3-、SO42-和NO3-對2-MIB去除的影響,結果如圖4所示。天然水中無機陰離子的濃度范圍較廣,為了保持實驗的一致性,控制陰離子初始濃度均為0.1mmol/L。其中SO42-對體系處理效果的提升作用明顯,2-MIB去除率由64%升至76%;Cl在前90min表現為明顯的促進作用,而其他兩種離子總體表現為不明顯的抑制作用,在反應速率上表現為SO42-(k=0.0112min-1)>空白(k=0.0081min-1)>HCO3(-k=0.0077min-1)>NO3(-k=0.0076min-1)>Cl-(k=0.0068min-1)。
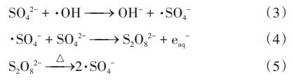
值得一提的是,在之前的研究中SO42-通常被認為對PMS的反應作用不明顯或存在抑制作用。但在本研究中觀察到其促進作用,一方面可能是由于·OH與SO42-發生了式(3)所示的反應,生成了氧化性更強的·SO4-。另一方面,SO42-和·SO4-反應生成過二硫酸鹽(S2O82-),在常溫下S2O82-不會繼續分解,但微納米氣泡坍塌產生的高溫促進了式(5)反應的進行,使得體系中·SO4-濃度進一步增加。


Cl-、HCO3-、NO3-三種離子的實驗結果與其他學者的實驗結果相類似,具體效果還受陰離子類型和濃度的影響。Yang等觀察到Cl能夠明顯增強PMS去除雙酚A的能力,反應速率在反應后期變化不大。但10mmol/L的Cl被觀察到對雙酚A的降解表現出明顯的抑制作用。如式(6)~(8)所示,Cl能夠與·OH和·SO4-反應產生氧化性更強的氯自由基(·Cl),但高濃度的Cl-會抑制污染物降解。HCO3-是自由基反應鏈中的抑制劑,體系中的·SO4-和·OH會被HCO3-的單電子氧化清除,發生式(9)、(10)所示的反應,生成低氧化性的碳酸根自由基(·CO3-),且這種抑制作用隨碳酸鹽濃度的提高而增強。Diao等在PMS體系中加入10mmol/L的NO3-,觀察到輕微的抑制作用。可能是由于NO3-對·SO4-的清除作用,如式(11)所示。可見陰離子濃度可能會顯著影響其在體系中的去除效果,甚至可能導致促進作用轉變為抑制作用,或反之。因此,在實際應用中,必須特別關注水中陰離子類型及其濃度,以確保系統的有效性和穩定性。

2.2.6 溶解性有機物
與陰離子類似,有機物也是天然水體中的重要組成成分,為此選取總有機碳(TOC)為指標,在水樣中投加不同濃度的腐殖酸(HA),研究了有機物含量對2-MIB去除的影響。結果表明,在空白實驗中2-MIB去除率為64%,有機物的存在則使得2-MIB去除率下降,當TOC濃度為0.6、2.4mg/L時去除率分別下降了22%和30%,反應速率也從0.0081min-1分別降低為0.0044和0.0032min-1。這種抑制作用可能是因為有機物容易與自由基發生反應,其與2-MIB的競爭消耗了體系中的自由基。水中的天然有機物也被證明可以作為自由基的來源,但這種作用僅在高濃度時表現明顯,低濃度時通過天然有機物活化PMS產生的自由基與其對自由基的清除能力相比,可以忽略不計。
2.3 自由基捕捉實驗
為了證明不同活性物質對于2-MIB降解的貢獻度,利用EPR實驗對MNBs-PMS體系中產生的自由基種類進行測定,結果表明,可以觀察到峰高比為1∶2∶2∶1所對應的DMPO-·OH四重特征信號峰和峰高比為1∶1∶1∶1∶1∶1所對應的DMPO-·SO4-六重特征信號峰。此外,還能夠檢測到活性物質1O2和·O2-的信號。相比于·SO4-和·OH,1O2和·O2-的氧化性較弱,在MNBs-PMS體系中·SO4-和·OH起主要作用。向該反應體系中加入了MeOH和TBA進行淬滅實驗,MeOH可以同時淬滅·OH和·SO4-,而TBA主要淬滅·OH。在MNBs-PMS體系中分別加入1mmol/L的TBA和MeOH,反應120min后,2-MIB降解率從64%分別降至58%和21%,降解反應速率常數k從0.0081min-1分別下降為0.0068和0.0018min-1。這說明在MNBs-PMS體系中·SO4-對去除2-MIB的貢獻較·OH更為顯著。
2.4 降解路徑和中間產物分析
采用高斯軟件(Gaussian16)對2-MIB分子結構進行優化并編號,通過計算福井函數評估2-MIB分子上的反應位點,以及易受親核攻擊(f+)、親電攻擊(f-)和自由基攻擊(f0)的傾向性。其中,f0同時考慮自由基的親電性和親核性,當自由基在反應中主要表現出親電性時,f-更適合用于預測反應活性位點。在本研究中,由于·SO4-和·OH等強親電性自由基的存在,親電攻擊為主要的攻擊方式。2-MIB的化學結構如圖5(a)所示,其中,灰色、白色和紅色分別代表C、H、O。經計算,O11(0.2182)、H29(0.0565)、C3(0.0541)、C4(0.0534)的福井函數值較大,因此推斷為易受攻擊位點。

為了定量比較每個位點易受攻擊的可能性,通過Multiwfn程序計算了簡縮雙描述符(CDD),并繪制了基于CDD的等值面圖,如圖5(b)所示,其中,紅色和藍色代表分子軌道的正負相。CDD為負值的區域易受親電攻擊,而CDD為正值的區域更容易發生親核反應。在2-MIB中O11(-0.2060)、C3(-0.0528)、C4(-0.0455)、C2(-0.0415)、H29(-0.0341)的CDD負值最為明顯;從等值面圖也可看出,上述位點受到較大負等值面的緊密包圍,因此可推測這5個位點更易受到親電攻擊。
結合福井函數及簡縮雙描述符對易受到親電攻擊位點的預測發現,兩種函數對反應位點的預測結果吻合較好。綜合分析,2-MIB中O11發生反應的可能性最大,其次為H29、C3、C4。推斷2-MIB分子易受自由基攻擊的位點主要是羥基(—OH)和甲基(—CH3)。
為了進一步推測MNBs-PMS體系中2-MIB的可能降解路徑,采用GC-MS全掃描模式對2-MIB的降解產物進行分析,結果如表1所示。

根據表1中降解產物分析其降解路徑,可能的降解路徑如圖6所示(虛線中為推測可能的產物,其余為實際檢出的物質)。體系中最先受自由基攻擊的是帶有羥基和羧基的碳原子,生成一級橋環產物(如物質2和3所示),然后橋環再進一步斷裂生成醛、酮、酸類小分子物質(如物質1所示),降解后急性毒性和慢性毒性都有所下降。該降解路徑的推測與DFT計算結果相符,證明了其合理性。天然水體中的2-MIB濃度基本在納克級,而2-MIB降解生成的醛類等小分子物質嗅閾值在微克甚至毫克級,遠大于2-MIB,因此采用MNBs-PMS處理含2-MIB水樣后,嗅味風險顯著降低。

3、結論
①MNBs-PMS體系能夠實現兩種技術的優勢互補,協同效應顯著,對化學結構穩定、難降解的2-MIB表現出了較高效的降解效果,去除率可達75%以上,同時降低了環境污染風險,表明了其在去除難降解有機污染物方面的應用潛力。
②增加PMS投加量可以顯著提升體系中自由基濃度及其與污染物的碰撞幾率;去除效果與進氣量呈現正相關,進氣量為50mL/min的去除效果較10mL/min的提升了40%;最佳氣源為氧氣;在堿性條件下能夠達到更好的去除效果,但pH過高會產生抑制作用;水中天然陰離子和腐殖質的存在都會影響去除效能,具體效果還受陰離子類型和濃度的影響,其中SO42-對體系去除效果的提升作用明顯,而HA則會抑制去除。
③MNBs-PMS體系降解2-MIB過程中產生的活性氧化物種包括·SO4-、·OH、1O2和·O2-。其中,·SO4-和·OH為主要的活性物質,·SO4-的貢獻更為顯著。根據中間產物檢測和DFT計算結果推測2-MIB可能的降解路徑:自由基先攻擊帶有羥基和羧基的碳原子,然后再進一步斷裂生成醛、酮、酸類小分子物質。(來源:.浙江大學建筑工程學院,浙江大學長三角智慧綠洲創新中心)



